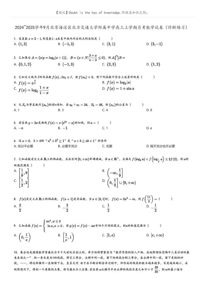
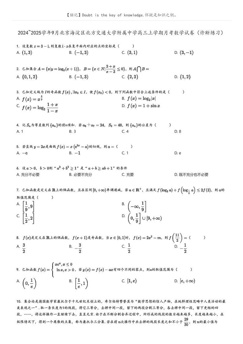
资料中包含下列文件,点击文件名可预览资料内容




还剩7页未读,
继续阅读
2024_2025学年9月北京海淀区北方交通大学附属中学高三上学期月考数学试卷(诊断练习)(原题版+解析版)
展开
这是一份2024_2025学年9月北京海淀区北方交通大学附属中学高三上学期月考数学试卷(诊断练习)(原题版+解析版),文件包含2024_2025学年9月北京海淀区北方交通大学附属中学高三上学期月考数学试卷诊断练习解析版pdf、2024_2025学年9月北京海淀区北方交通大学附属中学高三上学期月考数学试卷诊断练习原题版pdf等2份试卷配套教学资源,其中试卷共13页, 欢迎下载使用。
相关试卷
2024_2025学年北京西城区北京师范大学第二附属中学高三上学期月考数学试卷(统练2)(原题版+解析版):
这是一份2024_2025学年北京西城区北京师范大学第二附属中学高三上学期月考数学试卷(统练2)(原题版+解析版),文件包含2024_2025学年北京西城区北京师范大学第二附属中学高三上学期月考数学试卷统练2解析版pdf、2024_2025学年北京西城区北京师范大学第二附属中学高三上学期月考数学试卷统练2原题版pdf等2份试卷配套教学资源,其中试卷共8页, 欢迎下载使用。
北京交通大学附属中学2023-2024学年高三下学期3月开学诊断练习数学试卷(Word版附解析):
这是一份北京交通大学附属中学2023-2024学年高三下学期3月开学诊断练习数学试卷(Word版附解析),文件包含北京市海淀区北京交大附中2024届高三下学期3月开学诊断练习数学试题Word版含解析docx、北京市海淀区北京交大附中2024届高三下学期3月开学诊断练习数学试题Word版无答案docx等2份试卷配套教学资源,其中试卷共32页, 欢迎下载使用。
北京交通大学附属中学2023-2024学年高三上学期12月诊断练习数学试题:
这是一份北京交通大学附属中学2023-2024学年高三上学期12月诊断练习数学试题,共11页。试卷主要包含了已知集合,则,设,则,已知数列是等比数列,若,则等内容,欢迎下载使用。