资料中包含下列文件,点击文件名可预览资料内容



还剩3页未读,
继续阅读
山东省青岛市第六十一中学2024--2025学年九年级上学期9月考数学试卷
展开
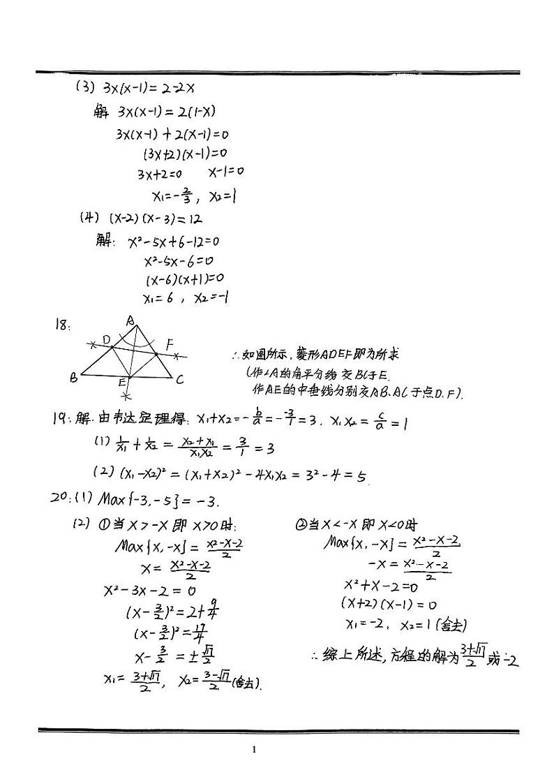
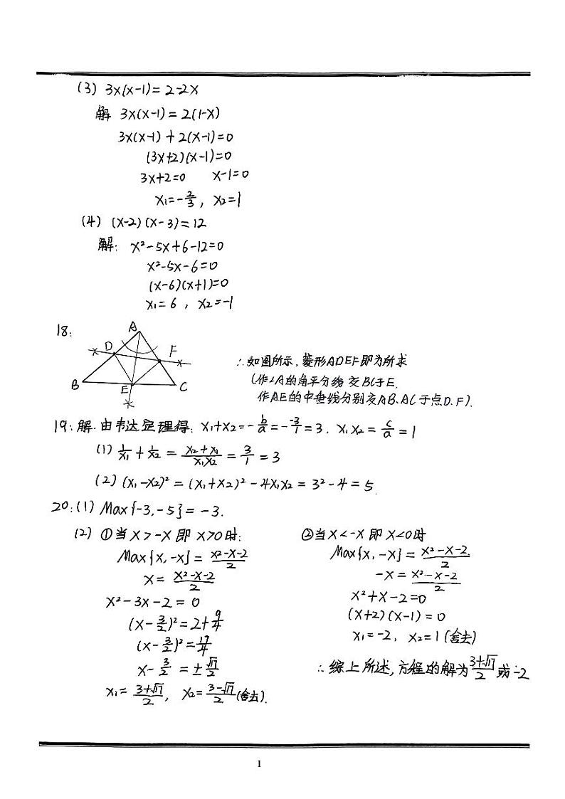
这是一份山东省青岛市第六十一中学2024--2025学年九年级上学期9月考数学试卷,文件包含2024-2025年山东青岛61中初三数学第一次月考试卷答案pdf、山东省青岛市第六十一中学20242025学年九年级上学期9月考数学试卷pdf等2份试卷配套教学资源,其中试卷共8页, 欢迎下载使用。
相关试卷
+山东省青岛市城阳实验中学2022-2023学年九年级下学期第一次月考数学试卷+:
这是一份+山东省青岛市城阳实验中学2022-2023学年九年级下学期第一次月考数学试卷+,共25页。试卷主要包含了选择题,填空题,计算题,解答题等内容,欢迎下载使用。
山东省青岛市黄岛区育才中学2023-2024学年10月九年级上学期月考数学试卷:
这是一份山东省青岛市黄岛区育才中学2023-2024学年10月九年级上学期月考数学试卷,共4页。
山东省青岛市青岛第六十二中学2023-2024学年九年级上学期10月月考数学试题(无答案):
这是一份山东省青岛市青岛第六十二中学2023-2024学年九年级上学期10月月考数学试题(无答案),共5页。试卷主要包含了选择题,填空题,作图题,解答题等内容,欢迎下载使用。