[数学]广东省揭阳市两校2025届高三上学期8月联考试题(解析版)
展开
这是一份[数学]广东省揭阳市两校2025届高三上学期8月联考试题(解析版),共15页。试卷主要包含了单项选择题,选择题,填空题,解答题等内容,欢迎下载使用。
1. 设集合,,则( )
A. B.
C. D.
【答案】C
【解析】由,或,
知.
故选:C.
2. “”是“”的( )
A 充分不必要条件B. 必要不充分条件
C. 充分必要条件D. 既不充分也不必要条件
【答案】B
【解析】由得,解得,
由得,所以,解得,
所以“”是“”成立的必要不充分条件.
故选:B.
3. 已知函数的值域为R,那么实数a的取值范围是( )
A. B. C. D.
【答案】B
【解析】因为函数的值域为,
而的值域为R,所以函数的值域包含,
所以,解得,
故选:B.
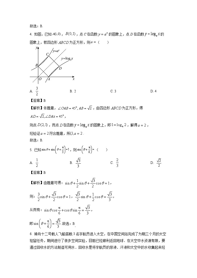
4. 如图,已知,,点C在函数的图象上,点D在函数的图象上,若四边形为正方形,则( )
A. B. 2C. 3D. 4
【答案】B
【解析】依题意,,由四边形为正方形,得,
则点,而点在函数的图象上,即,解得,
经验证符合题意,所以.
故选:B.
5. 已知,则( )
A. B. C. D.
【答案】B
【解析】由题意可得:,
则:,,
从而有:,
即.故选:B
6. 神舟十二号载人飞船搭载3名宇航员进入太空,在中国空间站完成了为期三个月的太空驻留任务,期间进行了很多空间实验,目前已经顺利返回地球.在太空中水资源有限,要通过回收水的方法制造可用水.回收水是将宇航员的尿液、汗液和太空中的水收集起来经过特殊的净水器处理成饮用水,循环使用.净化水的过程中,每增加一次过滤可减少水中杂质20%,要使水中杂质减少到原来的5%以下,则至少需要过滤的次数为( )(参考数据)
A. 10B. 12C. 14D. 16
【答案】C
【解析】设过滤的次数为,原来水中杂质为1,
则,即,
所以,
所以,
所以,
因为,
所以的最小值为14,则至少要过滤14次.
故选:C.
7. 设,分别是椭圆的左、右焦点,过的直线交椭圆于A,B两点,且,,则椭圆E的离心率为( )
A. B. C. D.
【答案】B
【解析】设,
因为,则,,
由椭圆的定义可得,,
因为,即,
在中,则,即,
解得,可得,
在△中,可得,整理得,
所以椭圆E的离心率为.
故选:B.
8. 已知数列满足,前n项和为,,则等于( )
A. B.
C. D.
【答案】D
【解析】数列中,,由,得,,
则有,
因此数列是以1为首项,2为公比的等比数列,数列是以2为首项,2为公比的等比数列,
所以.
故选:D.
二、选择题:本题共3小题,每小题6分,共18分.在每小题给出的选项中,有多项符合题目要求.全部选对的得6分,部分选对的得部分分,有选错的得0分.
9. 下列大小关系正确的是( )
A. B.
C. D.
【答案】ABD
【解析】作出和的图象,如图所示,由图象可得,当时,,
当时,,,,故A,B正确.
令,则,在上单调递减,所以,故C错误.
,所以,故D正确.
故选:ABD.
10. 已知函数,则( )
A. 的最小正周期为
B. 函数的图象不可能关于点对称
C. 当时,函数在上单调递增
D. 若函数在上存在零点,则实数a的取值范围是
【答案】BCD
【解析】对于A,,则当时,,A错误;
对于B,,
则函数的图象不关于点对称,B正确;
对于C,当时,,
设,当时,单调递增且,又函数
在上单调递增,因此函数在上单调递增,C正确;
对于D,由,设,则当时,,
又在上有解,即方程在上有解,
得在上有解,而在上单调递减,则,D正确.
故选:BCD.
11. 已知函数,若不等式对任意恒成立,则实数t的可能取值为( )
A. 1B. C. 3D. 4
【答案】CD
【解析】令,则,的定义域为,
,
所以,所以是奇函数,
不等式等价于
,
即,
当时单调递增,可得单调递增,单调递增,单调递减,
所以在(0,+∞)单调递增,
又因为为奇函数且定义域为,
所以在上单调递增,所以,即,令,只需,
令,则,,
所以,对称轴为,所以时,
,
所以,可得实数的可能取值为3或4.
故选:CD.
三、填空题:本题共3小题,每小题5分,共15分.
12. 定义运算则不等式对任意恒成立,则实数的取值范围是________.
【答案】
【解析】由题意可得对任意恒成立,
若,则,符合题意,即成立;
若,则,解得;
综上所述:实数的取值范围是.
13. 已知过原点O的直线与交于A,B两点(A点在B点左侧),过A作x轴的垂线与函数交于C点,过B点作x轴的垂线与函数交于D点,当平行于x轴时,点A的横坐标为__________.
【答案】2
【解析】设,则,
而,由平行于x轴,得,解得,
于,整理,即,解得,
所以点A的横坐标为2.
14. 已知是定义在R上的单调函数,对x∈R恒成立,则的值为_______.
【答案】9
【解析】因为函数y=fx是定义在R上的单调函数,且对x∈R,恒成立,
所以存在常数,使得,
则,即,
又因为,则,
注意到在上单调递增,且,可得,
所以,即.
四、解答题:本题共5小题,共77分.解答应写出文字说明、证明过程或演算步骤.
15. 在中,角A,B,C的对边分别是a,b,c,已知,.
(1)求角B的大小;
(2)若的面积,设D是BC的中点,求的值.
解:(1)∵,
∴由正弦定理得,,
即,
即,
即,
即,
,,,
∵B∈0,π,;
(2),
.
在中,由正弦定理得,,
在中,由正弦定理得,,
,,
∴.
16. 如图,在四棱台中,底面是菱形,,,平面.
(1)证明:BDCC1;
(2)棱上是否存在一点,使得二面角的余弦值为若存在,求线段的长;若不存在,请说明理由.
(1)证明:如图所示,连接,
因为为棱台,所以四点共面,
又因为四边形为菱形,所以,
因为平面,平面,所以,
又因为且平面,所以平面,
因为平面,所以.
(2)解:取中点,连接,
因为底面是菱形,且,所以是正三角形,
所以,即,
由于平面,以为原点,分别以为轴、轴和轴,建立如图所示的空间直角坐标系,
则,
假设点存在,设点的坐标为,其中,
可得,
设平面的法向量,则,
取,可得,所以.
又由平面的法向量为,
所以,解得,
由于二面角为锐角,则点在线段上,
所以,即,
故上存在点,当时,二面角的余弦值为.
17. 设函数,满足:①;②对任意,恒成立.
(1)求函数的解析式.
(2)设矩形的一边在轴上,顶点,在函数的图象上.设矩形的面积为,求证:.
(1)解:因为,
由,得,则;
由,得,恒成立,
即恒成立,所以,所以,
所以;
(2)证明:因为,
令,得;令,得;
所以在单调递增,单调递减.
不妨设,,由知,
那么,;
故,
因为,所以.
18. 已知函数是奇函数.(e是自然对数的底)
(1)求实数k的值;
(2)若时,关于x的不等式恒成立,求实数m的取值范围;
(3)设,对任意实数,若以a,b,c为长度的线段可以构成三角形时,均有以,,为长度的线段也能构成三角形,求实数n的最大值.
解:(1)因为是奇函数,且定义域为R,所以,
即,解得.经检验,此时是奇函数
所以.
(2)由(1)知,
由时,恒成立,得,
因为,所以,
设,
因为,当且仅当时,等号成立,又,所以,
故,
所以.
(3)由题意得:,
不妨设,
以a,b,c为长度的线段可以构成三角形,即,且,
以,,为长度的线段也能构成三角形,则恒成立,得恒成立,
因为,仅当a=b时前一个等号成立,
所以,即,于是n的最大值为.
19. 已知函数.
(1)讨论的单调性;
(2)若不等式恒成立,求的取值范围;
(3)当时,试判断函数的零点个数,并给出证明.,解:(1)因为,
所以,
当时,恒成立,所以;
当时,令,
解得(舍去负根),
令,得;令,得.
综上所述,
当时,在上单调递减;
当时,在上单调递减,在上单调递增.
(2)由恒成立,得在上恒成立,
所以在上恒成立.
令,
则.
令,
易知在上单调递减.
又,
所以当时,,
当时,,
所以在上单调递增,在上单调递减,
所以在处取得极大值,也是最大值,
即,
所以,即的取值范围为.
(3)当时,,
则,
令,
则,
当时,,所以在上单调递减.
又,
所以在上存在唯一的零点.
设在上的零点为,
可得当时,,单调递增;
当时,单调递减,
解法一:,
因为,所以,
故.又,所以.
又,
所以在上有一个零点.
又,
所以在上有一个零点.
当时,,
所以在上没有零点.
当时,
令,
则,
所以在上单调递减,
所以,所以,
所以,
而,所以,
故在上没有零点.
综上所述,在定义域上有且仅有2个零点.
解法二:因为,,
所以在上有一个零点.
又,
所以在上有一个零点,
当时,,
易证,
所以,
从而在上恒成立,
故在上没有零点.
当时,,
设,则,
所以在上单调递减.
又,则在上恒成立,
所以在上恒成立,
故在上没有零点.
综上所述,在定义域上有且仅有2个零点.
相关试卷
这是一份广东省六校2024届高三上学期第三次联考数学试题(Word版附解析),共21页。试卷主要包含了选择题,填空题,解答题等内容,欢迎下载使用。
这是一份2024届广东省四校高三上学期10月联考(二)数学试题含解析,共19页。试卷主要包含了单选题,多选题,填空题,解答题等内容,欢迎下载使用。
这是一份2021届广东省深圳、汕头、潮州、揭阳名校高三上学期联考数学试题,共9页。

