资料中包含下列文件,点击文件名可预览资料内容
还剩2页未读,
继续阅读
湖南省长沙市同升湖高级中学2024-2025学年高三上学期第二次月考数学试题
展开
这是一份湖南省长沙市同升湖高级中学2024-2025学年高三上学期第二次月考数学试题,文件包含高三上学期第二次月考数学试卷pdf、长沙市同升湖高级中学2025届高三第二次月考数学答题卡pdf、高三上学期第二次月考数学试卷答案pdf等3份试卷配套教学资源,其中试卷共22页, 欢迎下载使用。
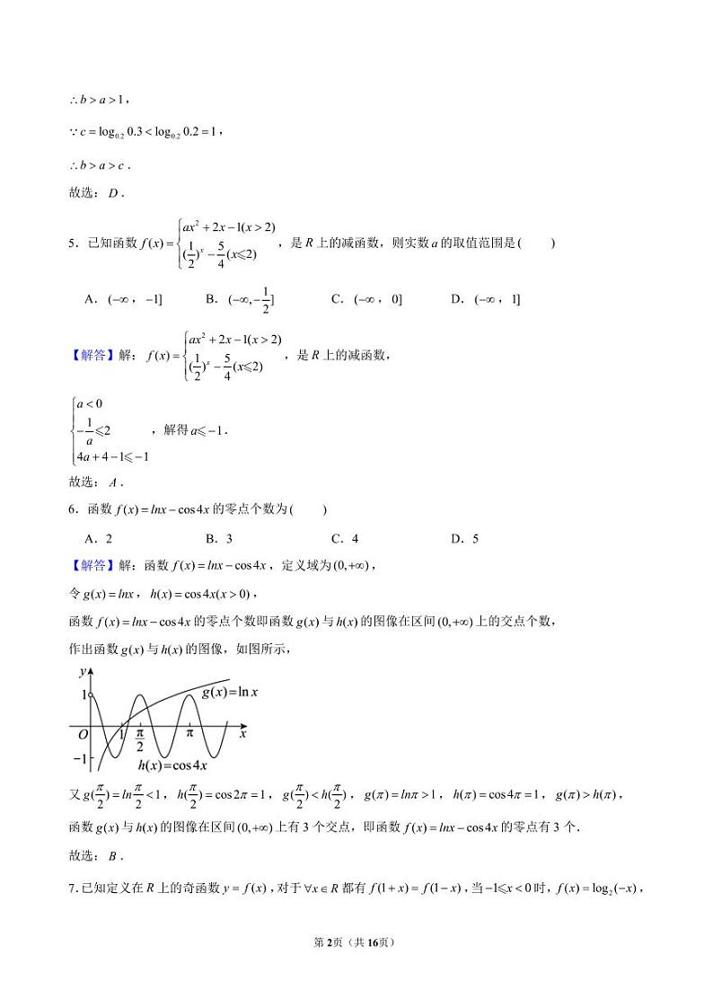
相关试卷
西藏林芝市第二高级中学2024-2025学年高三上学期第二次月考数学试题:
这是一份西藏林芝市第二高级中学2024-2025学年高三上学期第二次月考数学试题,文件包含高三数学第二月考答案docx、数学高三第二次月考试卷docx、2024-2025学年第一学期第二次月考高三数学答题卡pdf等3份试卷配套教学资源,其中试卷共11页, 欢迎下载使用。
湖南省长沙市雅礼中学2024-2025学年高三上学期月考试卷(一)数学试题:
这是一份湖南省长沙市雅礼中学2024-2025学年高三上学期月考试卷(一)数学试题,共11页。
湖南省长沙市望城区长郡斑马湖中学2024-2025学年高三上学期开学考试数学试题(解析版):
这是一份湖南省长沙市望城区长郡斑马湖中学2024-2025学年高三上学期开学考试数学试题(解析版),共16页。

