




吉林省延边朝鲜族自治州延吉市延边第二中学2024-2025学年高二上学期11月期中数学试题
展开
这是一份吉林省延边朝鲜族自治州延吉市延边第二中学2024-2025学年高二上学期11月期中数学试题,文件包含高二数学期中考试卷docx、期中答案docx、高二数学期中考试答题卡doc等3份试卷配套教学资源,其中试卷共10页, 欢迎下载使用。
一、选择题:本题共8小题,每小题5分,共40分.在每小题给出的四个选项中,只有一项是符合题目要求的.
1.“”是“直线与直线平行”的( )
A.充分不必要条件B.必要不充分条件
C.充要条件D.既不充分也不必要条件
2. 与椭圆有相同焦点,且满足短半轴长为的椭圆方程是( )
A. B. C. D.
3.为了解双减政策的执行情况,某地教育主管部门安排甲、乙、丙三个人到两所学校进行调研,每个学校至少安排一人,则不同的安排方法有( )
A.6种 B.8种 C.9种 D.12种
4. 设抛物线的焦点为,过焦点的直线与抛物线相交于,两点,则的最小值为( )
A. 1B. C. D.
5.已知双曲线的一条渐近线的倾斜角为,则此双曲线的右焦点到一条渐近线的距离为( )
A. B.2 C. D.
6.已知双曲线的左、右焦点分别为,,为右支上一点,为坐标原点,为线段的中点,为线段上一点,且,则( )
A.B.C.D.
7.已知点P是椭圆上一点,,是椭圆的左、右焦点,若,则下列说法正确的是( )
A.的面积为 B.内切圆的面积为
C.点P的纵坐标为 D.若点M是椭圆上一动点,则的最大值为9
8. 已知双曲线的左、右焦点分别为,过点的直线与双曲线的右支交于两点,若,且双曲线的离心率为,则( )
A. B. C. D.
二、选择题:本题共3小题,每小题6分,共18分.在每小题给出的选项中,有多项符合题目要求.全部选对的得6分,部分选对的得部分分,有选错的得0分.
9.某班准备举行一场小型班会,班会有3个歌唱节目和2个语言类节目,现要排出一个节目单,则下列说法正确的是( )
A.若3个歌唱节目排在一起,则有6种不同的排法
B.若歌唱节目与语言类节目相间排列,则有12种不同的排法
C.若2个语言类节目不排在一起,则有72种不同的排法
D.若前2个节目中必须要有语言类节目,则有84种不同的排法
10.已知分别是双曲线的左右焦点,点是圆上的动点,下列说法正确的是( )
A.三角形的周长是12
B.若双曲线与双曲线有相同的渐近线,且双曲线的焦距为8,则双曲线为
C.若,则的位置不唯一
D.若是双曲线左支上一动点,则的最小值是
11.抛物线C:的准线为l,P为C上的动点,过P作的一条切线,Q为切点,过P作l的垂线,垂足为B,则( )
A.l与相切 B.当P,A,B三点共线时,
C.当时, D.满足的点有且仅有2个
三、填空题:本题共3小题,每小题5分,共15分.
12.在的展开式中,的系数为_________.
13.已知点为抛物线的焦点,点为抛物线上一动点,平面内存在一点,使的周长最小,则点的坐标为_________.
14.已知曲线C:xx4-yy=1,Px0,y0为C上一点,
①x0的取值范围为-2,2; ②x02+y02的取值范围为1,+∞;
③不存在点Px0,y0,使得x0-2y0=-1; ④x0-2y0+5的取值范围为5,22+5.
则上述命题正确的序号是_________.
四、解答题:本题共5小题,共77分.解答时应写出文字说明、证明过程或演算步骤.
15.(13分)有4个编号为1,2,3,4的小球,4个编号为1,2,3,4的盒子,现需把球全部放进盒子里,(最后结果用数字作答)
(1)没有空盒子的方法共有多少种?
(2)可以有空盒子的方法共有多少种?
(3)恰有1个盒子不放球,共有多少种方法?
(4)恰有一个小球放入自己编号的盒中,有多少种不同的放法?
16.(15分)已知圆.
(1)求的取值范围;
(2)当取最小正整数时,若点为直线上的动点,过作圆的一条切线,切点为,求线段的最小值.
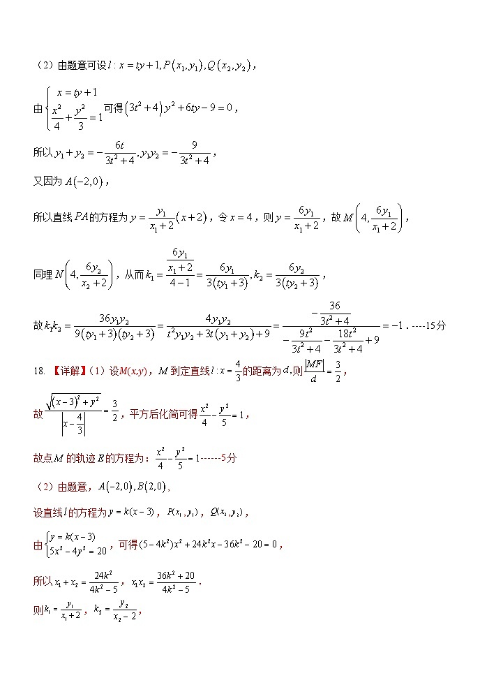
17.(15分)
已知椭圆的右焦点为,左顶点为,短轴长为,且经过点.
(1)求椭圆的方程;
(2)过点的直线(不与轴重合)与交于两点,直线与直线的交点分别为,记直线的斜率分别为,证明:为定值.
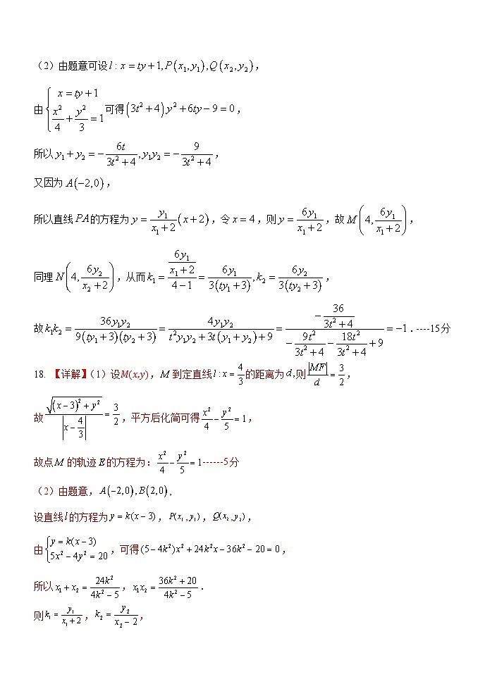
18.(17分)
设动点到定点的距离与它到定直线的距离之比为.
(1)求点的轨迹的方程;
(2)过的直线与曲线交右支于两点(在轴上方),曲线与轴左、右交点分别为,设直线的斜率为,直线的斜率为,试判断是否为定值,若是定值,求出此值,若不是,请说明理由.
19.(17分)
已知抛物线x2=2py(p>0)上一点R(m,2)到它的准线的距离为3.若点A,B,C分别在抛物线上,且点A、C在y轴右侧,点B在y轴左侧,△ABC的重心G在y轴上,直线AB交y轴于点M且满足3|AM|
相关试卷
这是一份吉林省延边朝鲜族自治州延吉市延边第二中学2024-2025学年高一上学期11月期中数学试题,文件包含高一期中docx、高一数学答题卡doc等2份试卷配套教学资源,其中试卷共9页, 欢迎下载使用。
这是一份2024~2025学年吉林延边朝鲜族自治州延吉市延边二中高一上学期月考数学试卷(第一次阶段检测)[原题+解析版],共5页。
这是一份[数学][期中]吉林省延边朝鲜族自治州敦化市实验中学校2023~2024学年高二上学期期中考试试卷(有简单答案),共8页。
