浙江省杭州市联谊学校2024-2025学年高二上学期10月联考数学试题(Word版附解析)
展开
这是一份浙江省杭州市联谊学校2024-2025学年高二上学期10月联考数学试题(Word版附解析),文件包含浙江省杭州市联谊学校2024-2025学年高二上学期10月教学质量检测数学试题Word版含解析docx、浙江省杭州市联谊学校2024-2025学年高二上学期10月教学质量检测数学试题Word版无答案docx等2份试卷配套教学资源,其中试卷共20页, 欢迎下载使用。
一、选择题(本大题共8小题,每小题5分,共40分.在每小题给出的四个选项中,只有一项符合题目要求.)
1. 直线的倾斜角为( )
A. B. C. D.
2. 已知集合,,则( )
A B. C. D.
3. 在空间直角坐标系中,点关于平面的对称点为( )
A. B. C. D.
4. 已知复数满足,则( )
A. B. C. D.
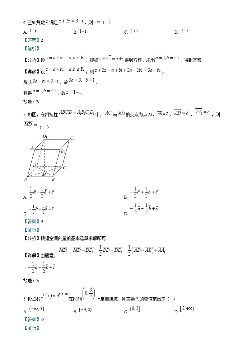
5. 如图,在斜棱柱中,与的交点为点M,,,,则( )
A. B.
C. D.
6. 设函数在区间上单调递减,则实数的取值范围是( )
A. B. C. D.
7. 已知光线从点射出,经直线反射,且反射光线所在直线过点,则反射光线所在直线的方程是( )
A B.
C. D.
8. 在正四面体中,分别为和的中点,则异面直线与所成角的余弦值为( )
A. B. C. D.
二、多选题(本大题共3小题,每小题6分,共18分.在每小题给出的四个选项中,有多个选项符合题目要求,全部选对的得6分,部分选对的得部分分,有选错的得0分.)
9. 已知函数,则( )
A. 函数的最小正周期为
B. 函数的图象关于直线对称
C. 函数在区间上单调递减
D. 函数的图象可由的图象向左平移个单位长度得到
10. 关于空间向量,下列说法正确的是( )
A. 直线l的方向向量为,平面的法向量为,则
B. 直线l的方向向量为,直线m的方向向量,则
C. 平面,的法向量分别为,,则
D 若对空间内任意一点O,都有,则P,A,B,C四点共面
11. 如图所示,边长为等边从起始位置(与轴重合)绕着点顺时针旋转至与轴重合得到,在旋转的过程中,下列说法正确的是( )
A. 边所在直线的斜率的取值范围是
B. 边所在直线在轴上截距的取值范围是
C. 边与边所在直线的交点为
D. 当的中垂线为时,
三、填空题(本大题共3小题,每小题5分,共15分.)
12. 某学校有高二学生700人,其中男生420人,女生280人.有人为了获得该校全体高二学生的身高信息,采用分层抽样的方法抽取了容量为100的总样本(观测数据单位:),若已知男生样本的平均数为172,女生样本的平均数为162,则总样本的平均数是______.
13. 已知直线则与的距离___________.
14. 如图,在四棱锥中,平面平面,底面是矩形,,,,点是的中点,则线段上的动点到直线的距离的最小值为______.
四、解答题(本大题共5小题,共77分.解答应写出必要的文字说明,证明过程或演算步骤.)
15. 求满足下列条件的直线的一般式方程:
(1)直线的一个方向向量是,且经过的交点;
(2)与直线垂直,且点到直线的距离为.
16. 如图,长方体中,,,E是的中点.
(1)求证:平面;
(2)求点E到平面的距离.
17. 在中,角所对的边分别为,且
(1)求角的大小;
(2)若,求的面积.
18. 图1是直角梯形ABCD,,,,,,,以BE为折痕将BCE折起,使点C到达的位置,且,如图2.
(1)求证:平面平面ABED;
(2)求直线与平面所成角的正弦值.
(3)在棱上是否存在点P,使得二面角的平面角为?若存在,求出线段的长度,若不存在说明理由.
19. 已知点P和非零实数λ,若两条不同的直线,均过点P,且斜率之积为λ,则称直线,是一组“共轭线对”,如直线和是一组“共轭线对”,其中O是坐标原点.
(1)已知,是一组“共轭线对”,且直线,求直线的方程;
(2)已知点、点和点分别是三条倾斜角为锐角的直线PQ,QR,RP上的点(A,B,C与P,Q,R均不重合),且直线PR,PQ是“共轭线对”,直线QP,QR是“共轭线对”,直线RP,RQ是“共轭线对”,求点P的坐标;
(3)已知点,直线,是“共轭线对”,当斜率变化时,求原点O到直线,的距离之积的取值范围.
相关试卷
这是一份浙江省杭州市联谊学校2024-2025学年高一上学期10月联考数学试题(Word版附解析),文件包含浙江省杭州市联谊学校2024-2025学年高一上学期10月教学质量检测数学试题Word版含解析docx、浙江省杭州市联谊学校2024-2025学年高一上学期10月教学质量检测数学试题Word版无答案docx等2份试卷配套教学资源,其中试卷共15页, 欢迎下载使用。
这是一份浙江省杭州市周边重点中学四校2024-2025学年高二上学期10月联考数学试题(Word版附解析),文件包含浙江省杭州市周边重点中学四校2024-2025学年高二上学期10月联考数学试题Word版含解析docx、浙江省杭州市周边重点中学四校2024-2025学年高二上学期10月联考数学试题Word版无答案docx等2份试卷配套教学资源,其中试卷共23页, 欢迎下载使用。
这是一份浙江省杭州市联谊学校2023-2024学年高二下学期5月期中考试试数学试题(Word版附解析),文件包含浙江省杭州市“桐·浦·富·兴”教研联盟高二5月考试2023-2024学年高二下学期5月调研测试数学试题Word版含解析docx、浙江省杭州市“桐·浦·富·兴”教研联盟高二5月考试2023-2024学年高二下学期5月调研测试数学试题Word版无答案docx等2份试卷配套教学资源,其中试卷共19页, 欢迎下载使用。

