江苏省江阴市青阳初级中学2024—-2025学年七年级上学期10月作业检查数学试题
展开开心选一选(每空3分,共27分)
1.规定10吨记为0吨,11 吨记为吨,则下列说法错误的是( )
A.7吨记为吨B.15吨记为吨
C.吨表示重量为6吨D.吨表示重量为13吨
2.国家电影局2月18日发布数据,我国2024年春节档电影票房达80.16亿元,创造了新的春节档票房纪录,观影人次为1.63亿.将数据80.16亿用科学记数法表示为( )
A.80.16×108B.8.016×108C.8.016×109D.8016×106
3.下列两个数互为相反数的是
A.3和B.和C.和D.和
4.下列说法不正确的是( )
A.0既不是正数,也不是负数 B.a一定是正数
C.一个有理数不是整数就是分数 D.0的绝对值是0
5.不改变原式的值,将中的减法改成加法并写成省略加号和的形式是( )
A.B.
C.D.
6.大于-2.6且小于3的整数有( )
A.3个B.4个C.5个D.6个
7. 若,,且,则( )
A.或B.1或9C.1或D.9或
8.对于有理数x,y,若xy<0,则xyxy+xx+yy的值是( )
A.-3B.-1C.1D.3
9. 如图,在探究“幻方”、“幻圆”的活动课上,学生们感悟到我国传统数学文化的魅力.一个小组尝试将数字这12 个数填入“六角幻星”图中,使6条边上四个数之和都相等.部分数字已填入圆圈中,则的值为( )
A.B.C.3D.4
静心填一填(每空3分,共27分)
10若一个数的相反数是215,则这个数的倒数是 .
11.在数轴上,点A所表示的数为,那么到点A的距离等于5个单位长度的点所表示的数是 .
12.将数轴对折,使表示5与的两个点重合,若此时表示的点与另一个表示数x的点重合,则 .
13.把写成乘方形式 .
14.已知a,b在数轴上的位置如图所示,则下列结论:①a<00,④b-a15.在,,,,中,负数共有 个.
16.已知x2=9,y=2,且xy<0,则x+y的值等于_________.
17. 定义:a 是不为 1 的有理数 我们把11-a称为a 的差倒数,如:2 的差倒数是11-2=-1,1 的差倒数是11-(-1)=12,已知a1=-13, a2是 a1的差倒数,a3是a2的差倒数,……,依此类推,则a2017=__________.
18.我们平常用的数是十进制的数,如1234=1×103+2×102+3×101+4×1,表示十进制的数要用十个数码:0,1,2,3,4,5,6,7,8,9.在电子计算机中用的是二进制,只要两个数码0和1,如:二进制中,101=1×22+0×21+1等于十进制的数5;10111=1×24+0×23+1×22+1×21+1等于十进制的数23.请问二进制中的1011101等于十进制中的数为 .
细心做一做(共66分)
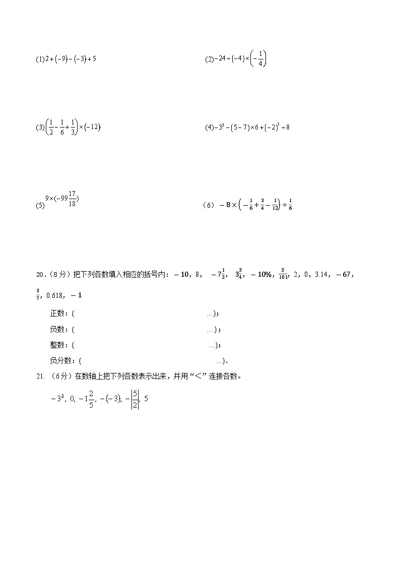
19.计算题:(每题3分,共18分)
(1)(2)
(3)(4)
(5) (6)-8×-16+34-112÷16
20.(8分)把下列各数填入相应的括号内:-10,8, -712, 334,-10%,3101,2,0,3.14,-67,37,0.618,-1
正数:{ ...};
负数:{ ... };
整数:{ ...};
负分数:{ ...}.
21. (6分)在数轴上把下列各数表示出来,并用“<”连接各数。
22.(6分)在学习完《有理数》后,小奇对运算产生了浓厚的兴趣.他借助有理数的运算,定义了一种新运算“⊕”,规则如下:a⊕b=a×b+2×a.
(1)求2⊕(-1)的值;
(2)求(-3)⊕-4⊕12的值;
(3)试用学习有理数的经验和方法来探究这种新运算“⊕”是否具有交换律?请写出你的探究过程.
23.(5分)国庆假期中,全国高速公路免费通行,各地风景区游人如织.在A风景区,9月30日的游客人数为0.3万人,在国庆期间每天的游客人数变化如下表(正数表示比前一天多的人数,负数表示比前一天少的人数).
(1)10月2日的人数为_______万人;(1分)
(2)这7天中游客人数最多的是_______,最少的是______;(2分)
(3)求这7天的游客总人数是多少万人?(2分)
24.(8分)某淘宝商家计划平均每天销售某品牌儿童滑板车100辆,但由于种种原因,实际每天的销售量与计划量相比有差距.下表是本周每天的销售情况(超额记为正、不足记为负):
(1)本周前三天销售儿童滑板车______辆,销售量最多的一天比最少的一天多销售______辆;(2分)
(2)通过计算说明,本周实际销售总量是否达到了计划量?(2分)
(3)该店铺实行每日计件工资制,每销售一辆车可得40元,若超额完成任务,则超过部分每辆另奖15元;若未完成计划,则少销售一辆扣20元,那么该店铺销售人员本周的工资总额是多少元?(4分)
25.(8分)【定义新知】
我们知道:式子x-3的几何意义是数轴上表示有理数x的点与表示有理数3的点之间的距离,因此,若点A、B在数轴上分别表示有理数a、b,则A、B两点之间的距离AB=a-b.若点P表示的数为x,请根据数轴解决以下问题:
(1)式子x+5在数轴上的几何意义是____________________________________,若x+5=6,则x的值为_________;(2分)
(2)当x+3+x-1|取最小值时,x可以取整数_______________;最小值是_________;(2分)
(3),x的值是________;(2分)
(4)当x=_________时,x+2+x+6+x-1的值最小,最小值为_________;(2分)
26.(7分)定义:若A,B,C为数轴上三点,若点C到点A的距离是点C到点B的距离2倍,我们就称点C是【A,B】的美好点.
例如:如图1,点A表示的数为-1,点B表示的数为2.表示1的点C到点A的距离是2,到点B的距离是1,那么点C是【A,B】的美好点;又如,表示0的点D到点A的距离是1,到点B的距离是2,那么点D就不是【A,B】的美好点,但点D是【B,A】的美好点.
如图2,M,N为数轴上两点,点M所表示的数为-7,点N所表示的数为2
(1)点E,F,G表示的数分别是-3,6.5,11,其中是【M,N】美好点的是 ;写出【N,M】美好点H所表示的数是 .
(2)现有一只电子蚂蚁P从点N开始出发,以2个单位每秒的速度向左运动.当t为___________________时,P,M和N中恰有一个点为其余两点的美好点?
日期(10月)
1日
2日
3日
4日
5日
6日
7日
人数变化(万人)
0.16
0.08
0.04
-0.04
-0.08
0.02
-0.12
星期
一
二
三
四
五
六
日
与计划量的差额(辆)
+4
-3
+14
-5
-8
+21
-6
江苏省江阴市青阳初级中学2024—2025学年八年级上学期10月作业检查数学试题: 这是一份江苏省江阴市青阳初级中学2024—2025学年八年级上学期10月作业检查数学试题,共4页。试卷主要包含了下列会徽中,不是轴对称图形的是等内容,欢迎下载使用。
江苏省江阴市青阳初级中学2024-2025学年九年级上学期10月作业检查数学试题: 这是一份江苏省江阴市青阳初级中学2024-2025学年九年级上学期10月作业检查数学试题,共4页。试卷主要包含了选择题,填空题,解答题等内容,欢迎下载使用。
2024-2025学年江苏省江阴市青阳初级中学数学九上开学教学质量检测试题【含答案】: 这是一份2024-2025学年江苏省江阴市青阳初级中学数学九上开学教学质量检测试题【含答案】,共21页。试卷主要包含了选择题,填空题,解答题等内容,欢迎下载使用。

