精品解析:贵州省贵阳市2024-2025学年高三上学期八月摸底考试数学试题
展开数学
2024年8月
本试卷分第I卷(选择题)和第Ⅱ卷(非选择题)两部分,满分150分考试时间为120分钟.
注意事项:
1.答卷前,考生务必将姓名、报名号用钢笔填写在答题卡相应位置上.
2.回答第I卷时,选出每小题答案后,用铅笔将答题卡上对应题目的答案标号涂黑,如需改动,用橡皮擦干净后,再选涂其它答案标号写在本试卷上无效.
3.回答第Ⅱ卷时,将答案写在答题卡上,写在本试卷上无效.
4.请保持答题卡平整,不能折叠考试结束后,监考老师将试题卷、答题卡一并收回.
第I卷(选择题共58分)
一、选择题:本题共8小题,每小题5分,共40分.在每小题给出的四个选项中,只有一项是符合题目要求的.
1 已知集合,则( )
A. B.
C D.
2. 设为等差数列的前项和,已知,则的值为( )
A. 64B. 14C. 12D. 3
3. 平均数、中位数和众数都是刻画一组数据的集中趋势的信息,它们的大小关系和数据分布的形态有关在下图分布形态中,a,b,c分别对应这组数据的平均数、中位数和众数,则下列关系正确的是( )
A. B.
C. D.
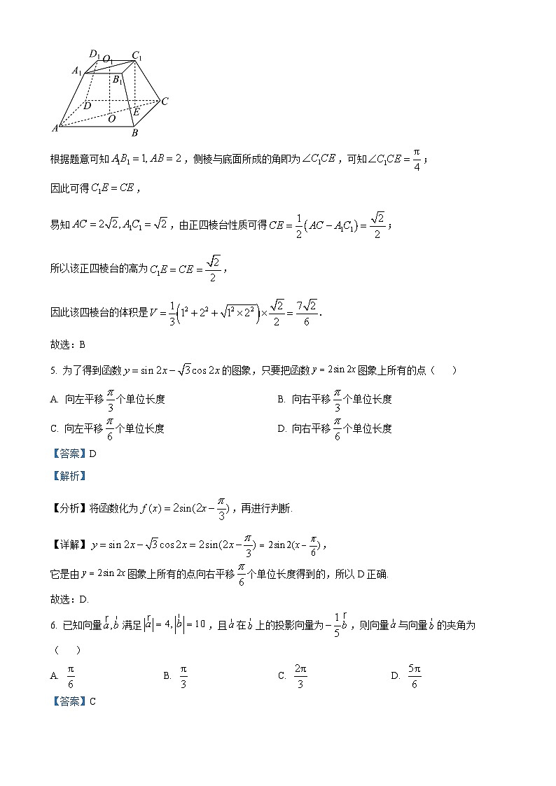
4. 用平行于底面的平面截正四棱锥,截得几何体为正四棱台.己知正四棱台的上、下底面边长分别为1和2,侧棱与底面所成的角为,则该四棱台的体积是( )
A. B. C. D.
5. 为了得到函数的图象,只要把函数图象上所有的点( )
A. 向左平移个单位长度B. 向右平移个单位长度
C. 向左平移个单位长度D. 向右平移个单位长度
6. 已知向量满足,且在上的投影向量为,则向量与向量的夹角为( )
A. B. C. D.
7. 的展开式中的系数是( )
A 5B. 10C. 20D. 60
8. 关于函数,下列说法正确的是( )
①曲线在点处的切线方程为;
②图象关于原点对称;
③若有三个不同零点,则实数的范围是;
④上单调递减.
A. ①④B. ②④C. ①②③D. ①③④
二、多项选择题:本题共3个小题,每小题6分,共18分.在每小题给出的选项中,有多项符合题目要求.全部选对的得6分,部分选对的得部分分,有选错的得0分.
9. 在同一平面直角坐标系中,直线与圆的位置可能为( )
A. B.
C. D.
10. 如图,在长方体中,,点为线段上动点(包括端点),则下列结论正确的是( )
A. 当点为中点时,平面
B. 当点为中点时,直线与直线所角的余弦值为
C. 当点在线段上运动时,三棱锥的体积是定值
D. 点到直线距离的最小值为
11. 定义域为R的函数满足:,当时,,则下列结论正确的有( )
A.
B. 的图象关于点对称
C.
D. 在0,+∞上单调递增
第II卷(非选择题共92分)
三、填空题:本题共3小题,每小题5分,共15分.
12. 已知是复数,若,则______.
13. 已知角的始边为轴的非负半轴,终边经过点,将角的终边绕着原点逆时针旋转得到角,则__________.
14. 已知双曲线的右焦点为,过的直线与交于点,且满足的直线佮有三条,则双曲线的离心率的取值范围为______.
四、解答题:共5个小题,满分77分.解答应写出相应的文字说明,证明过程或演算步骤.
15. 的内角对边分别为,且.
(1)求角的大小:
(2)若,且,求的面积.
16. 如图,单位圆上的一质点在随机外力的作用下,每一次在圆弧上等可能地逆时针或顺时针移动,设移动次回到起始位置的概率为.
(1)求及的值:
(2)求数列的前项和.
17. 如图,四棱锥中,底面为等腰梯形,平面平面,.
(1)为上一点,平面,求的值:
(2)平面与平面的交线为,求与平面所成角的正弦值.
18. 已知点,点在以为直径的圆上运动,轴,垂足为,点满足,点的轨迹为.
(1)求的方程:
(2)过点的直线交于点,设直线的斜率分别为、,证明为定值,并求出该定值.
19. 如图,在区间上,曲线y=fx与轴围成的阴影部分面积记为面积,若(为函数的导函数),则.设函数
(1)若,求的值;
(2)已知,点,过点的直线分别交于两点(在第一象限),设四边形的面积为,写出的表达式(用表示)并证明::
(3)函数有两个不同的零点,比较与的大小,并说明理由.
贵州省贵阳市2025届高三上学期八月摸底考试数学试卷(含答案): 这是一份贵州省贵阳市2025届高三上学期八月摸底考试数学试卷(含答案),共16页。试卷主要包含了选择题,多项选择题,填空题,解答题等内容,欢迎下载使用。
2025届贵州省铜仁市高三上学期八月摸底考试数学试题: 这是一份2025届贵州省铜仁市高三上学期八月摸底考试数学试题,共16页。试卷主要包含了单选题,多选题,填空题,解答题等内容,欢迎下载使用。
2022届贵州省贵阳市高三上学期8月摸底考试文科数学试题 PDF版: 这是一份2022届贵州省贵阳市高三上学期8月摸底考试文科数学试题 PDF版,文件包含贵阳市2022届高三年级摸底考试试卷文科数学试题pdf、2022文科数学pdf等2份试卷配套教学资源,其中试卷共14页, 欢迎下载使用。

