











所属成套资源:新高考数学考前考点冲刺精练卷 (2份,原卷版+教师版)
新高考数学考前考点冲刺精练卷25《函数y=Asin(ωx+φ)》(2份,原卷版+教师版)
展开这是一份新高考数学考前考点冲刺精练卷25《函数y=Asin(ωx+φ)》(2份,原卷版+教师版),文件包含新高考数学考前考点冲刺精练卷25《函数y=Asinωx+φ》教师版doc、新高考数学考前考点冲刺精练卷25《函数y=Asinωx+φ》教师版pdf、新高考数学考前考点冲刺精练卷25《函数y=Asinωx+φ》原卷版doc、新高考数学考前考点冲刺精练卷25《函数y=Asinωx+φ》原卷版pdf等4份试卷配套教学资源,其中试卷共34页, 欢迎下载使用。
一、选择题
函数f(x)=﹣2cs(eq \f(1,2)x+eq \f(π,4))的振幅、初相分别是( )
A.﹣2,eq \f(π,4) B.﹣2,﹣eq \f(π,4) C.2,eq \f(π,4) D.2,﹣eq \f(π,4)
【答案解析】答案为:C
解析:振幅为2,当x=0时,φ=eq \f(π,4),即初相为eq \f(π,4).
将函数f(x)=sin(2x+eq \f(π,4))的图象,向右平移eq \f(π,4)个单位长度后得到函数g(x)的解析式为( )
A.g(x)=sin 2x B.g(x)=sin(2x+eq \f(3π,4))
C.g(x)=sin(2x﹣eq \f(π,4)) D.g(x)=sin(2x+eq \f(π,4))
【答案解析】答案为:C
解析:向右平移eq \f(π,4)个单位长度后得,g(x)=sin(2x﹣eq \f(π,4)).
若函数f(x)=2sin(ωx+φ)(ω>0,|φ|<eq \f(π,2))的最小正周期为π,且其图象向左平移eq \f(π,6)个单位长度后所得图象对应的函数g(x)为偶函数,则f(x)的图象( )
A.关于直线x=eq \f(π,3)对称 B.关于点(eq \f(π,6),0)对称
C.关于直线x=﹣eq \f(π,6)对称 D.关于点(eq \f(5π,12),0)对称
【答案解析】答案为:D
解析:依题意可得ω=eq \f(2π,π)=2,所以f(x)=2sin(2x+φ),所以f(x)的图象向左平移eq \f(π,6)个单位长度后所得图象对应的函数为g(x)=2sin(2x+eq \f(π,3)+φ),又函数g(x)为偶函数,所以eq \f(π,3)+φ=eq \f(π,2)+kπ,k∈Z,解得φ=eq \f(π,6)+kπ,k∈Z,又|φ|<eq \f(π,2),所以φ=eq \f(π,6),所以f(x)=2sin(2x+eq \f(π,6)),由2x+eq \f(π,6)=eq \f(π,2)+kπ,k∈Z,得x=eq \f(π,6)+eq \f(kπ,2),k∈Z,所以f(x)图象的对称轴为x=eq \f(π,6)+eq \f(kπ,2),k∈Z,排除A,C,由2x+eq \f(π,6)=kπ,k∈Z,得x=﹣eq \f(π,12)+eq \f(kπ,2),k∈Z,则f(x)图象的对称中心为(﹣eq \f(π,12)+eq \f(kπ,2),0),k∈Z,排除B,当k=1时,﹣eq \f(π,12)+eq \f(π,2)=eq \f(5π,12),故D正确.
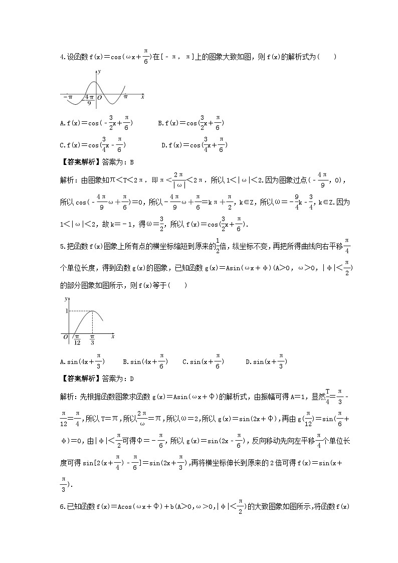
设函数f(x)=cs(ωx+eq \f(π,6))在[﹣π,π]上的图象大致如图,则f(x)的解析式为( )
A.f(x)=cs(﹣eq \f(3,2)x+eq \f(π,6)) B.f(x)=cs(eq \f(3,2)x+eq \f(π,6))
C.f(x)=cs(eq \f(3,4)x﹣eq \f(π,6)) D.f(x)=cs(eq \f(3,4)x+eq \f(π,6))
【答案解析】答案为:B
解析:由图象知π<T<2π,即π<eq \f(2π,|ω|)<2π,所以1<|ω|<2.因为图象过点(﹣eq \f(4π,9),0),所以cs(﹣eq \f(4π,9)ω+eq \f(π,6))=0,所以﹣eq \f(4π,9)ω+eq \f(π,6)=kπ+eq \f(π,2),k∈Z,所以ω=﹣eq \f(9,4)k﹣eq \f(3,4),k∈Z.因为1<|ω|<2,故k=﹣1,得ω=eq \f(3,2),所以f(x)=cs(eq \f(3,2)x+eq \f(π,6)).
把函数f(x)图象上所有点的横坐标缩短到原来的eq \f(1,2)倍,纵坐标不变,再把所得曲线向右平移eq \f(π,4)个单位长度,得到函数g(x)的图象,已知函数g(x)=Asin(ωx+φ)(A>0,ω>0,|φ|<eq \f(π,2))的部分图象如图所示,则f(x)等于( )
A.sin(4x+eq \f(π,3)) B.sin(4x+eq \f(π,6)) C.sin(x+eq \f(π,6)) D.sin(x+eq \f(π,3))
【答案解析】答案为:D
解析:先根据函数图象求函数g(x)=Asin(ωx+φ)的解析式,由振幅可得A=1,显然eq \f(T,4)=eq \f(π,3)﹣eq \f(π,12)=eq \f(π,4),所以T=π,所以eq \f(2π,ω)=π,所以ω=2,所以g(x)=sin(2x+φ),再由g(eq \f(π,12))=sin(eq \f(π,6)+φ)=0,由|φ|<eq \f(π,2)可得φ=﹣eq \f(π,6),所以g(x)=sin(2x﹣eq \f(π,6)),反向移动先向左平移eq \f(π,4)个单位长度可得sin[2(x+eq \f(π,4))﹣eq \f(π,6)]=sin(2x+eq \f(π,3)),再将横坐标伸长到原来的2倍可得f(x)=sin(x+eq \f(π,3)).
已知函数f(x)=Acs(ωx+φ)+b(A>0,ω>0,|φ|<eq \f(π,2))的大致图象如图所示,将函数f(x)的图象上点的横坐标拉伸为原来的3倍后,再向左平移eq \f(π,2)个单位长度,得到函数g(x)的图象,则函数g(x)的单调递增区间为( )
A.[﹣eq \f(3π,2)+3kπ,3kπ](k∈Z) B.[3kπ,3kπ+eq \f(3π,2)](k∈Z)
C.[﹣eq \f(7π,4)+3kπ,﹣eq \f(π,4)+3kπ](k∈Z) D.[﹣eq \f(π,4)+3kπ,eq \f(5π,4)+3kπ](k∈Z)
【答案解析】答案为:C
解析:依题意,eq \b\lc\{\rc\ (\a\vs4\al\c1(A+b=1,,-A+b=-3,))解得eq \b\lc\{\rc\ (\a\vs4\al\c1(A=2,,b=-1,))故f(x)=2cs(ωx+φ)﹣1,而f(eq \f(π,12))=1,f(eq \f(π,3))=﹣1,∴eq \f(T,4)=eq \f(π,3)﹣eq \f(π,12)=eq \f(π,4),故T=π=eq \f(2π,ω),则ω=2;∴2cs(eq \f(π,6)+φ)﹣1=1,故eq \f(π,6)+φ=2kπ(k∈Z),又|φ|<eq \f(π,2),故φ=﹣eq \f(π,6),∴f(x)=2cs(2x﹣eq \f(π,6))﹣1;将函数f(x)的图象上点的横坐标拉伸为原来的3倍后,得到y=2cs(eq \f(2,3)x﹣eq \f(π,6))﹣1,再向左平移eq \f(π,2)个单位长度,得到g(x)=2cs(eq \f(2,3)x+eq \f(π,3)﹣eq \f(π,6))﹣1=2cs(2x+eq \f(π,6))﹣1,令﹣π+2kπ≤eq \f(2,3)x+eq \f(π,6)≤2kπ(k∈Z),故﹣eq \f(7π,4)+3kπ≤x≤﹣eq \f(π,4)+3kπ(k∈Z),故函数g(x)的单调递增区间为[﹣eq \f(7π,4)+3kπ,﹣eq \f(π,4)+3kπ](k∈Z).
设ω>0,将函数y=sin(ωx+eq \f(π,6))的图象向右平移eq \f(π,6)个单位长度后,所得图象与原图象重合,则ω的最小值为( )
A.3 B.6 C.9 D.12
【答案解析】答案为:D
解析:将函数y=sin(ωx+eq \f(π,6))的图象向右平移eq \f(π,6)个单位长度后,所得图象与原图象重合,故eq \f(π,6)为函数y=sin(ωx+eq \f(π,6))的周期,即eq \f(2kπ,ω)=eq \f(π,6)(k∈N*),则ω=12k(k∈N*),故当k=1时,ω取得最小值12.
已知函数f(x)=sin(ωx+φ)(ω>0,|φ|<eq \f(π,2))的最小正周期为π,将其图象向左平移eq \f(π,3)个单位长度后对应的函数为偶函数,则f(eq \f(π,6))等于( )
A.﹣eq \f(1,2) B.eq \f(\r(3),2) C.1 D.eq \f(1,2)
【答案解析】答案为:D
解析:因为函数f(x)=sin(ωx+φ)的最小正周期为π,所以ω=eq \f(2π,π)=2,所以f(x)=sin(2x+φ),图象向左平移eq \f(π,3)个单位长度后所得函数为y=sin(2x+eq \f(2π,3)+φ),因为y=sin(2x+eq \f(2π,3)+φ)是偶函数,所以eq \f(2π,3)+φ=eq \f(π,2)+kπ(k∈Z),所以φ=﹣eq \f(π,6)+kπ(k∈Z),因为|φ|<eq \f(π,2),所以k=0,φ=﹣eq \f(π,6),所以f(x)=sin(2x﹣eq \f(π,6)),所以f(eq \f(π,6))=sineq \f(π,6)=eq \f(1,2).
函数f(x)=Asin(ωx+φ)(A>0,ω>0,|φ|<eq \f(π,2))的部分图象如图所示,将f(x)的图象上所有点的横坐标扩大到原来的4倍(纵坐标不变),再把所得的图象沿x轴向左平移eq \f(π,3)个单位长度,得到函数g(x)的图象,则函数g(x)的一个单调递增区间为( )
A.[﹣eq \f(5π,3),eq \f(π,3)] B.[eq \f(π,3),eq \f(7π,3)] C.[eq \f(π,4),eq \f(3π,8)] D.[eq \f(3π,8),eq \f(π,2)]
【答案解析】答案为:A
解析:根据函数f(x)=Asin(ωx+φ)(A>0,ω>0,|φ|<eq \f(π,2))的部分图象,可得A=1,
eq \f(1,2)·eq \f(2π,ω)=eq \f(2π,3)﹣eq \f(π,6),∴ω=2.结合“五点法”作图可得2×eq \f(π,6)+φ=eq \f(π,2),∴φ=eq \f(π,6),f(x)=sin(2x+eq \f(π,6)).将f(x)的图象上所有点的横坐标扩大到原来的4倍(纵坐标不变),可得y=sin(eq \f(1,2)x+eq \f(π,6))的图象.再把所得的图象沿x轴向左平移eq \f(π,3)个单位长度,得到函数g(x)=sin(eq \f(1,2)x+eq \f(π,6)+eq \f(π,6))=sin(eq \f(1,2)x+eq \f(π,3))的图象.令2kπ﹣eq \f(π,2)≤eq \f(1,2)x+eq \f(π,3)≤2kπ+eq \f(π,2),k∈Z,解得4kπ﹣eq \f(5π,3)≤x≤4kπ+eq \f(π,3),k∈Z,可得函数g(x)的单调递增区间为[4kπ﹣eq \f(5π,3),4kπ+eq \f(π,3)],k∈Z,
令k=0,可得一个单调递增区间为[﹣eq \f(5π,3),eq \f(π,3)].
函数f(x)=Asin(ωx+φ)+b的图象如图,则f(x)的解析式和S=f(0)+f(1)+f(2)+…+f(2 020)+f(2 021)+f(2 022)+f(2 023)的值分别为( )
A.f(x)=eq \f(1,2)sin 2πx+1,S=2 023 B.f(x)=eq \f(1,2)sin 2πx+1,S=2 023eq \f(1,2)
C.f(x)=eq \f(1,2)sin eq \f(π,2)x+1,S=2 024eq \f(1,2) D.f(x)=eq \f(1,2)sin eq \f(π,2)x+1,S=2 024
【答案解析】答案为:D
解析:由图象知eq \b\lc\{\rc\ (\a\vs4\al\c1(A+b=\f(3,2),,-A+b=\f(1,2),))又T=4,∴ω=eq \f(π,2),b=1,A=eq \f(1,2),
∴f(x)=eq \f(1,2)sin(eq \f(π,2)x+φ)+1.
由f(x)的图象过点(1,eq \f(3,2))得eq \f(1,2)sin(eq \f(π,2)+φ)+1=eq \f(3,2),∴cs φ=1.
∴φ=2kπ,k∈Z,取k=0得φ=0.∴f(x)=eq \f(1,2)sineq \f(π,2)x+1,
∴f(0)+f(1)+f(2)+f(3)=(eq \f(1,2)sin0+1)+(eq \f(1,2)sineq \f(π,2)+1)+(eq \f(1,2)sinπ+1)+(eq \f(1,2)sineq \f(3π,2)+1)=4.
又2 024=4×506,∴S=4×506=2 024.
二、多选题
(多选)已知函数f(x)=sin(x+eq \f(π,3)).下列结论正确的是( )
A.f(x)的最小正周期为2π
B.f(eq \f(π,2))是f(x)的最大值
C.把函数y=sin x的图象上所有点向左平移eq \f(π,3)个单位长度,可得到函数y=f(x)的图象
D.把函数y=f(x)图象上所有点的横坐标伸长到原来的3倍,纵坐标不变,得到g(x)=sin(3x+eq \f(π,3))的图象
【答案解析】答案为:AC
解析:T=eq \f(2π,1)=2π,故A正确.
当x+eq \f(π,3)=eq \f(π,2)+2kπ(k∈Z),即x=eq \f(π,6)+2kπ(k∈Z)时,f(x)取得最大值,故B错误.
y=sin x的图象eq \(―――――――――――――――――――――――――――――→,\s\up10(向左平移\f(π,3)个单位长度))y=sin(x+eq \f(π,3))的图象,故C正确.
f(x)=sin(x+eq \f(π,3))图象上所有点的eq \(――――――――――――――――――――――――――――――――――→,\s\up11(横坐标伸长到原来的3倍),\s\d4(纵坐标不变))g(x)=sin(eq \f(1,3)x+eq \f(π,3))的图象,故D错误.
(多选)已知函数f(x)=cs 2xcs φ﹣sin 2xsin φ(0<φ<eq \f(π,2))的图象的一个对称中心为(eq \f(π,6),0),则下列说法正确的是( )
A.直线x=eq \f(5,12)π是函数f(x)的图象的一条对称轴
B.函数f(x)在[0,eq \f(π,6)]上单调递减
C.函数f(x)的图象向右平移eq \f(π,6)个单位长度可得到y=cs 2x的图象
D.函数f(x)在[0,eq \f(π,2)]上的最小值为﹣1
【答案解析】答案为:ABD
解析:∵f(x)=cs 2xcs φ﹣sin 2xsin φ=cs(2x+φ)的图象的一个对称中心为(eq \f(π,6),0),∴2×eq \f(π,6)+φ=eq \f(π,2)+kπ,k∈Z,∴φ=eq \f(π,6)+kπ,k∈Z.
∵0<φ<eq \f(π,2),∴φ=eq \f(π,6).则f(x)=cs(2x+eq \f(π,6)).∵f(eq \f(5π,12))=cs π=﹣1,
∴直线x=eq \f(5,12)π是函数f(x)的图象的一条对称轴,故A正确;
当x∈[0,eq \f(π,6)]时,2x+eq \f(π,6)∈[eq \f(π,6),eq \f(π,2)],∴函数f(x)在[0,eq \f(π,6)]上单调递减,故B正确;
函数f(x)的图象向右平移eq \f(π,6)个单位长度,得到y=cs(2x﹣eq \f(π,6))的图象,故C错误;
当x∈[0,eq \f(π,2)]时,2x+eq \f(π,6)∈[eq \f(π,6),eq \f(7π,6)],∴函数f(x)在[0,eq \f(π,2)]上的最小值为cs π=﹣1,故D正确.
(多选)如果若干个函数的图象经过平移后能够重合,则称这些函数为“互为生成”函数,给出下列函数中是“互为生成”函数的是( )
A.f(x)=sin x+cs x B.f(x)=eq \r(2)(sin x+cs x)
C.f(x)=sin x D.f(x)=eq \r(2)sin x+eq \r(2)
【答案解析】答案为:AD
解析:f(x)=sin x+cs x=eq \r(2)sin(x+eq \f(π,4))与f(x)=eq \r(2)sin x+eq \r(2)经过平移后能够重合.
(多选)关于函数f(x)=2cs2x﹣cs(2x+eq \f(π,2))﹣1的描述正确的是( )
A.其图象可由y=eq \r(2)sin 2x的图象向左平移eq \f(π,8)个单位长度得到
B.f(x)在(0,eq \f(π,2))上单调递增
C.f(x)在[0,π]上有3个零点
D.f(x)在[﹣eq \f(π,2),0]上的最小值为﹣eq \r(2)
【答案解析】答案为:AD
解析:f(x)=2cs2x﹣cs(2x+eq \f(π,2))﹣1=sin 2x+cs 2x=eq \r(2)sin(2x+eq \f(π,4)),
对于A,由y=eq \r(2)sin 2x的图象向左平移eq \f(π,8)个单位长度,
得到y=eq \r(2)sin[2(x+eq \f(π,8))]=eq \r(2)sin(2x+eq \f(π,4)),故选项A正确;
对于B,令2kπ﹣eq \f(π,2)≤2x+eq \f(π,4)≤2kπ+eq \f(π,2),k∈Z,解得kπ﹣eq \f(3π,8)≤x≤kπ+eq \f(π,8),k∈Z,
所以f(x)的单调递增区间为[kπ﹣eq \f(3π,8),kπ+eq \f(π,8)],k∈Z,
所以f(x)在(0,eq \f(π,8))上单调递增,在(eq \f(π,8),eq \f(π,2))上单调递减,故选项B不正确;
对于C,令f(x)=0,得2x+eq \f(π,4)=kπ,k∈Z,解得x=eq \f(kπ,2)﹣eq \f(π,8),k∈Z,因为x∈eq \b\lc\[\rc\](\a\vs4\al\c1(0,π)),所以k=1,x=eq \f(3,8)π;k=2,x=eq \f(7,8)π,所以f(x)在[0,π]上有2个零点,故选项C不正确;
对于D,因为x∈[﹣eq \f(π,2),0],所以2x+eq \f(π,4)∈[﹣eq \f(3π,4),eq \f(π,4)],所以sin(2x+eq \f(π,4))∈[﹣1,eq \f(\r(2),2)],
所以f(x)∈[﹣eq \r(2),1],所以f(x)在[﹣eq \f(π,2),0]上的最小值为﹣eq \r(2),故选项D正确.
三、填空题
将函数y=3sin(2x+eq \f(π,4))的图象向右平移eq \f(π,6)个单位长度,则平移后的图象中与y轴最近的对称轴的方程是________.
【答案解析】答案为:x=﹣eq \f(5π,24).
解析:将函数y=3sin(2x+eq \f(π,4))的图象向右平移eq \f(π,6)个单位长度,所得图象的函数解析式为y=3sin[(2(x﹣eq \f(π,6))+eq \f(π,4))]=3sin(2x﹣eq \f(π,12)).令2x﹣eq \f(π,12)=kπ+eq \f(π,2),k∈Z,得对称轴的方程为x=eq \f(kπ,2)+eq \f(7π,24),k∈Z,分析知当k=﹣1时,对称轴为直线x=﹣eq \f(5π,24),与y轴最近.
已知函数f(x)=2cs (ωx+φ)的部分图象如图所示,则f(eq \f(π,2))=______.
【答案解析】答案为:﹣eq \r(3)
解析:由题意可得,eq \f(3,4)T=eq \f(13π,12)﹣eq \f(π,3)=eq \f(3π,4),∴T=π,ω=eq \f(2π,T)=2,当x=eq \f(13π,12)时,ωx+φ=2×eq \f(13π,12)+φ=2kπ,k∈Z,∴φ=2kπ﹣eq \f(13,6)π(k∈Z).令k=1可得φ=﹣eq \f(π,6),据此有f(x)=2cs(2x﹣eq \f(π,6)),f(eq \f(π,2))=2cseq \f(5π,6)=﹣eq \r(3).
已知函数f(x)=Acs(ωx+φ)(A>0,ω>0,0<φ<π)为奇函数,该函数的部分图象如图所示,△EFG(点G是图象的最高点)是边长为2的等边三角形,则f(1)=________.
【答案解析】答案为:﹣eq \r(3).
解析:由题意得,A=eq \r(3),T=4=eq \f(2π,ω),ω=eq \f(π,2).又因为f(x)=Acs(ωx+φ)为奇函数,所以φ=eq \f(π,2)+kπ,k∈Z,由0<φ<π,取k=0,则φ=eq \f(π,2),所以f(x)=eq \r(3)cs(eq \f(π,2)x+eq \f(π,2)),所以f(1)=﹣eq \r(3).
已知曲线C1:y=cs x,C2:y=sin(2x+eq \f(2π,3)),则为了得到曲线C1,首先要把C2上各点的横坐标变为原来的________倍,纵坐标不变,再把得到的曲线向右至少平移______个单位长度.(本题所填数字要求为正数)
【答案解析】答案为:2,eq \f(π,6).
解析:∵曲线C1:y=cs x=sin(x+eq \f(π,2))=sin(2×eq \f(1,2)x+eq \f(2π,3)﹣eq \f(π,6)),∴先将曲线C2上各点的横坐标变为原来的2倍,纵坐标不变,再把得到的曲线y=sin(2×eq \f(1,2)x+eq \f(2π,3))向右至少平移eq \f(π,6)个单位长度.
已知关于x的方程2sin2x﹣eq \r(3)sin 2x+m﹣1=0在(eq \f(π,2),π)上有两个不同的实数根,则m的取值范围是____________.
【答案解析】答案为:(﹣2,﹣1)
解析:方程2sin2x﹣eq \r(3)sin 2x+m﹣1=0可转化为m=1﹣2sin2x+eq \r(3)sin 2x=cs 2x+eq \r(3)sin 2x=2sin(2x+eq \f(π,6)),x∈(eq \f(π,2),π).设2x+eq \f(π,6)=t,则t∈(eq \f(7π,6),eq \f(13π,6)),∴题目条件可转化为eq \f(m,2)=sin t,t∈(eq \f(7π,6),eq \f(13π,6))有两个不同的实数根.∴y=eq \f(m,2)和y=sin t,t∈(eq \f(7π,6),eq \f(13π,6))的图象有两个不同交点,如图:
由图象观察知,eq \f(m,2)的取值范围是(﹣1,﹣eq \f(1,2)),故m的取值范围是(﹣2,﹣1).
定义运算=a1a4﹣a2a3,将函数f(x)=(ω>0)的图象向左平移eq \f(2π,3)个单位长度,所得图象对应的函数为奇函数,则ω的最小值是________.
【答案解析】答案为:eq \f(1,2).
解析:f(x)=eq \r(3)cs ωx﹣sin ωx=﹣2sin(ωx﹣eq \f(π,3)),图象向左平移eq \f(2π,3)个单位长度得,g(x)=﹣2sin(ωx+eq \f(2πω,3)﹣eq \f(π,3)),g(x)为奇函数,则eq \f(2πω,3)﹣eq \f(π,3)=kπ,k∈Z,解得ω=eq \f(1,2)+eq \f(3,2)k,k∈Z,所以ω的最小值为eq \f(1,2).
四、解答题
已知向量m=(sinx,﹣eq \f(1,2)),n=(eq \r(3)cs x,cs 2x),函数f(x)=m·n.
(1)求函数f(x)的最大值及最小正周期;
(2)将函数y=f(x)的图象向左平移eq \f(π,6)个单位长度,得到函数y=g(x)的图象,求g(x)在[0,eq \f(π,2)]上的值域.
【答案解析】解:(1) f(x)=m·n=eq \r(3)sin xcs x﹣eq \f(1,2)cs 2x =eq \f(\r(3),2)sin 2x﹣eq \f(1,2)cs 2x=sin(2x﹣eq \f(π,6)).
所以函数的最大值为1,最小正周期为T=eq \f(2π,|ω|)=eq \f(2π,2)=π.
(2)由(1)得f(x)=sin(2x﹣eq \f(π,6)).
将函数y=f(x)的图象向左平移eq \f(π,6)个单位长度后得到y=sin(2x+eq \f(π,6))的图象.
因此g(x)=sin(2x+eq \f(π,6)),又x∈[0,eq \f(π,2)],
所以2x+eq \f(π,6)∈[eq \f(π,6),eq \f(7π,6)],sin(2x+eq \f(π,6))∈[﹣eq \f(1,2),1].
故g(x)在[0,eq \f(π,2)]上的值域为[﹣eq \f(1,2),1].
已知函数f(x)=Asin(ωx+φ),其中A>0,ω>0,0<φ<π,函数f(x)图象上相邻的两个对称中心之间的距离为eq \f(π,4),且在x=eq \f(π,3)处取到最小值﹣2.
(1)求函数f(x)的解析式;
(2)若将函数f(x)图象上所有点的横坐标伸长到原来的2倍(纵坐标不变),再向左平移eq \f(π,6)个单位长度,得到函数g(x)的图象,求函数g(x)的单调递增区间;
(3)若关于x的方程g(x)=m+2在x∈[0,)上有两个不同的实根,求实数m的取值范围.
【答案解析】解:(1)函数f(x)=Asin(ωx+φ),其中A>0,ω>0,0<φ<π,
由题知函数f(x)的最小正周期为eq \f(π,2)=eq \f(2π,ω),解得ω=4,
又函数f(x)在x=eq \f(π,3)处取到最小值﹣2,则A=2,且f(eq \f(π,3))=﹣2,
即eq \f(4π,3)+φ=2kπ+eq \f(3π,2),k∈Z,令k=0可得φ=eq \f(π,6),∴f(x)=2sin(4x+eq \f(π,6)).
(2)函数f(x)=2sin(4x+eq \f(π,6))图象上所有点的横坐标伸长到原来的2倍(纵坐标不变),
得y=2sin(2x+eq \f(π,6)),再向左平移eq \f(π,6)个单位长度可得g(x)=2sin[2(x+eq \f(π,6))+eq \f(π,6)]=2cs 2x,
令﹣π+2kπ≤2x≤2kπ,k∈Z,解得﹣eq \f(π,2)+kπ≤x≤kπ,k∈Z,
∴g(x)的单调递增区间为[﹣eq \f(π,2)+kπ,kπ](k∈Z).
(3)∵方程g(x)=m+2在x∈[0,)上有两个不同的实根,
作出函数g(x)=2cs 2x,x∈[0,)的图象,
由图可知﹣2<m+2≤eq \r(2)或m+2=2,解得﹣4<m≤eq \r(2)﹣2或m=0.
∴m的取值范围为﹣4<m≤eq \r(2)﹣2或m=0.
相关试卷
这是一份新高考数学考前考点冲刺精练卷15《导数与函数的单调性》(2份,原卷版+教师版),文件包含新高考数学考前考点冲刺精练卷15《导数与函数的单调性》教师版doc、新高考数学考前考点冲刺精练卷15《导数与函数的单调性》教师版pdf、新高考数学考前考点冲刺精练卷15《导数与函数的单调性》原卷版doc、新高考数学考前考点冲刺精练卷15《导数与函数的单调性》原卷版pdf等4份试卷配套教学资源,其中试卷共24页, 欢迎下载使用。
这是一份新高考数学考前考点冲刺精练卷12《函数的图象》(2份,原卷版+教师版),文件包含新高考数学考前考点冲刺精练卷12《函数的图象》教师版pdf、新高考数学考前考点冲刺精练卷12《函数的图象》教师版doc、新高考数学考前考点冲刺精练卷12《函数的图象》原卷版doc、新高考数学考前考点冲刺精练卷12《函数的图象》原卷版pdf等4份试卷配套教学资源,其中试卷共29页, 欢迎下载使用。
这是一份新高考数学考前考点冲刺精练卷09《二次函数与幂函数》(2份,原卷版+教师版),文件包含新高考数学考前考点冲刺精练卷09《二次函数与幂函数》教师版doc、新高考数学考前考点冲刺精练卷09《二次函数与幂函数》教师版pdf、新高考数学考前考点冲刺精练卷09《二次函数与幂函数》原卷版doc、新高考数学考前考点冲刺精练卷09《二次函数与幂函数》原卷版pdf等4份试卷配套教学资源,其中试卷共24页, 欢迎下载使用。