资料中包含下列文件,点击文件名可预览资料内容






还剩55页未读,
继续阅读
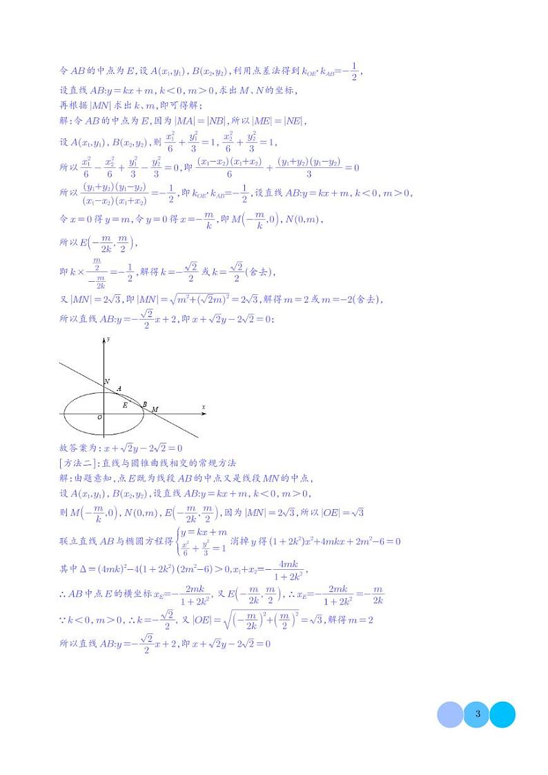
2025届新高考数学专题复习-椭圆与双曲线12个常考二级结论与模型
展开
这是一份2025届新高考数学专题复习-椭圆与双曲线12个常考二级结论与模型,文件包含椭圆与双曲线12个常考二级结论与模型解析版pdf、椭圆与双曲线12个常考二级结论与模型学生版pdf等2份试卷配套教学资源,其中试卷共81页, 欢迎下载使用。
相关试卷
2024届新高考数学专题复习-常考二级结论及其应用:
这是一份2024届新高考数学专题复习-常考二级结论及其应用,文件包含《常考二级结论及其应用》理科版含答案pdf、《常考二级结论及其应用》文科版含答案pdf等2份试卷配套教学资源,其中试卷共60页, 欢迎下载使用。
常考二级结论及其应用(含答案)-高考数学专题:
这是一份常考二级结论及其应用(含答案)-高考数学专题,共31页。
新高考数学二轮复习 专题突破 专题6 微重点14 椭圆、双曲线的二级结论的应用(含解析):
这是一份新高考数学二轮复习 专题突破 专题6 微重点14 椭圆、双曲线的二级结论的应用(含解析),共12页。