




河南省驻马店市上蔡县2024-2025学年七年级上学期11月期中考试数学试题
展开
这是一份河南省驻马店市上蔡县2024-2025学年七年级上学期11月期中考试数学试题,文件包含河南省驻马店市上蔡县2024-2025学年七年级上学期11月期中考试数学试题pdf、河南省驻马店市上蔡县2024-2025学年七年级上学期11月期中考试数学试题答案docx等2份试卷配套教学资源,其中试卷共10页, 欢迎下载使用。
一、选择题
二、填空题
11.3 12.②③ 13.-2 14.-1 15.
三、解答题
16.(1)解:原式
.
(2)解:原式
.
(3)解:原式
.
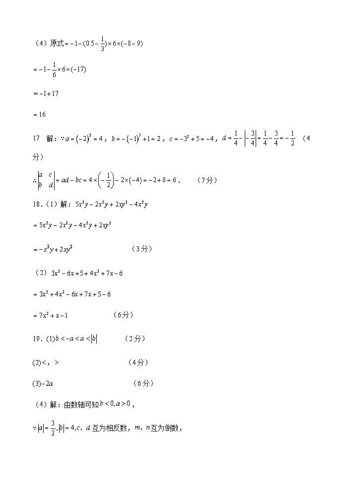
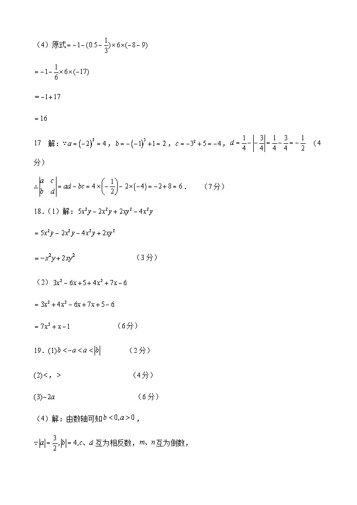
(4)原式
17 解:∵,,, (4分)
∴. (7分)
18.(1)解:
(3分)
(2)
(6分)
19.(1) (2分)
(2), (4分)
(3) (6分)
(4)解:由数轴可知,
∵互为相反数,互为倒数,
∴, (9分)
∴. (11分)
20.(1)解:由同类项的定义可得:,解得; (2分)
(2)解:∵两个单项式的和为零,
∴,
∴,即,
∴ (5分)
21.(1)解:由题意得:甲印刷厂的收费为:元,
乙印刷厂的收费为:元; (4分)
(2)解:当时,
甲印刷厂的收费为:(元).
乙印刷厂的收费为:(元)
因为,
所以选择甲印刷厂比较合算. (7分)
22、(千米),
小张将最后一名乘客送达的目的地距离出发地正东方向千米, (4分)
故小张向西行驶1千米才能回到出发地.
答:小张向西行驶1千米才能回到出发地. (5分)
(2)不用加油,理由如下:
小张将最后一名乘客送达目的地一共行驶了:(千米),(7分)
再返回出发地一共行驶了:(千米),
汽车耗油:.
答:小张今天上午不需要加油. (10分)
23.(1)解:长方形的面积为,窗帘部分的面积为:,
所以窗户能射进阳光的面积是;
故答案为: (3分)
(2)解:当时,
.
答:窗户能射进阳光的面积是; (6分)
(3)解:长方形的面积为,窗帘部分的面积为:,
所以窗户能射进阳光的面积是.(9分)
题号
1
2
3
4
5
6
7
8
9
10
答案
B
C
A
C
D
B
D
B
C
A
相关试卷
这是一份河南省驻马店市上蔡县2023-2024学年七年级上学期1月期末数学试题,共8页。
这是一份2023-2024学年河南省驻马店市上蔡县八上数学期末经典试题含答案,共8页。试卷主要包含了答题时请按要求用笔,16的平方根是等内容,欢迎下载使用。
这是一份河南省驻马店市上蔡县上蔡县第一初级中学2023-2024学年八年级上学期开学数学试题,共6页。