资料中包含下列文件,点击文件名可预览资料内容




还剩2页未读,
继续阅读
2025届江苏常州联盟校高三上学期10月学情调研数学试题+答案
展开
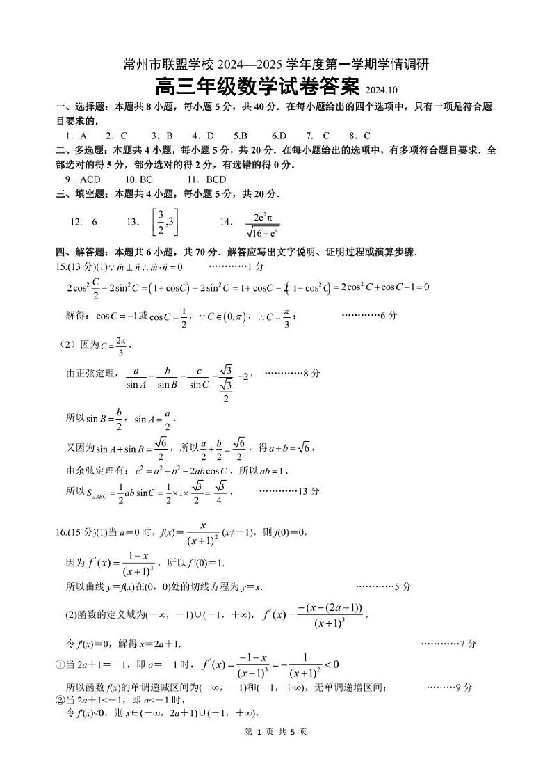
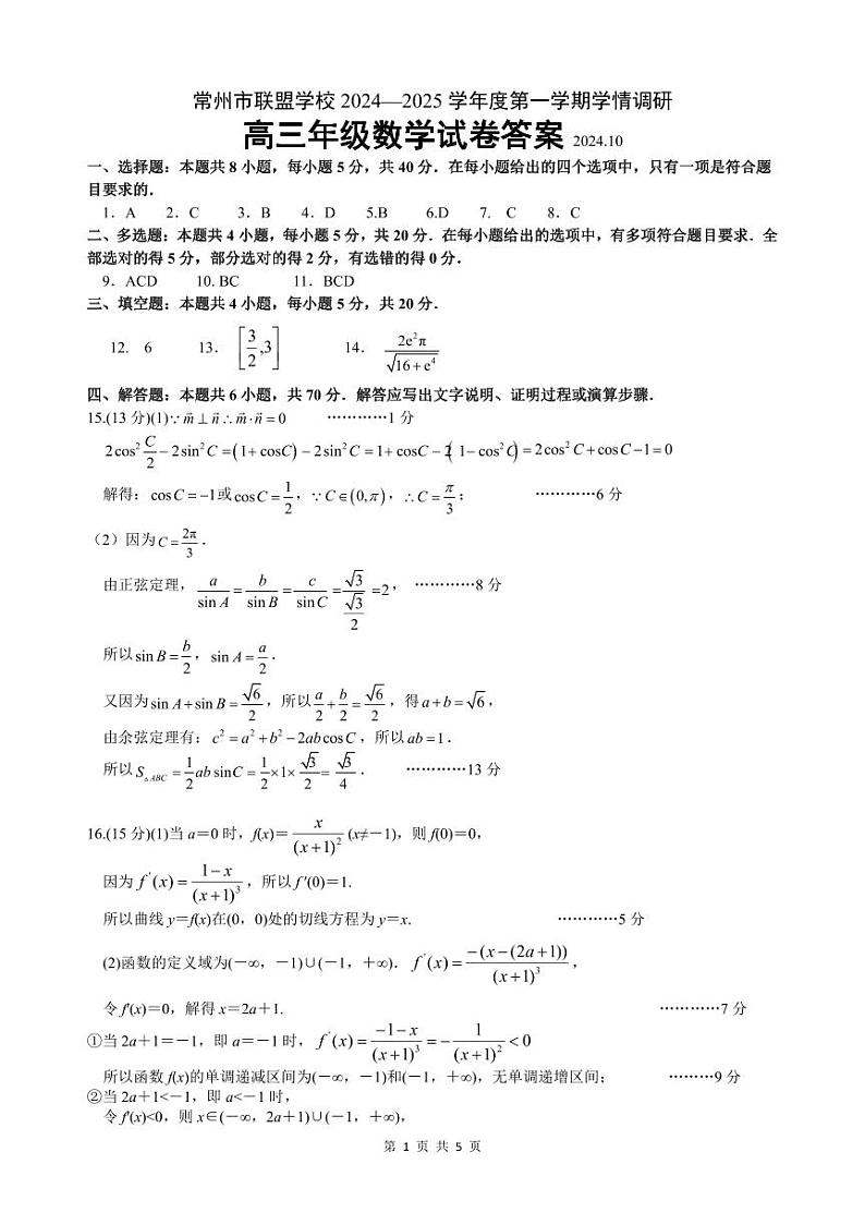
这是一份2025届江苏常州联盟校高三上学期10月学情调研数学试题+答案,文件包含高三数学试题pdf、高三数学试卷答案pdf等2份试卷配套教学资源,其中试卷共9页, 欢迎下载使用。
相关试卷
江苏镇江一中2024届高三上学期1月学情检测调研数学试题(含答案):
这是一份江苏镇江一中2024届高三上学期1月学情检测调研数学试题(含答案),共12页。
40,江苏省常州市联盟学校2024届高三上学期12月学情调研数学试题:
这是一份40,江苏省常州市联盟学校2024届高三上学期12月学情调研数学试题,共22页。试卷主要包含了12, 若集合,集合,则, 下列命题正确的是等内容,欢迎下载使用。
数学-江苏省常州市联盟学校2023-2024学年高三上学期12月学情调研试题和答案:
这是一份数学-江苏省常州市联盟学校2023-2024学年高三上学期12月学情调研试题和答案,共28页。