23、届新疆乌鲁木齐地区高三第一次质量监测数学试题及参考答案
展开这是一份23、届新疆乌鲁木齐地区高三第一次质量监测数学试题及参考答案,文件包含23届新疆乌鲁木齐地区高三第一次质量监测数学试题docx、23乌鲁木齐市2024届高三第一次质量监测数学试题pdf、23乌鲁木齐2024年第一次质量监测数学答案pdf等3份试卷配套教学资源,其中试卷共16页, 欢迎下载使用。
(卷面分值:150分;考试时间:120分钟)
注意事项:
1.本试卷分为问卷(4页)和答卷(4页),答案务必书写在答卷(或答题卡)的指定位量上.
2.答题前,先将答卷密封线内的项目(或答题卡中的相关信息)填写清楚.
第I卷(选择题 共58分)
一、选择题:本大题共8小题,每小题5分,共计40分.在每小题给出的四个选项中只有一项是符合题目要求的.请把正确的选项填涂在答题卡相应的位置上.
1.若复数,则( )
A.B.C.1D.
2.命题“,”的否定是( )
A.,B.,
C.,D.,
3.已知向量,,则( )
A.B.
C.D.
4.已知数列满足,,则( )
A.3B.2或C.3或D.2
5.的展开式中的系数为( )
A.B.C.20D.30
6.设抛物线的焦点为,过点且倾斜角为的直线与交于A,B两点,以为直径的圆与准线切于点,则的方程为( )
A.B.C.D.
7.在中,,,,则下列各式一定成立的是( )
A.B.
C.D.
8.在满足,的实数对中,使得成立的正整数的最大位为( )
A.15B.16C.22D.23
二、选择题:本大题共3小题,每小题6分,共计18分.在每小题给出的四个选项中,有多项符合题目要求.全部选对得6分,部分选对得部分分,有选错的得0分.
9.已知函数的部分图像如图所示,则( )
A.在上单调递增
B.在上有4个零点
C.
D.将的图祭向右平移个单位,可得的图急
10.若函数的定义域为,且,,则( )
A.B.为偶函数
C.的图象关于点对称D.
11.某广场设置了一些石凳供大家休息,这些石凳是由棱长为40cm的正方体截去八个一样的四面体得到的,则( )
A.该几何体的顶点数为12
B.该几何体的棱数为24
C.该几何体的表面积为
D.该几何体外接球的表面积是原正方体内切球、外接球表面积的等差中项
第II卷(非选择题 共92分)
三、填空题:本大题共3小题,每小题5分,共计15分.
12.已知集合,,则的子集个数为_________;
13.在工业生产中轴承的直径服从,购买者要求直径为,不在这个范围的将被拒绝,要使拒绝的概率控制在之内,则至少为_________;(若,则)
14.设双曲线的左、右焦点分别为,,A是右支上一点,满足,直线交双曲线于另一点,且,则双曲线离心率的一个值为_________.
四、解答题:本大题共5小题,共计77分.解答应在答卷的相应各题中写出文字说明,证明过程或演算步骤.
15.(13分)设等比数列的前项和为,已知,.
(I)求的通项公式;
(II)设,求的前项和.
16.(15分)我们平时常用的视力表叫做对数视力表,视力呈现为4.8,4.9,5.0,5.1.视力为正常视力.否则就是近视.某地区对学生视力与学习成结进行调查,随机抽查了100名近视学生的成绩,得到频率分布直方图:
(I)能否据此判断学生的学习成绩与视力状况相关?(不需说明理由)
(II)估计该地区近视学生学习成缆的第85百分位数;(精确到0.1)
(III)已知该地区学生的近视率为54%,学生成绩的优秀率为36%(成绩分为优秀),从该地区学生中任选一人,若此人的成绩为优秀,求此人近视的概率.(以样本中的频率作为相应的概率)
17.(15分)如图,在四棱锥中,底面为正方形,平面,,点E,F分别是棱,的中点.
(I)求直线与平面所成角的正弦值;
(II)在截面内是否存在点.使平面,并说明理由.
18.(17分)已知椭圆的离心率为,点在椭圆上,过点的两条直线,分别与椭圆交于另一点A,B,且直线,,的斜率满足.
(I)求椭圆的方程;
(II)证明直线过定点;
(III)椭圆C的焦点分别为,,求凸四边形面积的取值范围.
19.(17分)已知函数.
(I)证明曲线在处的切线过原点;
(II)讨论的单调性;
(III)若,求实数的取值范围.
乌鲁木齐地区2024年高三年级第一次质量监测
数学(答案)
一、选择题:本大题共8小题,每小题5分,共计40分.
1~4ACDC5~8ABBD
二、选择题:本大题共3小题,每小题6分,共计18分.在每小题给出的四个选项中,有多项符合题目要求.全部选对得6分,部分选对得部分分,有选错的得0分.
9.ABC10.BCD11.ABD
三、填空题:本大题共3小题,每小题5分,共计15分.
12.413.0.114.或5
四、解答题:本大题共5小题,共计77分.解答应在答卷的相应各题中写出文字说明,证明过程或演算步骤.
15.(13分)(I)由题设得,故,
因为数列为等比数列,所以数列,所以;
(II)由(I)得,
所以.
16.(15分)(I)不能据此判断;
(II)由频率分布直方图可知,成绩90分以下所占比例为,因此第85百分位数一定位于 内,由,可以估计该地区近视学生的学习成绩的第85百分位数约为95.8;
(III)设“该地区近视学生”,“该地区优秀学生”,
由题设得,,,
所以.
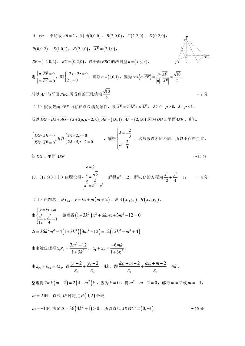
17.(15分)(I)以为坐标原点,的方向为轴正方向,建立如图所示的空间直角坐标系,
不妨设,则,,,,,,,,,,
设平面的法向量,则,即,可取,
因为,所以与平面所成角的正弦值为;
(II)假设截面内存在点满足条件,设,,,,
所以,,,
因为平面,所以,所以,解得,
这与假设矛盾矛盾,所以不存在点,使平面.
18.(17分)(I)由题设得,解得,所以的方程为;
(II)由题意可设,设,,
由,整理得,
.
由韦达定理得,,
由得,即,
整理得,因为,得,解得或,
时,直线过定点舍去;
时,满足,所以直线过定点.
(III)由(II)得直线,所以,
由,整理得,,
由题意得,
因为,所以,所以,令,,
所以,在上单调递减,
所以的范围是.
19.(17分)(I)由题设得,所以,
又因为,所以切点为,斜率,
所以切线方程为,即,恒过原点.
(II)由(I)得,
①时,,
当时,,在上单调递增,
当时,,在上单调递减;
②时,,时,,,在上单调递增,
时,,在上单调递增,在上单调递减,在上单调递增;
③时,,在上单调递增,在上单调递减;
(III)当时,,即,
下面证明当时,,,即证,
令,因为,所以,只需证,
即证,令,,,令,,
令,,与在上单调递减,
所以在上单调递减,,,
所以存在,使得,即,
所以,,,,
所以在上单调递增,在上单调递减,
所以,,,
令,时,
所以在上单调递增,所以,
所以,,所以在上单调递减,
,,,,,
所以在上单调递增,在上单调递减,
所以,综上所述.
以上各题的其他解法,限于篇幅,从略,请酌情给分.
相关试卷
这是一份23、乌鲁木齐市2024届高三第一次质量监测数学试题及参考答案,文件包含23乌鲁木齐市2024届高三第一次质量监测数学试题pdf、23乌鲁木齐2024年第一次质量监测数学答案pdf等2份试卷配套教学资源,其中试卷共8页, 欢迎下载使用。
这是一份新疆乌鲁木齐地区2024届高三第二次质量监测数学试题,文件包含新疆乌鲁木齐地区2024届高三第二次质量监测数学试题pdf、答案pdf等2份试卷配套教学资源,其中试卷共7页, 欢迎下载使用。
这是一份新疆乌鲁木齐地区2024届高三第二次质量监测数学试题,文件包含新疆乌鲁木齐地区2024届高三第二次质量监测数学试题pdf、答案pdf等2份试卷配套教学资源,其中试卷共7页, 欢迎下载使用。

