资料中包含下列文件,点击文件名可预览资料内容






还剩5页未读,
继续阅读
2022湖南师大附中高三11月联考数学试卷及参考答案
展开
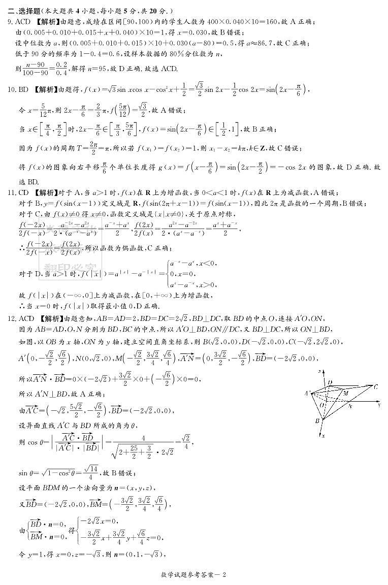
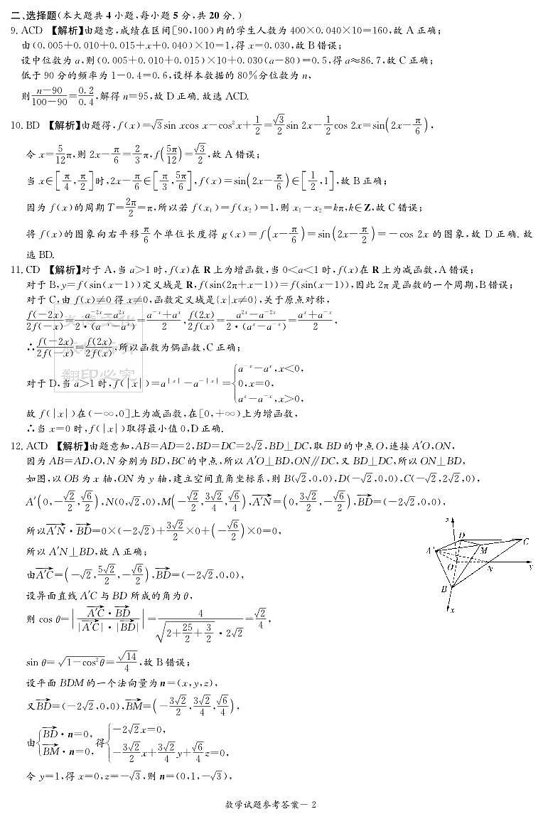
这是一份2022湖南师大附中高三11月联考数学试卷及参考答案,文件包含2022湖南师大附中高三11月联考数学试卷pdf、2022湖南师大附中高三11月联考数学参考答案pdf等2份试卷配套教学资源,其中试卷共14页, 欢迎下载使用。
相关试卷
炎德英才大联考湖南师大附中2025届高三月考数学试卷(二)及参考答案:
这是一份炎德英才大联考湖南师大附中2025届高三月考数学试卷(二)及参考答案,文件包含炎德英才大联考湖南师大附中2025届高三月考试卷二1pdf、炎德英才大联考湖南师大附中2025届高三月考试卷二答案1pdf等2份试卷配套教学资源,其中试卷共12页, 欢迎下载使用。
2023湖南师大附中高三第三次联考数学试卷及参考答案:
这是一份2023湖南师大附中高三第三次联考数学试卷及参考答案,文件包含湖南师大附中数学附中3次pdf、湖南师大附中数学答案附中3次pdf等2份试卷配套教学资源,其中试卷共14页, 欢迎下载使用。
湖南师大附中2022届高三月考(二)数学试卷及参考答案:
这是一份湖南师大附中2022届高三月考(二)数学试卷及参考答案
