高考数学一轮复习第三章第二节第三课时利用导数证明不等式——构造法证明不等式课件
展开核心考点 提升“四能”
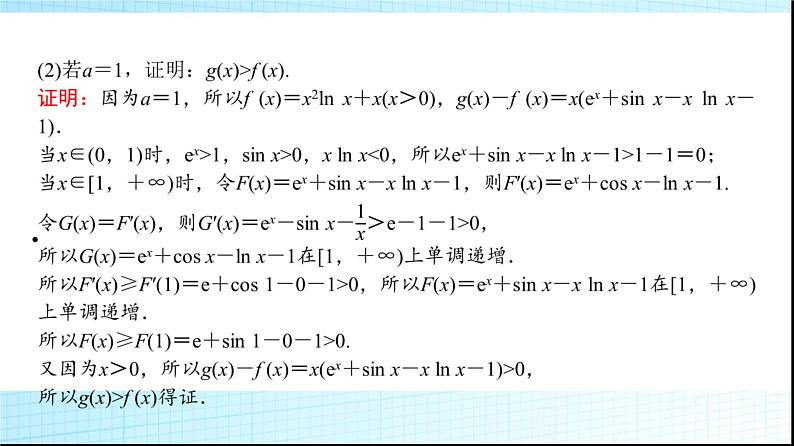
移项作差构造函数证明不等式【例1】(2024·邢台模拟)已知函数f (x)=x(ln x+a).(1)求f (x)的单调区间;解:f (x)的定义域为(0,+∞),f ′(x)=ln x+1+a.令f ′(x)=0,得x=e-a-1.令f ′(x)<0,解得0
待证不等式的两边含有同一个变量时,一般可以直接构造“左减右”或“右减左”的函数,利用导数研究其单调性等相关函数性质证明不等式.
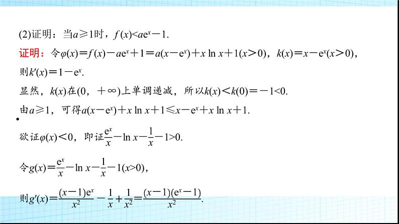
放缩构造法【例2】(2024·济南质检)已知函数f (x)=x ln x-ax+1(a∈R).(1)若a≤1,讨论f (x)零点的个数;解:由题意可得函数f (x)的定义域为(0,+∞),f ′(x)=ln x+1-a.令f ′(x)>0,可得x>ea-1;令f ′(x)<0,可得0
用导数方法证明不等式的问题中,最常见的是ex和ln x与其他代数式结合的问题,对于这类问题,可以考虑先对ex和ln x进行放缩,使问题简化,简化后再构建函数进行证明.常见的放缩公式如下:(1)ex≥1+x,当且仅当x=0时取等号.(2)ln x≤x-1,当且仅当x=1时取等号.
构造双函数法【例3】(2024·汉中模拟)已知函数f (x)=x(ln x-a).(1)若f (x)在(1,+∞)上单调递增,求a的取值范围;解:函数f (x)=x(ln x-a)的定义域为(0,+∞),f ′(x)=ln x+1-a.因为f (x)在(1,+∞)上单调递增,所以f ′(x)=ln x+1-a≥0在(1,+∞)上恒成立,即a≤ln x+1在(1,+∞)上恒成立.设g(x)=ln x+1,函数g(x)在(1,+∞)上单调递增,故g(x)>g(1)=ln 1+1=1.所以a≤1.故a的取值范围是(-∞,1].
1.在证明不等式的问题中,若无法转化为一个函数的最值问题,则可以考虑转化为两个函数的最值问题.2.在证明过程中,“隔离化”是关键.如果证g(x)≥f (x)恒成立,只需证g(x)min≥f (x)max恒成立,但只有当f (x)与g(x)取到最值时对应的x的值相同时取等号,否则只能得到g(x)>f (x).
2024届高考数学一轮复习第3章第2节第3课时利用导数证明不等式——构造法证明不等式课件: 这是一份2024届高考数学一轮复习第3章第2节第3课时利用导数证明不等式——构造法证明不等式课件,共20页。
2024版高考数学一轮总复习第3章导数及其应用第2节导数的应用第3课时利用导数证明不等式__构造法证明不等式课件: 这是一份2024版高考数学一轮总复习第3章导数及其应用第2节导数的应用第3课时利用导数证明不等式__构造法证明不等式课件,共20页。
人教A版高考数学一轮总复习第3章第2节第3课时利用导数证明不等式——构造法证明不等式教学课件: 这是一份人教A版高考数学一轮总复习第3章第2节第3课时利用导数证明不等式——构造法证明不等式教学课件,共42页。

