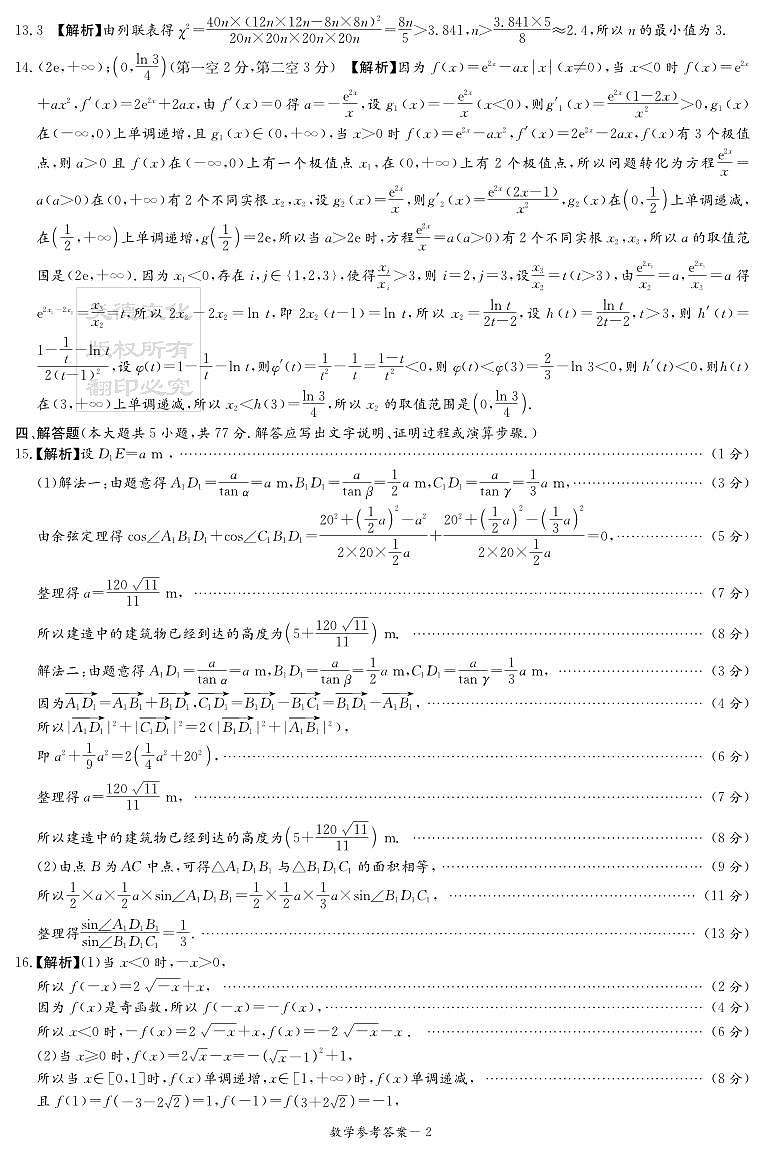
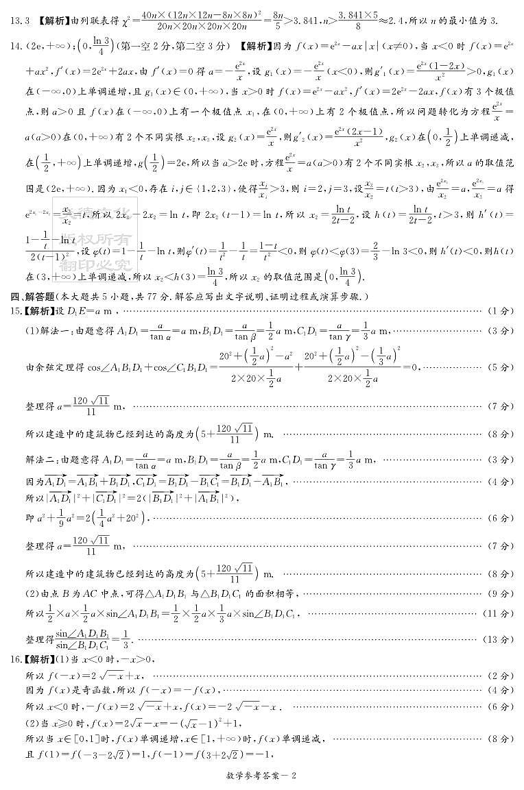
资料中包含下列文件,点击文件名可预览资料内容




还剩2页未读,
继续阅读
2024年炎德·英才·名校联考联合体 2025 届高三第二次联考数学试卷及参考答案
展开
这是一份2024年炎德·英才·名校联考联合体 2025 届高三第二次联考数学试卷及参考答案,文件包含2024年炎德·英才·名校联考联合体2025届高三第二次联考数学试卷pdf、2024年炎德·英才·名校联考联合体2025届高三第二次联考数学参考答案pdf等2份试卷配套教学资源,其中试卷共8页, 欢迎下载使用。
相关试卷
2023炎德英才名校联合体高三第二次联考数学试卷及参考答案:
这是一份2023炎德英才名校联合体高三第二次联考数学试卷及参考答案,文件包含数学演练卷联考二1pdf、数学答案联考二3pdf等2份试卷配套教学资源,其中试卷共11页, 欢迎下载使用。
炎德英才名校联合体高三2024届高三第二次联考数学试卷及参考答案:
这是一份炎德英才名校联合体高三2024届高三第二次联考数学试卷及参考答案,文件包含炎德英才名校联合体高三2024届高三第二次联考数学试卷pdf、炎德英才名校联合体高三2024届高三第二次联考数学参考答案pdf等2份试卷配套教学资源,其中试卷共11页, 欢迎下载使用。
2023届炎德·英才·名校联考联合体高三11月联考数学试卷及参考答案:
这是一份2023届炎德·英才·名校联考联合体高三11月联考数学试卷及参考答案,文件包含湖南省炎德英才11月联考2023届高三数学试卷pdf、湖南省炎德英才11月联考2023届高三数学答案pdf等2份试卷配套教学资源,其中试卷共14页, 欢迎下载使用。