







所属成套资源:全套人教A版高中数学必修第一册时教学课件
人教A版高中数学必修第一册第二章微专题一基本不等式的应用技巧课件
展开
这是一份人教A版高中数学必修第一册第二章微专题一基本不等式的应用技巧课件,共37页。
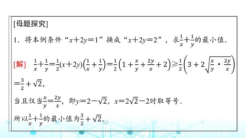
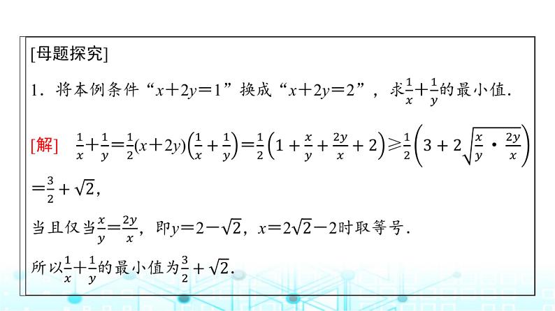
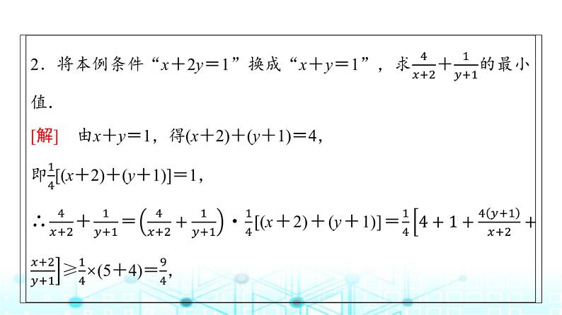
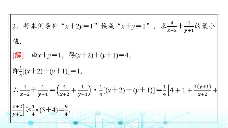
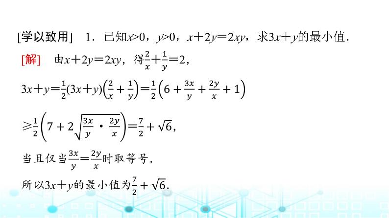
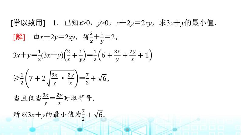
微专题1 基本不等式的应用技巧第二章 一元二次函数、方程和不等式在利用基本不等式求最大值或最小值时,为满足“一正、二定、三相等”的条件,需要做一些适当的变形,用到一些变换的技巧,下面举例说明. 反思领悟 用常数代换法解题的关键是通过代数式的变形,构造和式或积式为定值的式子,然后利用基本不等式求解最值.应用此种方法求解最值时,应把“1”的表达式与所求最值的表达式相乘求积或相除求商.[学以致用] 1.已知x>0,y>0,x+2y=2xy,求3x+y的最小值. 探究2 消元法求最值[典例讲评] 2.已知a>0,b>0,且2a+b=ab-1,求a+2b的最小值. 反思领悟 对含有多个变量的求最值问题,若无法直接利用基本不等式求解,可尝试减少变量的个数,即用其中一个变量表示另一个,再代入代数式中,将问题转化为只含有一个变量的求最值问题. √探究3 有和、有积、有常数求最值[典例讲评] 3.若a>0,b>0,且ab=a+2b+4.(1)求ab的最小值;(2)求a+b的取值范围. 反思领悟 对已知条件式中同时含有和、积与常数,求和或积的最值(或范围)问题,一般先利用基本不等式进行和与积的转化,把条件等式替换为关于和或积的二次不等式,再解此不等式即可.[学以致用] 3.(1)设a,b∈R.若ab=a+b+3,求a+b的取值范围;(2)设a>0,b>0,若ab=a+b+3,求ab的取值范围. 微专题强化练(一) 基本不等式的应用技巧一、选择题1.若x>0,y>0且xy=x+4y+5,则xy的最小值为( )A.1 B.5C.25 D.12√题号135246879 题号135246879 √题号135246879 3.若正实数x,y满足xy+3x=3,则12x+y的最小值为( )A.7 B.8C.9 D.10√题号135246879 题号135246879 √题号135246879 题号135246879 √题号135246879√√ 题号135246879 题号135246879 题号135246879二、填空题6.已知x>0,y>0,xy+2x-y=10,则x+y的最小值为_________.题号135246879 题号135246879 1 8.已知a>0,b>0,且ab=a-b+3,则a+b的最小值为________.题号135246879 三、解答题9.已知x>0,y>0,且2x+8y-xy=0,求:(1)xy的最小值;(2)x+y的最小值.题号135246879 题号135246879 题号135246879 题号135246879