解三角形压轴综合(精选30题)备战期末压轴2023-2024学年高一数学下学期期末复习(人教A版2019)
展开
这是一份解三角形压轴综合(精选30题)备战期末压轴2023-2024学年高一数学下学期期末复习(人教A版2019),文件包含期末专题解三角形压轴综合精选30题备战期末压轴特训原卷版docx、期末专题解三角形压轴综合精选30题备战期末压轴特训解析版docx等2份试卷配套教学资源,其中试卷共51页, 欢迎下载使用。
1.(22-23高一下·山东菏泽·期末)已知是锐角三角形,若,则的取值范围是( )
A.B.C.D.
【答案】D
【分析】先利用正弦定理与余弦定理的边角变换,结合三角函数的恒等变换求得,再求得角的范围,结合正弦定理边角变换与倍角公式即可得解.
【详解】因为,
所以由正弦定理得,得,
由余弦定理得,所以,
即,由正弦定理得,
因为,则
所以,即.
因为为锐角三角形,
,
又在上单调递增,所以,则,
因为为锐角三角形,
.
所以.
故选:D.
【点睛】关键点睛:本题解决的关键是灵活运用正弦定理与余弦定理的边角变换,推得,从而得解.
2.(22-23高一下·四川成都·期中)在锐角中,角A,B,C的对边分别为a,b,c,且满足.若恒成立,则实数的取值范围为( )
A.B.C.D.
【答案】C
【分析】由正弦定理边化角结合两角和差的正弦公式可得,推出,则,结合锐角三角形确定B的范围,继而将不等式恒成立转化为恒成立,结合对勾函数的单调性,即可求得答案.
【详解】由可得,
结合,
可得,即,
由于在锐角中,,
故,则,
则,
又,所以恒成立,即恒成立,
即恒成立,
因为,故,令,
则函数在内单调递增,故,
即,
故,
故选:C
【点睛】方法点睛:(1)三角等式含有边角关系式时,一般利用正弦定理转化为角或边之间的关系进行化简;(2)不等式恒成立问题一般转化为函数单调性或最值问题解决;(3)一般要注意利用基本不等式或者函数单调性比如对勾函数的单调性,求解函数最值或范围.
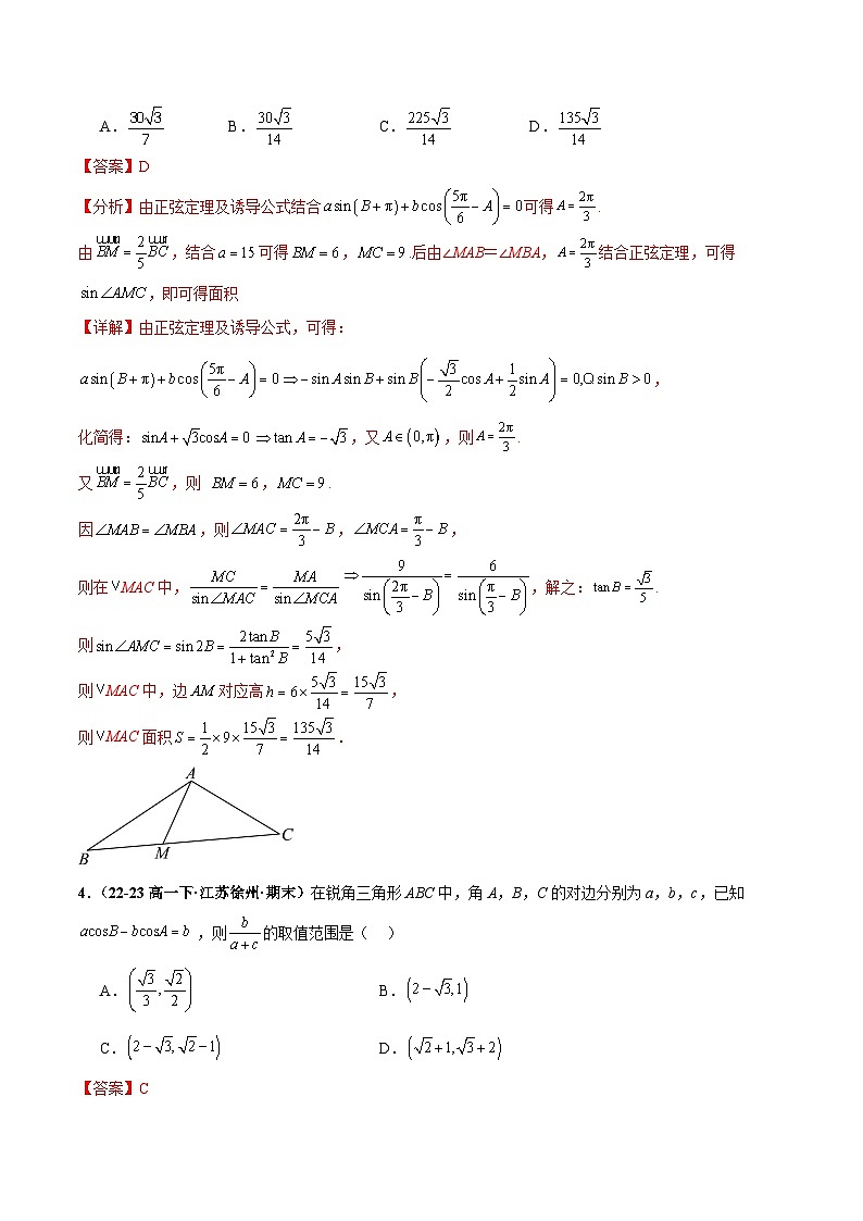
3.(2023·湖南岳阳·模拟预测)在△ABC中,内角A,B,C所对的边分别为a,b,c,,,若点M满足,且∠MAB=∠MBA,则△AMC的面积是( )
A.B.C.D.
【答案】D
【分析】由正弦定理及诱导公式结合可得.
由,结合可得,.后由∠MAB=∠MBA,结合正弦定理,可得,即可得面积
【详解】由正弦定理及诱导公式,可得:
,
化简得:,又,则.
又,则 ,.
因,则,,
则在MAC中,,解之:.
则,
则MAC中,边对应高,
则MAC面积.
4.(22-23高一下·江苏徐州·期末)在锐角三角形ABC中,角A,B,C的对边分别为a,b,c,已知,则的取值范围是( )
A.B.
C.D.
【答案】C
【分析】由正弦定理边化角得到,由锐角三角形求出,然后将的取值范围转化为函数的值域问题求解即可.
【详解】因为,所以由正弦定理得:,
即,所以,即,又,所以.
因为锐角三角形ABC,所以,即,解得.
.
令,因为,所以,
则在单调递减,
所以.
故选:C.
5.(22-23高一下·湖北黄冈·期末)在中,角A,B,C所对的边分别为a,b,c,若,点D在边AB上,,则的外接圆的面积是( )
A.B.C.D.
【答案】B
【分析】利用正弦定理将统一成角的形式,化简后可求出,在中利用正弦定理可求出,则可求出,然后在中利用余弦定理求出,再利用正弦定理可求出外接圆的半径,从而可求出圆的面积.
【详解】因为,所以由正弦定理得,
所以,
所以,所以,
所以,因为,所以,
因为,所以,所以,
在中,由正弦定理得,,
所以,
因为,
所以,得,
所以
在中,由余弦定理得,
,
所以,
设外接圆半径为,则由正弦定理得,
所以,
所以的外接圆的面积是,
故选:B
6.(22-23高一下·浙江台州·期末)如图,在中,D是BC的中点,E是AC上的点,,,,,则( )
A.B.C.D.
【答案】D
【分析】作的四等分点,使得,然后在三角形与三角形中,使用余弦定理表示出,再结合,两次使用余弦定理,从而解得所需要的边长,解出.
【详解】设在三角形与三角形中,
解得:
作的四等分点,且,由题意知,,
又因为,所以,,
又,所以,
在三角形与三角形中,
化简得: ,代入解得:,
从而解得:
故选:D.
7.(22-23高一下·山东济南·期末)已知锐角的内角,,所对的边分别为,,,,,则的周长的取值范围为( )
A.B.
C.D.
【答案】C
【分析】利用正弦定理得到,,即可将转化为的三角函数,结合的取值范围及正切函数的性质计算可得.
【详解】因为,,由正弦定理,即,
所以,,
所以
,
因为为锐角三角形,所以,所以,
则,所以,
因为,所以或(舍去),
所以,所以,
所以,即
所以,即的周长的取值范围为.
故选:C
二、多选题
8.(22-23高一下·黑龙江双鸭山·阶段练习)已知△ABC三个内角A,B,C的对应边分别为a,b,c,且,c =2.则下列结论正确的是( )
A.△ABC的周长最大值为6
B.的最大值为
C.
D.的取值范围为
【答案】AB
【分析】A选项,利用余弦定理和基本不等式即可求解周长的最大值;B选项,先利用向量的数量积计算公式和余弦定理得,再利用正弦定理和三角恒等变换得到,结合B的取值范围即可求出的最大值;C选项,结合B选项中的正弦定理进行求解即可;D选项,用进行变换得到,结合A的取值范围即可得到的取值范围.
【详解】对于A,由余弦定理得,解得,
所以,当且仅当时,等号成立,
解得,当且仅当时,等号成立,
则△ABC周长,所以△ABC周长的最大值为6,故A正确;
对于B,由,
又由正弦定理得,则,,
所以
,
因为,所以,
则的最大值为,即的最大值为,
所以的最大值为,故B正确;
对于C,结合B选项得,故C错误;
对于D,由,
又,所以,
所以,故D错误.
故选:AB.
【点睛】三角函数相关的取值范围问题,常常利用正弦定理,将边转化为角,结合三角函数性质及三角恒等变换进行求解,或者将角转化为边,利用基本不等式进行求解.
9.(22-23高一下·四川成都·阶段练习)已知三个内角A,B,C的对边分别是a,b,c,若,则下列选项正确的是( )
A.的取值范围是
B.若是边上的一点,且,,则的面积的最大值为
C.若三角形是锐角三角形,则的取值范围是
D.若三角形是锐角三角形,平分交于点,且,则的最小值为
【答案】BC
【分析】利用正弦定理及余弦定理求出角B,利用三角恒等变换公式化简求出值域判断A,利用向量线性运算及数量积的运算律解得,使用基本不等式即可求出面积最大值判断B,利用正弦定理及三角恒等变换得,求出函数值域即可判断C,由三角形面积公式寻找,关系,再利用基本不等式判断D.
【详解】因为,
所以,所以,
所以,即,又,所以,
,
因为,所以,所以,
所以,故A错误;
因为,所以,
所以,又,
所以,
即,当且仅当即时,等号成立,
所以,即的面积的最大值为,故B正确;
,
因为,所以,所以,
所以,所以,故C正确;
由题意得:,由角平分线以及面积公式得,
化简得,所以,所以,
当且仅当,即时取等号,
此时,
而,所以,与三角形是锐角三角形矛盾,所以等号不成立,故D错误;
故选:BC
10.(22-23高一下·福建厦门·阶段练习)记的内角A,B,C的对边分别为a,b,c,则下列命题正确的是( )
A.若且,则是直角三角形
B.若,则为锐角三角形
C.若,且,则该三角形内切圆面积的最大值是
D.若,,分别表示,的面积,则
【答案】ACD
【分析】利用同角的三角函数关系以及正弦定理判断A;利用余弦定理可判断B;根据正弦定理边化角结合三角恒等变换,确定三角形为直角三角形,再求得内切圆半径的范围,即可判断C;根据向量的线性运算构造三角形,利用三角形重心性质可判断D.
【详解】对于A,由可得,
即,则;
由得,
由于为三角形内角,则或,即或,
综合可得,即是直角三角形,A正确;
对于B,由可得,
即,即,
故,C为三角形内角,故C为锐角,但不能判定为锐角三角形,B错误;
对于C,,则,
故,
即,
即,即,
由于,故,由于,
设三角形内切圆半径为r,则
,
因为,则,
所以,即,
故该三角形内切圆面积的最大值是,C正确;
对于D,若,设,
则,可得O为的重心,如图:
设,则,,
由于O为的重心,延长交与E,则E为的中点;
则,
同理可得,
故,不妨取,
可得,D正确,
故选:ACD
【点睛】难点点睛:本题考查知识点较多,计算量较大,解答时要能综合应用三角函数的相关知识以及向量的有关知识进行解答.
11.(22-23高一下·重庆沙坪坝·期末)平面向量中有一个优美的结论,有趣的是,这个结论对应的图形与“奔驰”轿车的lg非常相似,该结论如下:如图,已知是内部一点,将,,的面积分别记为,,,则.根据上述结论,下列命题中正确的有( )
A.若,则
B.若,则
C.若为的内心,且,则
D.若为的垂心,则
【答案】BCD
【分析】
对于A,由奔驰定理即可直接判断;
对于B,结合平面向量的线性运算可得,进而由奔驰定理即可直接判断;
对于C,由奔驰定理可得,设的内切圆半径为,结合面积公式可得,进而结合勾股定理即可求解;
对于D,结合为的垂心,可得,,,进而根据平面向量数量积的定义可得,进而求解即可.
【详解】
对于A,由奔驰定理可得,故A错误;
对于B,由,即,
整理得,由奔驰定理可得,故B正确;
对于C,由,可得,
设的内切圆半径为,
则,,,
所以,即,
所以,即,故C正确;
对于D,,,,
因为为的垂心,
所以,,,
又,
,
,
所以,即,
同理可得,
所以,
所以,
由奔驰定理可知D正确.
故选:BCD.
【点睛】关键点睛:本题关键在于理解题意,由得到,进而结合平面向量的数量积及线性运算求解即可.
12.(22-23高一下·广东广州·期末)在中,三个角A,B,C所对的边分别为a,b,c,,记.下列命题中正确的是( )
A.若,则
B.若,则
C.若,则
D.若,则
【答案】ACD
【分析】对于A,利用正弦定理判断即可;对于C,利用三角形面积公式即可判断;对于D,利用向量数量积的定义与线性运算即可判断;对于B,利用特例法排除即可.
【详解】对于A,因为,,所以,
在中,,则,
在中,,则,
因为,所以,
所以,故A正确;
对于C,因为,
所以,
则,故C正确;
对于D, 因为,
,
,
又,
所以,
则,故D正确.
对于B,取,,,
易得,,,,
此时,故B错误;
故选:ACD.
【点睛】关键点睛:本题D选项的解决关键是观察式子,找到平面向量数量积与式子的关系,从而结合图形即可得解.
13.(22-23高一下·四川南充·期末)东汉末年的数学家赵爽在《周髀算经》中利用一副“弦图”,根据面积关系给出了勾股定理的证明,后人称其为“赵爽弦图”,如图1,它由四个全等的直角三角形与一个小正方形拼成的一个大正方形.某数学兴趣小组通过类比得到图2,它是由三个全等的钝角三角形与一个小等边三角形拼成的一个大等边三角形ABC,对于图2,下列结论正确的是( )
A.这三个全等的钝角三角形可能是等腰三角形
B.若,则与夹角的余弦值为
C.若,则的面积是面积的19倍
D.若,,则内切圆的半径为
【答案】BCD
【分析】选项A,若三个全等的钝角三角形是等腰三角形,分析可得三点重合,进而即可判断;选项B,连接,设,结合平面向量的线性运算可得,进而利用平面向量的数量积公式即可求解;选项C,设,则,, 在中,由余弦定理可得,进而结合三角形的面积公式分别表示出的面积和面积,进而求解;选项D,结合题设可得,,在中,由余弦定理可得,
设内切圆的半径为,由,进而求解即可.
【详解】选项A,若三个全等的钝角三角形是等腰三角形,则,
从而三点重合,不合题意,故A错误;
选项B,连接,因为,则为中点,则分别为中点,
因为为等边三角形,设,
而,
,
整理得,
所以,
,
所以与夹角的余弦值为,故B正确;
选项C,若,设,则,,
在中,由余弦定理得,
所以,而,
所以,故C正确;
选项D,因为,,所以,,
在中,由余弦定理得,即,
设内切圆的半径为,
由,
即,
解得,故D正确.
故选:BCD.
【点睛】关键点睛:本题B选项,关键在于结合平面向量的线性运算可得,进而利用平面向量的数量积公式即可求解,将未知向量往已知方向进行转化.
三、填空题
14.(22-23高一下·福建厦门·期末)已知的内解所对的边分别为,且,,,则 ;若内有一点,使得,,则 .
【答案】
【分析】第一空,根据余弦定理先得,再根据余弦定理得;第二空,根据,,得到,,分别在,中解三角形,结合边角之间的关系可得.
【详解】
在中,由余弦定理得,
所以,所以
又因,所以,所以,
因,,
所以,
,
因,所以
又,且,所以.
同理,所以,
设,在中,,
所以,
所以,
在中,,
所以,
由正弦定理得,即
所以,
得,
得,
得,所以,即.
故答案为:;
【点睛】关键点睛:本题考查解三角形,解题关键点是能找到,,然后找到和中有关系的量,分别在两个三角形中解三角形,通过相关量之间的联系,可得的相关等式.
15.(22-23高一下·四川成都·期末)已知O是所在平面内一点,,则与的面积比 .
【答案】/ 0.25
【分析】
结合图形,将表示在平行四边形中,然后借助三角形面积公式求解即可;
【详解】
因为,,
根据向量平行四边形法则画出草图(如图所示),
故答案为:##0.25.
16.(22-23高一下·黑龙江哈尔滨·期末)在中,,,,点为边边上一动点,将沿着翻折,使得点到达,且平面平面,则当最小时,的长度为 .
【答案】/
【分析】作出图形,根据面面垂直的性质得,利用条件将转化为三角函数表示,进而求出当时,最小,从而可得为的角平分线,再由角平分线定理可得,从而求得结果.
【详解】在中,,,,由勾股定理可得;
设,过 作交或的延长线于点,过作交或的延长线于点,
,,
,
又平面平面,平面平面,
平面,平面,,
,
在中,;
在中,;
,
又,而,
,
,当时, 取最小值为,
即,,
为的角平分线,
由角平分线定理可得,即,
,
,
故答案为:
【点睛】关键点睛:画出图形并作出辅助线,将线段长度的最值转化为三角函数求最值是关键,考查空间中的线段长度的计算与解三角形的综合应用,属于较难题.
17.(22-23高一下·重庆·期末)锐角的内角所对边分别是且,若变化时,存在最大值,则正数的取值范围 .
【答案】
【分析】
利用正弦定理,由题意得,再结合是锐角三角形,得出的范围,然后根据存在最大值,得出的取值范围.
【详解】由正弦定理,,,得,
代入,得,
所以,即,
因为,所以或(舍去),
所以,
因为是锐角三角形,所以,解得,
因为,且,
即,
利用辅助角公式可得,
,其中,
因为,要使存在最大值,
只需存在,使,,所以,
因为,所以,解得.
所以的取值范围.
故答案为:.
18.(22-23高一下·重庆渝中·期末)设中角所对的边分别为,,,为边上的中线;已知且,.则 .
【答案】/
【分析】根据题意利用正、余弦定理分析可得,由结合数量积相关运算整理得关于的方程,运算求解即可.
【详解】因为,且,
由正弦定理可得:,
由余弦定理可得:,整理得,
又因为D为中点,所以,设的夹角为θ,
则
,
即,
且,
因为,则为锐角,可知,
可得,解得或(舍去)
所以,
整理得,解得或,
且,即,所以,
所以.
故答案为:.
【点睛】关键点睛:对于等分点问题,常利用向量的线性运算以及数量积建立关系,运算求解即可.
四、解答题
19.(22-23高一下·四川自贡·期末)在中,角所对的边分别是,设若.
(1)当,求面积的最大值;
(2)求的值域.
【答案】(1)
(2)
【分析】(1)根据题意、正弦定理及两角和与差的正弦公式化简得到,从而求得,再根据正弦定理即题意得到,,代入三角形面积公式化简得到,再根据三角函数的性质即可求得面积的最大值;
(2)结合(1)及正弦定理得到,,代入中化简得到,再令,结合二次函数的性质即可求得的值域.
【详解】(1)由,
又由正弦定理得,
在中,,则,
所以,
即,
又,即,所以,即,
又,即,所以,得,
当时,由正弦定理得,
则,,
所以
在中,由,则,所以,
所以,这时.
(2)结合(1)得,
由正弦定理有,
则,,
所以
,
又,
则
,
又在中,由,则,则,
令,则,则,
所以在上单调递增,在上单调递减,则,
故的值域为.
20.(22-23高一下·山东德州·期末)从①;②;③;
这三个条件中任选一个,补充在下面问题中,并加以解答.在锐角中,分别是角的对边,若________________.
(1)求角的大小;
(2)求取值范围;
(3)当取得最大值时,在所在平面内取一点(与在两侧),使得线段,求面积的最大值.
(注:若选择多个条件,按第一个解答计分)
【答案】(1)
(2)
(3).
【分析】(1)选①,利用正弦定理边化角结合辅助角公式化简,可得答案;
选②,利用正弦定理边化角结合两角和的正弦以及同角三角函数关系化简,可得答案;
选③,利用同角三角函数关系结合两角和的正弦公式化简,可得答案;
(2)确定锐角中角A的范围,利用两角和的正弦公式化简,结合正弦函数性质,即可求得答案;
(3)确定;令,由正弦定理推出,结合余弦定理推得,利用三角形面积公式结合正弦函数最值,即可求得答案
【详解】(1)若选①:由正弦定理得,即
因为,所以,
所以,整理得,
又因为,则,所以
若选②:因为,
由正弦定理得,
即,
所以,
由,得,
所以,即,
因为,所以;
若选③:因为,所以,
即,
又因为,所以
又因为,所以,
因为,所以;
(2)在锐角中,由(1)得,,
所以
,
由,所以
所以的取值范围为.
(3)当取得最大值时,,解得;
在中,令,
则,所以;
又,
所以,
所以.
所以
,而,
故当时等号成立,
所以面积的最大值为.
【点睛】关键点睛:第三问求解三角形面积的最大值时,要利用面积公式表示出三角形面积,关键是要根据正余弦定理推得,继而结合正弦函数性质即可求解.
21.(22-23高一下·山东聊城·期末)已知向量,,其中,函数,且图象的两个相邻对称中心的距离为.
(1)求;
(2)已知分别为不等边的三个内角的对边,且,,求的面积.
【答案】(1)
(2)或
【分析】(1)根据平面向量数量积的坐标运算以及三角恒等变换公式可得,再根据周期公式可得;
(2)根据已知条件求出,再根据正弦定理求出,最后根据三角形面积公式可求出结果.
【详解】(1)
,
依题意得,即.
(2)由(1)得,
由,得,
因为为不等边三角形,且,,
所以,,
所以,,或,,
当,时,,
由正弦定理得,得,
所以,
当,时,,
由正弦定理得,得,
所以.
【点睛】易错点点睛:由,以及为不等边三角形,求出时,容易漏掉一解.
22.(22-23高一下·湖南长沙·期末)已知△ABC的内角A,B,C的对边分别为a,b,c,且,,.
(1)求B及a,c;
(2)若线段MN长为3,其端点分别落在边AB和AC上,求△AMN内切圆半径的最大值.
【答案】(1)
(2)
【分析】(1)由题得,再结合三角形面积公式和余弦定理即可得到答案;
(2)设内切圆的圆心为,半径为,根据内切圆半径公式得,代入数据有,再利用余弦定理和基本不等式即可求出最值.
【详解】(1)由,得,又
,解得,
,或
由余弦定理,
得,
当时,,又,所以,,
当时,,矛盾
所以,,
(2)设△内切圆的圆心为,半径为,由(1)知:△ABC为等边三角形,
则,
从而(其中指的周长),
,
,
,则
,
又,当且仅当等号成立
,
,当且仅当时等号成立,.
即内切圆半径的最大值为
【点睛】关键点睛:本题第二问的关键是利用三角形内切圆半径公式,再结合余弦定理和基本不等式求出的最大值.
23.(22-23高一下·河南周口·期末)在△ABC中,内角A,B,C所对的边分别为a,b,c,且
(1)求C;
(2)若△ABC的三条角平分线相交于点O,AB=7,OAB的面积为,求OC.
【答案】(1)
(2)
【分析】(1)由正余弦定理及两角和的正弦公式化简可得,据此求解;
(2)由三角形面积公式及余弦定理求出,再由定理及正弦定理求解即可.
【详解】(1)由及,
有,
又由正弦定理,有,
有,有,有,
又由,可得;
(2)由,有,
可得,
在△OAB中,由△OAB的面积为,有,
可得,
又由余弦定理及AB=7,有,
有,
代入,有AO+BO=8,
联立解得或
由对称性不妨设
在△OAB中,有,可得,
又由OA为角A的角平分线,有,
在△OAC中,由正弦定理有,有,
可得.
24.(22-23高一下·江苏镇江·期末)在①;②;③设的面积为,且.这三个条件中任选一个,补充在下面的横线上.并加以解答.
在中,角,,的对边分别为,,,已知__________,且.
(1)若,求的面积;
(2)若为锐角三角形,求的取值范围.(如果选择多个条件分别解答,按第一个解答计分)
【答案】(1)选①②③的面积都为,
(2)的取值范围为.
【分析】(1)若选①,由正弦定理化角为边,结合余弦定理求,利用余弦定理求,再由三角形面积公式求面积;
若选②,通过三角恒等变换求,利用余弦定理求,再由三角形面积公式求面积;
若选③,由条件结合三角形面积公式,余弦定理可求,利用余弦定理求,再由三角形面积公式求面积;
(2)利用正弦定理化边为角,结合三角恒等变换可得,
再求的范围,结合二次函数性质可得结论.
【详解】(1)若选①,设的外接圆的半径为,由正弦定理可得,
又,
所以,
所以,又
所以,所以,又,
所以,
所以,所以,
又,,所以,
所以的面积,
若选②,由,
所以,
所以,结合三角形内角性质,
所以,
所以,所以,又,
所以,
所以,所以,
又,,所以,
所以的面积,
若选③,因为,又,
所以,又
所以,所以,又,
所以,
所以,所以,
又,,所以,
所以的面积,
(2)由(1),,所以,
因为,
所以,
,
因为为锐角三角形,,
所以,
所以,所以,
所以,
设,则,,
所以,
所以的取值范围为.
25.(22-23高一下·江苏泰州·期末)在中,角的对边分别为,,,已知.
(1)当时,求的值;
(2)当时,求周长的最大值.
【答案】(1)
(2)
【分析】(1)根据题意借助于倍角公式整理得,再结合两角和差公式运算求解;
(2)以内切圆为基础,设,进而可得,结合面积公式可得,结合三角恒等变换分析运算.
【详解】(1)因为,则,
可得,
又因为,则,
所以,
解得.
(2)设的内切圆的圆心为,圆与边切于点,连接,
设周长为,,
可得,
由(1)可知:,即,
整理得,
可得,
根据等面积法可得,
即,
整理得,
其中,
当,即时,取到最大值,
所以周长的最大值为.
【点睛】关键点睛:本题注意到,故借助于内切球的性质建立边角关系,进而运算求解.
26.(22-23高一下·湖北咸宁·期末)在中,所对的边分别为,已知.
(1)若,求的值;
(2)若为锐角,求的取值范围.
【答案】(1)
(2)
【分析】(1)利用正弦定理和余弦定理角化边,结合已知联立求解可判断三角形形状,然后可得;
(2)根据正弦定理边化角,利用和差公式、平方关系,结合已知化简可得,然后利用换元法,函数单调性可得.
【详解】(1)依题意,
由正弦定理可知,,
根据余弦定理,,即,
又,则,即,即或(舍去),
所以,
因此为等腰直角三角形,故.
(2)由条件,则,即,且,
根据正弦定理可得:
,
因为A为锐角,所以,
所以,
令,
而在上单调递增,故在上单调递增,
因此,即,
即的取值范围是.
27.(22-23高一下·天津滨海新·期末)在中,内角的对边分别为,已知.
(1)求角的值;
(2)若,且的面积.
(i)求证:;
(ii)已知点在上,且满足,延长到,使得,连接,求.
【答案】(1)
(2)(i)证明见解析;(ii)
【分析】(1)利用将,化为,即可求角的值;
(2)(i)由三角形面积公式得,,化为,结合余弦定理可得结论;(ii)由(i)得,判断为的角平分线,设,求得,再根据余弦定理得答案.
【详解】(1)在中,∵,∴
∴,
,
∴,
∵,
∴,
∵,∴.
(2)(i)由三角形面积公式得,,∴,
由余弦定理得,,
∴,
∵,∴,∴;
(ii)由(i)得,,
∴,
取的中点,所以,
则
设,则H再CE上,
因为,所以,
平行四边形ACGH是菱形,
∴即为的角平分线,
设,∵为角的平分线,∴
∴在中,,
∵,∴,
在中,,∴
∵,∴,
又∵,∴为等边三角形,
∴.
在中,,由余弦定理得,
∴,
根据余弦定理得,,
∴.
28.(22-23高一下·山东济南·期末)射影几何学中,中心投影是指光从一点向四周散射而形成的投影,如图,为透视中心,平面内四个点经过中心投影之后的投影点分别为.对于四个有序点,定义比值叫做这四个有序点的交比,记作.
(1)证明:;
(2)已知,点为线段的中点,,求.
【答案】(1)证明见解析
(2)
【分析】
(1)利用面积公式表示出、即可得到,同理得到,即可得证;
(2)由(1)可得,即可得到,设,,利用余弦定理与正弦定理得到方程组,求出,,再由余弦定理计算可得.
【详解】(1)
在、、、中,
,
所以,
又在、、、中,
,
所以,
又,,,
所以,
所以.
(2)由题意可得,所以,
即,所以,又点为线段的中点,即,
所以,又,则,,
设,且,
由,所以,
即,解得①,
在中,由正弦定理可得②,
在中,由正弦定理可得③,
且,
②③得,即④
由①④解得,(负值舍去),即,
所以.
【点睛】关键点睛:本题解答的关键是理解所给定义,利用面积公式求出线段的比,利用整体思想计算.
29.(22-23高一下·山东淄博·期末)如图,平面四边形中,,,,的内角,,的对边分别是,,,且满足.
(1)判断四边形是否有外接圆?若有,求其半径;若无,说明理由,
(2)求内切圆半径的取值范围.
【答案】(1)有,;
(2).
【分析】(1)利用数量积的定义及三角形面积公式求出角D,再由正余弦定理求出角B,结合圆内接四边形的判定作答.
(2)利用三角形面积建立三角形内切圆半径的函数,再求出函数值域作答.
【详解】(1)在中,,则,
由,得,于是,而,因此,
在中, ,解得,
在中,由正弦定理,得 ,整理得,
由余弦定理,得,又,因此,有,
于是四点共圆,且四边形外接圆的半径就等于外接圆的半径,
所以四边形有外接圆,圆半径.
(2)由(1)知:,则,即有,
由,得,
又,由,故不是正三角形,又,则,
于是,又,解得,,
则,
所以内切圆半径的取值范围是.
【点睛】结论点睛:的三边分别为a,b,c,内切圆半径,则.
30.(22-23高一下·宁夏银川·期末)请从①;②;③这三个条件中任选一个,补充在下列问题中,并加以解答.(如未作出选择,则按照选择①评分)
在中,a,b,c分别是角A,B,C的对边,若__________.
(1)求角B的大小;
(2)若为锐角三角形,,求的取值范围.
【答案】(1)
(2)
【分析】(1)选①,利用正弦定理结合得到,求出答案;
选②,由余弦定理得到,再利用余弦定理得到,求出答案;
选③,由正弦定理得到,由辅助角公式得到,求出答案;
(2)利用正弦定理和余弦定理得到,结合△ABC为锐角三角形,求出,求出答案.
【详解】(1)若选①
因为,
由正弦定理得,
即,
所以,
由,得,所以,即,
因为,所以.
若选②
由余弦定理得,化简得,
即,所以.
因为,所以.
若选③
由正弦定理得,即,
因为,所以,
所以,所以,
又因为,所以.
(2)在中,由正弦定理,得,
由(1)知:,又代入上式得:
因为为锐角三角形,所以,解得,
所以,,
所以.
【点睛】解三角形中最值或范围问题,通常涉及与边长,周长有关的范围问题,与面积有关的范围问题,或与角度有关的范围问题,
常用处理思路:①余弦定理结合基本不等式构造不等关系求出答案;
②采用正弦定理边化角,利用三角函数的范围求出最值或范围,如果三角形为锐角三角形,或其他的限制,通常采用这种方法;
③巧妙利用三角换元,实现边化角,进而转化为正弦或余弦函数求出最值.
相关试卷
这是一份【期中模拟】2023-2024学年人教A版2019 高二数学下册专题模拟卷 专题02+真题精选(压轴题++考题猜想,11种题型).zip,文件包含期中模拟2023-2024学年人教A版2019高二数学下册专题卷-专题02真题精选压轴题考题猜想11种题型原卷版docx、期中模拟2023-2024学年人教A版2019高二数学下册专题卷-专题02真题精选压轴题考题猜想11种题型解析版docx等2份试卷配套教学资源,其中试卷共98页, 欢迎下载使用。
这是一份期末精选50题(压轴版)新高考高一数学上学期期中期末考试满分全攻略(人教A 版2019)解析版,共64页。试卷主要包含了单选题,多选题,填空题,解答题等内容,欢迎下载使用。
这是一份高一数学下学期期末精选50题(压轴版)-2021-2022学年高一数学考试满分全攻略(人教A版2019必修第二册)(原卷版),共15页。试卷主要包含了单选题,多选题,双空题,填空题,解答题等内容,欢迎下载使用。

