




2025届河南省豫西北教研联盟(许洛平)高三上学期高考第一次质量检测(一模)数学试题(含答案)
展开
这是一份2025届河南省豫西北教研联盟(许洛平)高三上学期高考第一次质量检测(一模)数学试题(含答案),文件包含许洛平1029高三一测数学试卷docx、许洛平1029第一次检测数学答案pdf等2份试卷配套教学资源,其中试卷共10页, 欢迎下载使用。
注意事项:
1. 答卷前, 考生务必将自己的姓名、准考证号填写在答题卡上。
2. 回答选择题时, 选出每小题答案后, 用铅笔把答题卡上对应题目的答案标号涂黑。 如需改动, 用橡皮擦干净后, 再选涂其他答案标号。回答非选择题时, 将答案写在答题卡上。 写在本试卷上无效。
3. 考试结束后, 将本试卷和答题卡一并交回。
一、选择题: 本题共 8 小题, 每题 5 分, 共 40 分。在每小题给出的四个选项中, 只有一项是符 合题目要求的。
1. 已知向量 a=x,−3,b=3x,x+2 ,若 a⋅b=0 ,则 x=
A. -1 B. 2 C. 2 或 -1 D. 2 或 -2
2. 已知集合 A={x∣1b>0 的左、右焦点,点 G3,32 在椭圆 C 上,点 G 关于原点的对称点为 H ,四边形 GF1HF2 的面积为 3 .
(1) 求椭圆 C 的方程;
(2) 过点 F2 作直线 l 与 C 交于 A,B 两点, △F1AB 的面积为 1227 ,求 l 的方程.
16. (15 分)
已知函数 fx=32sinx+cs2x2 ,在 △ABC 中,角 A,B,C 所对的边分别为 a,b,c ,且fB=32.
(1) 求 B ;
(2) 若 2b2=2c2+ac ,求 a+bc 的值. 17. (15 分)
(15 分)
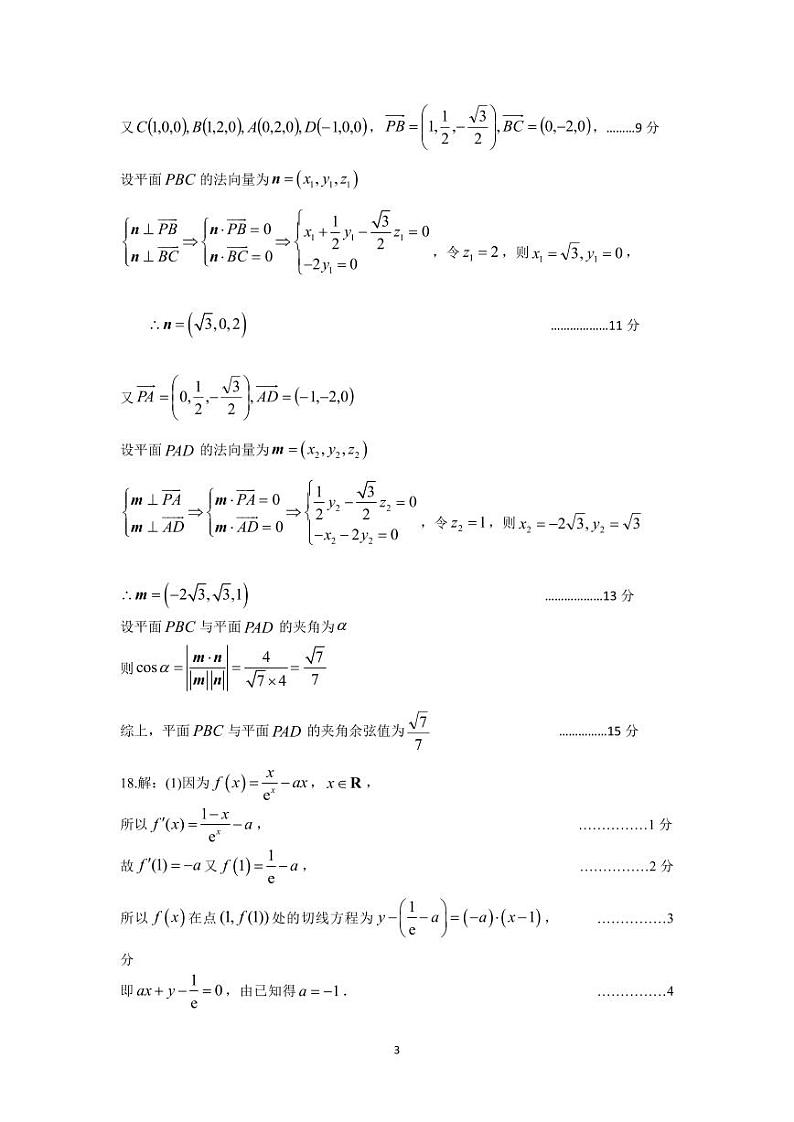
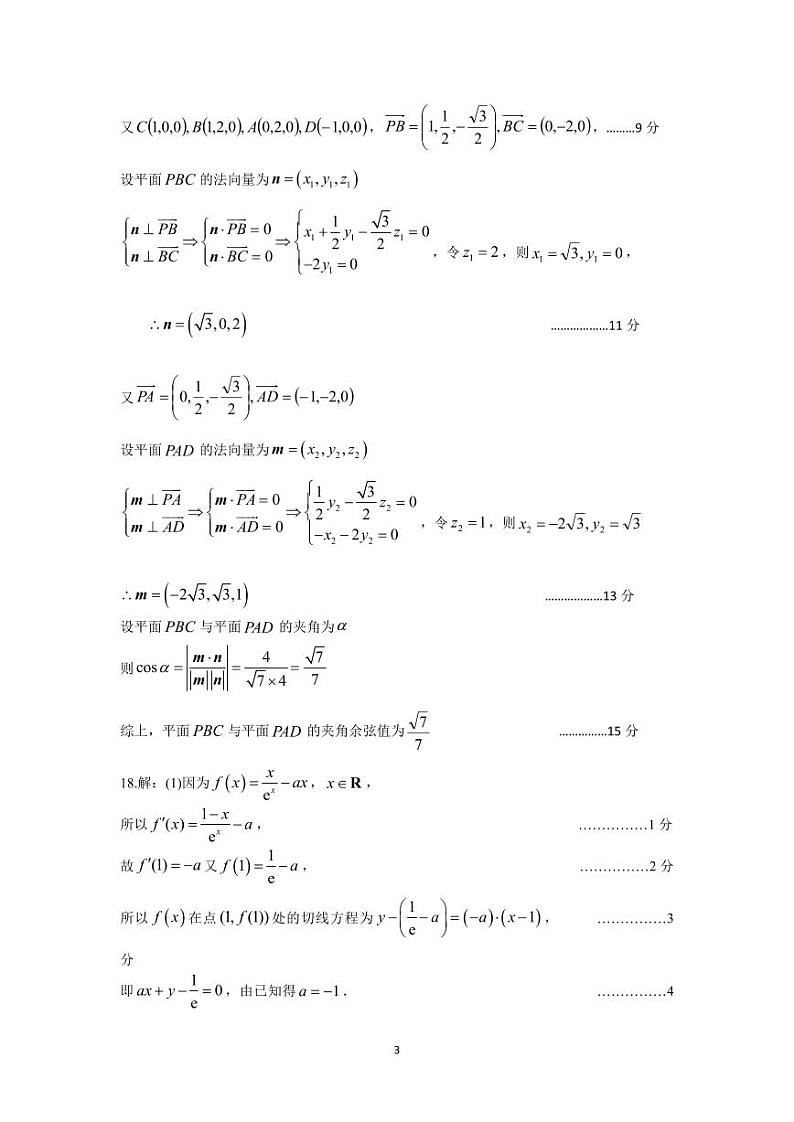
如图,四棱锥 P−ABCD 中, PA⊥PD,△PCD 为等边三角形,四边形 ABCD 为直角梯形,
AB//CD,AB⊥BC,CD=2AB=2 .
(1) 证明: 平面 PAD⊥ 平面 PDC ;
(2) 若 PA 与平面 ABCD 所成的角为 60∘ ,求平面 PBC 与平面 PAD 夹角的余弦值.
18. (17 分)
已知函数 fx=xex−ax .
(1) 若 fx 在点 1,f1 处的切线方程为 x−y+1e=0 ,求 a 的值;
(2) 若 a≤−1e2 ,判断函数 fx 的单调性;
(3) 当 a=0 时,证明: emfx≤1−mx+m2 ,其中 0≤x≤2,0
相关试卷
这是一份豫西北教研联盟(许洛平)2025届高三上学期10月第一次质检数学试题+答案,文件包含25学年豫西北联盟一模数学答案pdf、许洛平1029第一次检测数学pdf等2份试卷配套教学资源,其中试卷共8页, 欢迎下载使用。
这是一份2024届河南省平许济洛高三上学期第一次质量检测数学试题含答案,共21页。试卷主要包含了单选题,多选题,填空题,解答题等内容,欢迎下载使用。
这是一份2023届河南省洛平许济联考高三上学期第一次质量检测理科数学试题含答案,共29页。试卷主要包含了选择题,填空题,解答题,选做题等内容,欢迎下载使用。