 
 
 
还剩15页未读,
继续阅读
2024-2025学年重庆市渝中区高三上学期10月月考数学检测试题(含解析)
展开
这是一份2024-2025学年重庆市渝中区高三上学期10月月考数学检测试题(含解析),共18页。
相关试卷
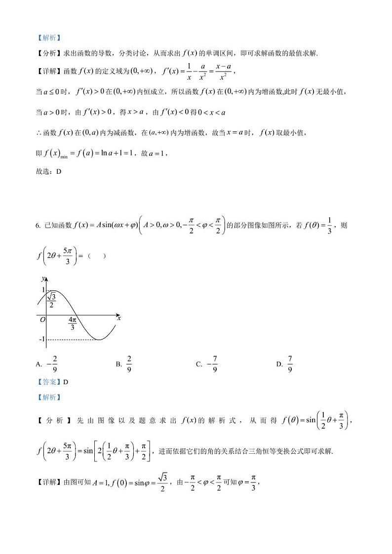
2024-2025学年重庆市九龙坡区高三上学期10月大联考数学质量检测试题(含解析):
这是一份2024-2025学年重庆市九龙坡区高三上学期10月大联考数学质量检测试题(含解析),共22页。
2024-2025学年重庆市渝中区高三上学期10月月考数学检测试题:
这是一份2024-2025学年重庆市渝中区高三上学期10月月考数学检测试题,共5页。
2024-2025学年重庆市高三上学期11月期中数学调研检测试题(含解析):
这是一份2024-2025学年重庆市高三上学期11月期中数学调研检测试题(含解析),共16页。
 
 
 
 
 
 
 


