


江苏省扬州中学2024-2025学年高三上学期10月月考物理试题
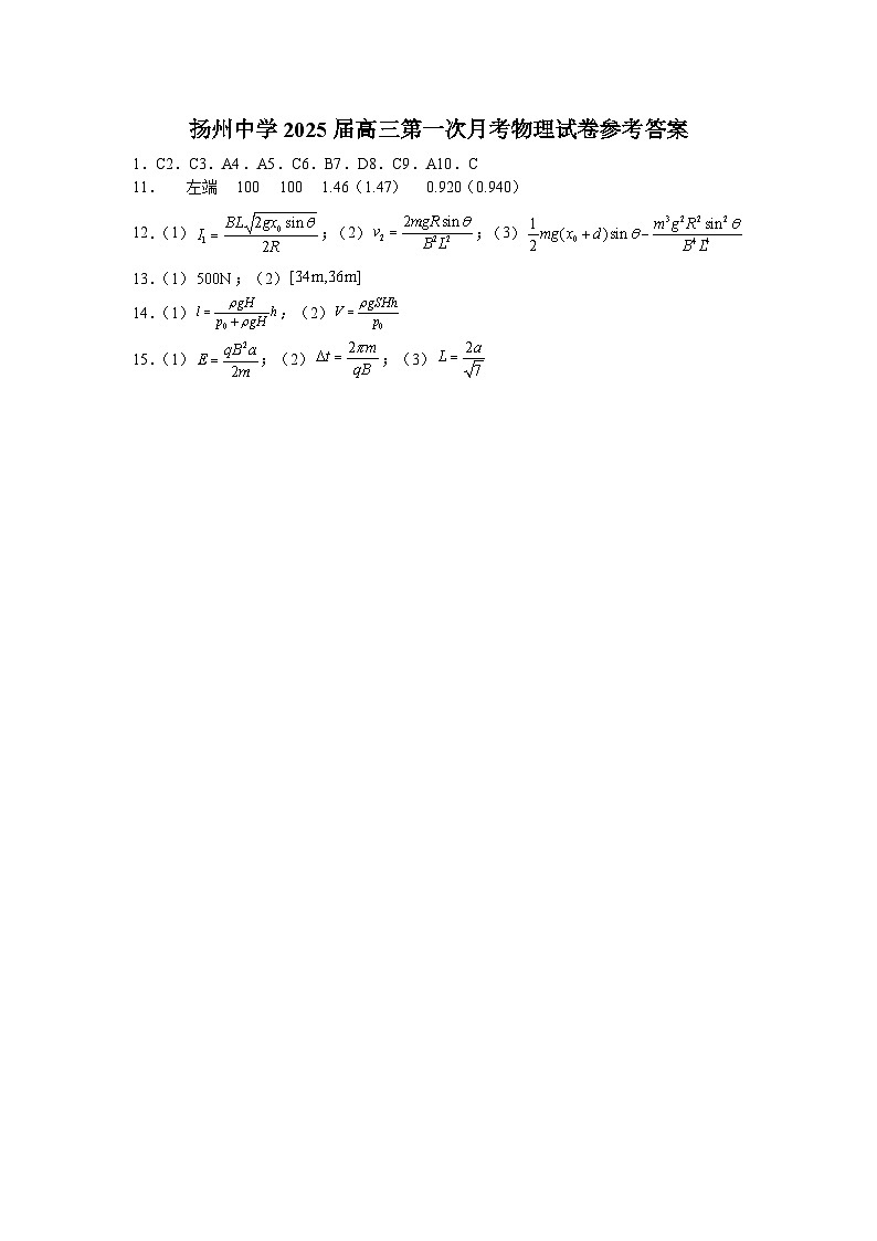
展开11. 左端 100 100 1.46(1.47) 0.920(0.940)
12.(1);(2);(3)
13.(1);(2)
14.(1);(2)
15.(1);(2);(3)
江苏省扬州中学2024-2025学年高一上学期10月月考物理试题: 这是一份江苏省扬州中学2024-2025学年高一上学期10月月考物理试题,文件包含扬州中学2024-2025学年度第一学期第一次阶段练习高一物理试卷docx、扬州中学2024-2025学年度第一学期第一次阶段练习高一物理试卷参考答案docx等2份试卷配套教学资源,其中试卷共5页, 欢迎下载使用。
江苏省扬州市高邮市2024-2025学年高三上学期10月月考物理试题: 这是一份江苏省扬州市高邮市2024-2025学年高三上学期10月月考物理试题,共11页。试卷主要包含了10等内容,欢迎下载使用。
江苏省扬州中学2024-2025学年高三上学期10月月考物理试题: 这是一份江苏省扬州中学2024-2025学年高三上学期10月月考物理试题,共12页。试卷主要包含了单项选择题等内容,欢迎下载使用。