年终活动
搜索
    上传资料 赚现金
    英语朗读宝

    2024~2025学年山东青岛市北区青岛第六十六中学高一(上)期中数学试卷(检测)[原题+解析]

    2024~2025学年山东青岛市北区青岛第六十六中学高一(上)期中数学试卷(检测)[原题+解析]第1页
    2024~2025学年山东青岛市北区青岛第六十六中学高一(上)期中数学试卷(检测)[原题+解析]第2页
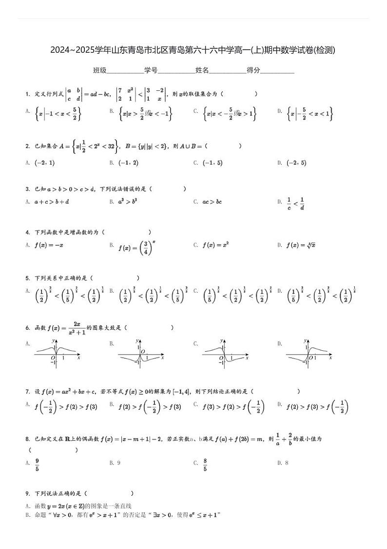
    2024~2025学年山东青岛市北区青岛第六十六中学高一(上)期中数学试卷(检测)[原题+解析]第3页
    还剩7页未读, 继续阅读
    下载需要10学贝 1学贝=0.1元
    使用下载券免费下载
    加入资料篮
    立即下载

    2024~2025学年山东青岛市北区青岛第六十六中学高一(上)期中数学试卷(检测)[原题+解析]

    展开

    这是一份2024~2025学年山东青岛市北区青岛第六十六中学高一(上)期中数学试卷(检测)[原题+解析],共10页。

    相关试卷

    2024~2025学年山东青岛市北区青岛第六十六中学高二(上)期中数学试卷[原题+解析]:

    这是一份2024~2025学年山东青岛市北区青岛第六十六中学高二(上)期中数学试卷[原题+解析],共12页。

    2024~2025学年山东青岛高二(上)期中数学试卷( 四区县(胶州、平度、黄岛、城阳)学业水平检测)[原题+解析]:

    这是一份2024~2025学年山东青岛高二(上)期中数学试卷( 四区县(胶州、平度、黄岛、城阳)学业水平检测)[原题+解析],共12页。

    山东省青岛市第六十六中学2024-2025学年高一上学期期中检测数学试卷:

    这是一份山东省青岛市第六十六中学2024-2025学年高一上学期期中检测数学试卷,文件包含2024-2025学年度第一学期高一年级期中检测数学试题解析版pdf、2024-2025学年度第一学期青岛66中高一年级期中检测数学试题学生版docx等2份试卷配套教学资源,其中试卷共16页, 欢迎下载使用。

    欢迎来到教习网
    • 900万优选资源,让备课更轻松
    • 600万优选试题,支持自由组卷
    • 高质量可编辑,日均更新2000+
    • 百万教师选择,专业更值得信赖
    微信扫码注册
    qrcode
    二维码已过期
    刷新

    微信扫码,快速注册

    手机号注册
    手机号码

    手机号格式错误

    手机验证码 获取验证码

    手机验证码已经成功发送,5分钟内有效

    设置密码

    6-20个字符,数字、字母或符号

    注册即视为同意教习网「注册协议」「隐私条款」
    QQ注册
    手机号注册
    微信注册

    注册成功

    返回
    顶部
    Baidu
    map