







还剩18页未读,
继续阅读
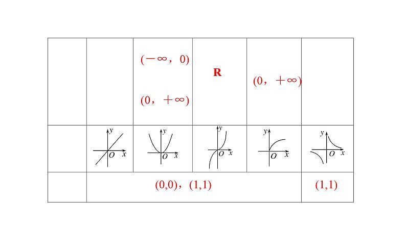
2025年高考数学一轮复习-2.4.2-简单幂函数的图象和性质【课件】
展开
这是一份2025年高考数学一轮复习-2.4.2-简单幂函数的图象和性质【课件】,共26页。
2.4.2简单幂函数的图象和性质
相关课件
必修 第一册4.2 简单幂函数的图像和性质教学演示ppt课件:
这是一份必修 第一册4.2 简单幂函数的图像和性质教学演示ppt课件,共52页。PPT课件主要包含了情境导学·探新知,NO1,合作探究·释疑难,NO2,数学阅读·拓视野,NO3,当堂达标·夯基础,NO4,点击右图进入等内容,欢迎下载使用。
北师大版 (2019)必修 第一册4.2 简单幂函数的图像和性质评课ppt课件:
这是一份北师大版 (2019)必修 第一册4.2 简单幂函数的图像和性质评课ppt课件,文件包含242pptx、242doc等2份课件配套教学资源,其中PPT共48页, 欢迎下载使用。
简单幂函数的图像和性质PPT课件免费下载:
北师大版 (2019)高中数学必修 第一册课文《简单幂函数的图像和性质》,完整版PPT课件免费下载,优秀PPT背景图搭配,精美的免费ppt模板。轻松备课,欢迎免费下载使用。