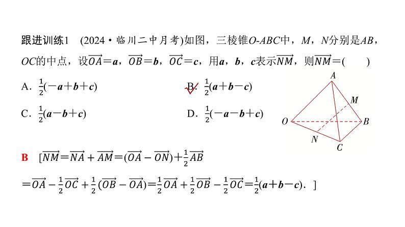
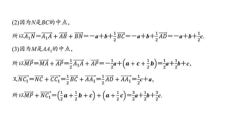
所属成套资源:全套高三数学一轮复习课时教学课件+学案
高三数学一轮复习第七章立体几何与空间向量第五课时空间向量的运算及其应用课件
展开
这是一份高三数学一轮复习第七章立体几何与空间向量第五课时空间向量的运算及其应用课件,共25页。PPT课件主要包含了xa+yb+zc,a=λb,xa+yb,互相垂直,法向量,n1·n2=0,n·m=0等内容,欢迎下载使用。
考点一 空间向量的线性运算空间向量基本定理:如果三个向量a,b,c不共面,那么对任意一个空间向量p,存在唯一的有序实数组(x,y,z),使得p=____________,{a,b,c}叫做空间的一个基底.
点拨 空间向量线性运算的基本步骤:第一步:选定空间不共面的三个向量作基向量;第二步:将已知向量和所求向量转化到三角形或平行四边形中;第三步:利用三角形法则或平行四边形法则把所求向量用已知基向量表示出来.
考点二 共线(共面)向量定理的应用1.共线向量定理:对任意两个空间向量a,b(b≠0),a∥b的充要条件是存在实数λ,使_______.2.共面向量定理:如果两个向量a,b不共线,那么向量p与向量a,b共面的充要条件是存在_____的有序实数对(x,y),使p=_______.
点拨 证明空间三点共线和四点共面的方法比较
2.空间向量数量积的运算律(1)结合律:(λa)·b=λ(a·b),λ∈R;(2)交换律:a·b=b·a;(3)分配律:(a+b)·c=a·c+b·c.提醒:(a·b)·c=a·(b·c)不一定成立.
3.空间向量的坐标表示及其应用设a=(a1,a2,a3),b=(b1,b2,b3).
a1b1+a2b2+a3b3
a1=λb1,a2=λb2,a3=λb3
a1b1+a2b2+a3b3=0
点拨 利用数量积解决问题的两条途径:一是根据向量间的相互转化计算;二是利用坐标运算,可解决有关垂直、夹角、长度等问题.
考点四 利用向量证明平行与垂直1.直线的方向向量和平面的法向量(1)直线的方向向量:在直线l上取非零向量a,把与向量a____的非零向量称为直线l的方向向量.(2)平面的法向量:直线l⊥α,取直线l的方向向量a,则向量a叫做平面α的______.
2.空间位置关系的向量表示
[典例4] (2024·日照实验中学月考)如图,在四棱锥P-ABCD中,PA⊥平面ABCD,AD⊥AB,AB∥DC,AD=DC=AP=2,AB=1,点E为棱PC的中点.证明:(1)BE⊥DC;(2)BE∥平面PAD;(3)平面PCD⊥平面PAD.
点拨 证明平行与垂直,一是直线的方向向量与平面的法向量的求解要准确,二是位置关系与向量关系的转化要准确.
跟进训练4 正方体ABCD-A1B1C1D1中,M,N分别是C1C,B1C1的中点.求证:MN∥平面A1BD.
相关课件
这是一份2025版高考数学全程一轮复习第七章立体几何与空间向量第五节空间向量及其应用课件,共49页。PPT课件主要包含了课前自主预习案,课堂互动探究案,a=λb,p=xa+yb,p=xa+yb+zc,∠AOB,答案C,答案-4,答案B,答案A等内容,欢迎下载使用。
这是一份新高考数学一轮复习专题七立体几何与空间向量7-4空间角与距离、空间向量及其应用课件,共37页。
这是一份新教材(广西专版)高考数学一轮复习第八章立体几何与空间向量第五节空间向量及其运算课件,共48页。PPT课件主要包含了内容索引,强基础增分策略,增素能精准突破,平行或重合,∠AOB,答案BCD,答案B,典例突破,答案A,答案1B等内容,欢迎下载使用。

