还剩3页未读,
继续阅读
所属成套资源:2023—2024学年下学期高一年级期末考试+数学试卷
成套系列资料,整套一键下载
湖北省部分省级示范高中2023-2024学年高一下学期期末测试+数学试卷答案
展开
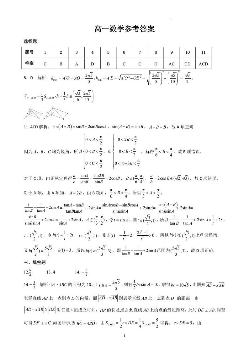
这是一份湖北省部分省级示范高中2023-2024学年高一下学期期末测试+数学试卷答案,共6页。
相关试卷
湖北省部分省级示范高中2023-2024学年高一下学期期末测试+数学试卷:
这是一份湖北省部分省级示范高中2023-2024学年高一下学期期末测试+数学试卷,共6页。
2024湖北省部分省级示范高中_高一下学期期末测试数学试卷含答案:
这是一份2024湖北省部分省级示范高中_高一下学期期末测试数学试卷含答案,共11页。试卷主要包含了选择题的作答,非选择题的作答,已知矩形,,,将沿BD折起到,下列命题中正确的是等内容,欢迎下载使用。
湖北省部分省级示范高中2023_2024学年高一下学期期末测试数学试卷(Word版附答案):
这是一份湖北省部分省级示范高中2023_2024学年高一下学期期末测试数学试卷(Word版附答案),共11页。试卷主要包含了选择题的作答,非选择题的作答,已知矩形,,,将沿BD折起到,下列命题中正确的是等内容,欢迎下载使用。

