资料中包含下列文件,点击文件名可预览资料内容
还剩38页未读,
继续阅读
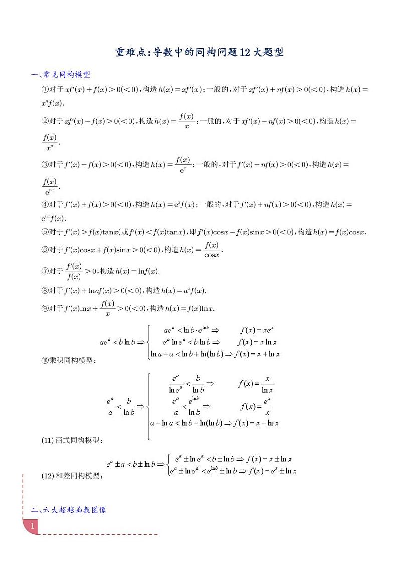
导数中的同构问题12大题型学案-高考数学专题
展开
这是一份导数中的同构问题12大题型学案-高考数学专题,文件包含重难点导数中的同构问题12大题型解析版pdf、重难点导数中的同构问题12大题型学生版pdf等2份学案配套教学资源,其中学案共51页, 欢迎下载使用。
相关学案
人教版选修2(理科)第三章 导数导数学案设计:
这是一份人教版选修2(理科)第三章 导数导数学案设计,共10页。
人教版选修2(理科)导数导学案:
这是一份人教版选修2(理科)导数导学案,共41页。
导数中的五大同构体系总结学案-高考数学专题:
这是一份导数中的五大同构体系总结学案-高考数学专题,文件包含导数中的五大同构体系总结解析版pdf、导数中的五大同构体系总结学生版pdf等2份学案配套教学资源,其中学案共22页, 欢迎下载使用。

