资料中包含下列文件,点击文件名可预览资料内容





还剩6页未读,
继续阅读
云南省长水教育集团2024-2025学年高三上学期11月期中质量检测数学试题
展开
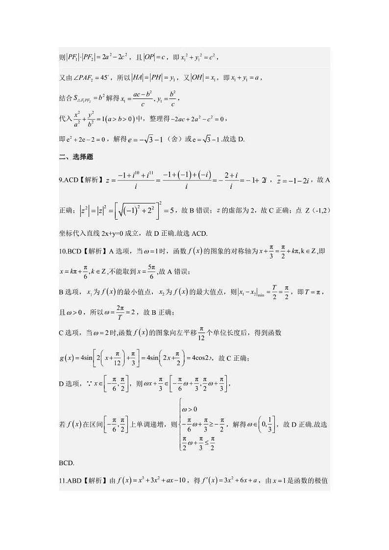
这是一份云南省长水教育集团2024-2025学年高三上学期11月期中质量检测数学试题,文件包含云南长水教育集团11月高三数学答案pdf、云南长水教育集团11月高三数学正文pdf、云南长水教育集团11月高三数学细目表pdf等3份试卷配套教学资源,其中试卷共12页, 欢迎下载使用。
相关试卷
云南省长水教育集团2024-2025学年高二上学期11月期中质量检测数学试题:
这是一份云南省长水教育集团2024-2025学年高二上学期11月期中质量检测数学试题,文件包含云南长水教育集团11月高二数学答案pdf、云南长水教育集团11月高二数学正文pdf、云南长水教育集团11月高二数学细目表pdf等3份试卷配套教学资源,其中试卷共10页, 欢迎下载使用。
云南省长水教育集团2024-2025学年高二上学期10月质量检测数学试题:
这是一份云南省长水教育集团2024-2025学年高二上学期10月质量检测数学试题,文件包含云南长水教育集团10月高二数学答案pdf、云南长水教育集团10月高二数学正文pdf、云南长水教育集团10月高二数学网评卡pdf、云南长水教育集团10月高二数学细目表pdf等4份试卷配套教学资源,其中试卷共17页, 欢迎下载使用。
云南省长水教育集团2024-2025学年高二上学期11月期中质量检测数学试题:
这是一份云南省长水教育集团2024-2025学年高二上学期11月期中质量检测数学试题,文件包含云南省长水教育集团2024-2025学年高二上学期11月期中质量检测数学试题docx、云南长水教育集团11月高二数学细目表pdf等2份试卷配套教学资源,其中试卷共12页, 欢迎下载使用。