资料中包含下列文件,点击文件名可预览资料内容
 
 
 
 
 
 
还剩42页未读,
继续阅读
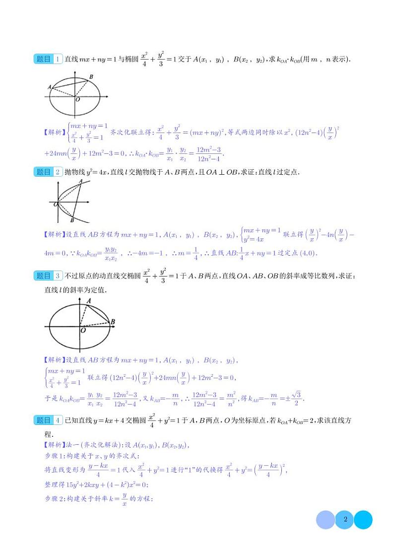
齐次化妙解圆锥曲线学案-高考数学二轮专题
展开
这是一份齐次化妙解圆锥曲线学案-高考数学二轮专题,文件包含齐次化妙解圆锥曲线解析版pdf、齐次化妙解圆锥曲线学生版pdf等2份学案配套教学资源,其中学案共68页, 欢迎下载使用。
相关学案
2023届高考数学二轮复习微专题20圆锥曲线的离心率问题学案:
这是一份2023届高考数学二轮复习微专题20圆锥曲线的离心率问题学案,共8页。
2023届高考数学二轮复习专题五第3讲圆锥曲线的综合问题学案:
这是一份2023届高考数学二轮复习专题五第3讲圆锥曲线的综合问题学案,共20页。学案主要包含了素养提升等内容,欢迎下载使用。
新高考数学二轮复习专题六第2讲圆锥曲线的方程与性质学案:
这是一份新高考数学二轮复习专题六第2讲圆锥曲线的方程与性质学案,共25页。
 
 
 
 
 
 
 


