





所属成套资源:新高考数学一轮复习题型归纳讲义专题 (2份打包,原卷版+解析版)
新高考数学一轮复习题型归纳讲义专题08 解三角形(2份打包,原卷版+解析版)
展开
这是一份新高考数学一轮复习题型归纳讲义专题08 解三角形(2份打包,原卷版+解析版),文件包含新高考数学一轮复习题型归纳讲义专题08解三角形原卷版doc、新高考数学一轮复习题型归纳讲义专题08解三角形解析版doc等2份试卷配套教学资源,其中试卷共43页, 欢迎下载使用。
1.正弦定理
eq \f(a,sin A)=eq \f(b,sin B)=eq \f(c,sin C)=2R(R为△ABC外接圆的半径).
2.余弦定理
a2=b2+c2-2bccs A;
b2=c2+a2-2cacs B;
c2=a2+b2-2abcs C.
3.三角形的面积公式
(1)S△ABC=eq \f(1,2)aha(ha为边a上的高);
(2)S△ABC=eq \f(1,2)absin C=eq \f(1,2)bcsin A=eq \f(1,2)acsin B;
(3)S=eq \f(1,2)r(a+b+c)(r为三角形的内切圆半径).
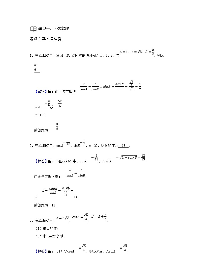
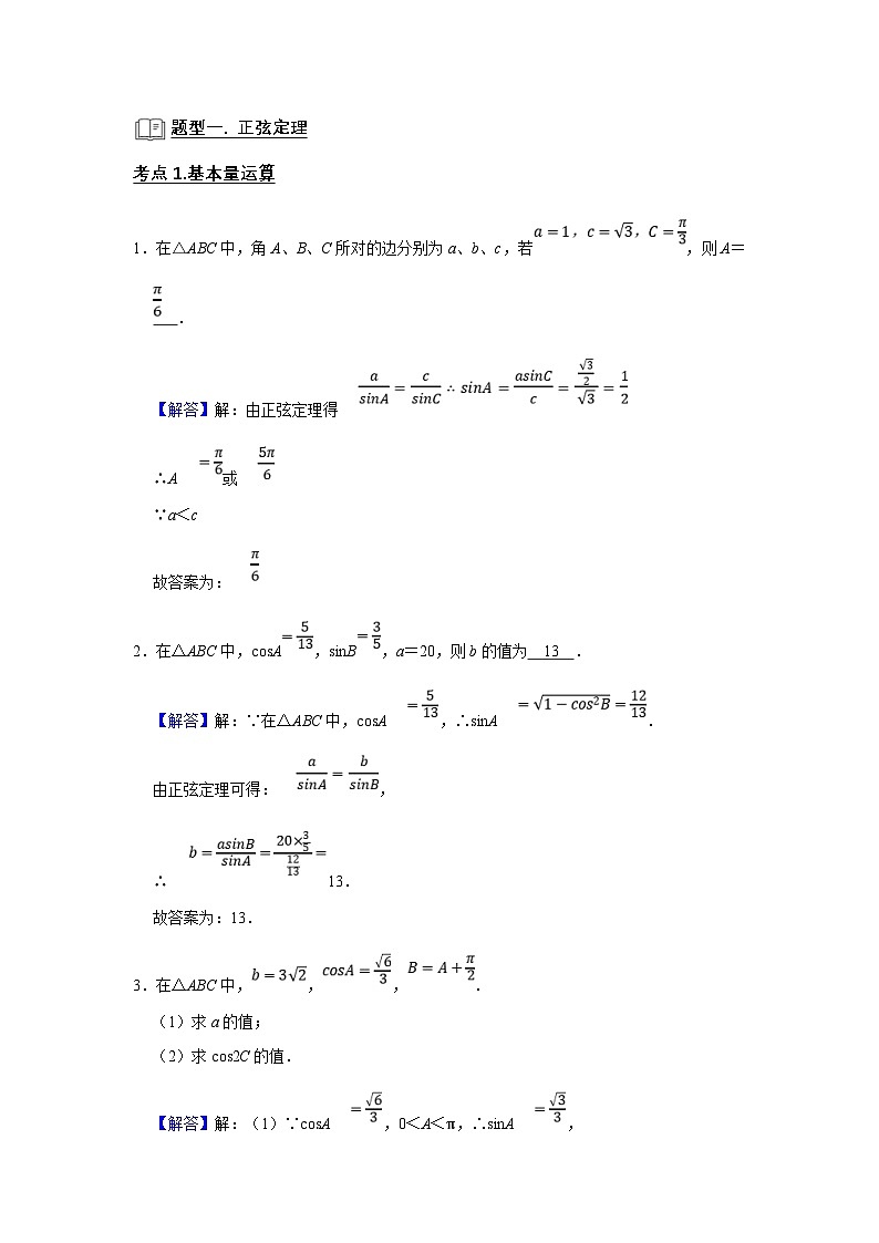
题型一. 正弦定理
考点1.基本量运算
1.在△ABC中,角A、B、C所对的边分别为a、b、c,若,则A= .
2.在△ABC中,csA,sinB,a=20,则b的值为 .
3.在△ABC中,,,.
(1)求a的值;
(2)求cs2C的值.
考点2.边角互化
1.△ABC的内角A,B,C的对边分别为a,b,c,已知,则A的大小为 .
2.已知△ABC的三个内角A,B,C的对边边长分别为a,b,c,若2a=3b,A=2B,则csB=( )
A.B.C.D.0
3.在△ABC中,内角A,B,C所对的边分别为a,b,c,已知bsinAacsB=2bc,则A=( )
A.B.C.D.
考点3.内角和应用
1.△ABC的内角A,B,C的对边分别为a,b,c,已知sinB+sinA(sinC﹣csC)=0,a=2,c,则C=( )
A.B.C.D.
2.已知a、b、c分别为△ABC的三内角A、B、C的对边,,则A=( )
A.B.C.D.
3.△ABC的内角A,B,C的对边分别为a,b.c,已知cs(A﹣C)+csB=1,(2csB﹣1)a+2bcsA=0,则C= .
题型二. 余弦定理
1.△ABC中,角A,B,C的对边分别是a,b,c,已知b=c,a2=2b2(1﹣sinA),则A=( )
A.B.C.D.
2.在△ABC中,内角A、B、C的对边长分别为a、b、c,已知,且a2﹣c2=2b,则b=( )
A.4B.3C.2D.1
3.在△ABC中,角A,B,C所对的边长分别为a,b,c,若C=120°,,则( )
A.a=b
B.a<b
C.a>b
D.a与b的大小关系不能确定
4.在△ABC中,内角A、B、C的对边长分别为a、b、c,已知sinAcsC=3csAsinC且a2﹣c2=2b,则b=
5.在△ABC中,a,b,c分别是角A,B,C的对边,且cs2,则△ABC是( )
A.直角三角形
B.等腰三角形或直角三角形
C.正三角形
D.等腰直角三角形
题型三.高、中点、角平分线问题
1.在△ABC中,B,BC边上的高等于BC,则csA等于( )
A.B.C.D.
2.已知在△ABC中,角A,B,C所对的边分别为a,b,c.若∠ABC,b,c=2,D为BC的中点.
(Ⅰ)求cs∠BAC的值;
(Ⅱ)求AD的值.
3.已知AD是△ABC的内角A的平分线,AB=3,AC=5,∠BAC=120°,则AD长为 .
题型四. 周长、面积问题
1.△ABC内角A、B、C的对边分别为a、b、c,若△ABC面积为,b=3,B.则△ABC是( )
A.等边三角形
B.直角三角形
C.等腰三角形
D.等腰三角形或直角三角形
2.(2014•新课标Ⅱ)钝角三角形ABC的面积是,AB=1,BC,则AC=( )
A.5B.C.2D.1
3.(2018•新课标Ⅰ)△ABC的内角A,B,C的对边分别为a,b,c.已知bsinC+csinB=4asinBsinC,b2+c2﹣a2=8,则△ABC的面积为 .
4.(2016•新课标Ⅰ)△ABC的内角A,B,C的对边分别为a,b,c,已知2csC(acsB+bcsA)=c.
(Ⅰ)求C;
(Ⅱ)若c,△ABC的面积为,求△ABC的周长.
5.(2017•新课标Ⅱ)△ABC的内角A,B,C的对边分别为a,b,c,已知sin(A+C)=8sin2.
(1)求csB;
(2)若a+c=6,△ABC的面积为2,求b.
题型五. 最值、取值范围问题
考点1.最值问题
1.(2014•新课标Ⅰ)已知a,b,c分别为△ABC的三个内角A,B,C的对边,a=2且(2+b)(sinA﹣sinB)=(c﹣b)sinC,则△ABC面积的最大值为 .
2.在△ABC中,角A,B,C的对边分别为a,b,c,且2ccsB=2a+b,若△ABC的面积为Sc,则ab的最小值为( )
A.56B.48C.36D.28
3. 在△ABC中,角A,B,C的对边分别为a,b,c,若,则csC的最小值为 .
4.(2011•新课标)在△ABC中,B=60°,AC,则AB+2BC的最大值为 .
5.设△ABC的内角A,B,C所对的边长分别为a,b,c,且acsB﹣bcsAc,则tan(A﹣B)的最大值为( )
A.B.C.D.
考点2.取值范围问题
1.已知a,b,c是△ABC中角A,B,C的对边,a=4,b∈(4,6),sin2A=sinC,则c的取值范围为 .
2.在锐角三角形ABC中,角A,B,C分别对应边a,b,c,若A=2B,则的取值范围是 .
3.已知a,b,c分别为锐角△ABC的三个内角A,B,C的对边,若a=2,且sin2B=sinA(sinA+sinC),则△ABC的周长的取值范围为 .
4.在锐角三角形ABC中,角A,B,C的对边分别为a,b,c,且满足b2﹣a2=ac,则的取值范围为 .
5.已知△ABC的周长为6,且cs2B+2sinAsinC=1,则的取值范围是 .
题型六. 解三角形解答题
1.已知△ABC的内角A,B,C所对的边分别为a,b,c,A,___且b,
请从①b2ac=a2+c2,②acsB=bsinA,③sinB+csB这三个条件中任选一个补充在横线上,求出此时△ABC的面积.
2.已知△ABC的外接圆半径为R,a,b,c分别是角A,B,C的对边,b=2且bsinB﹣asinA=2R(sinB﹣sinC)sinC.
(1)求角A;
(2)若AD是BC边上的中线AD,求△ABC的面积.
3.在△ABC中,内角A,B,C所对的边分别为a,b,c,(3b﹣c)csA=acsC.
(1)求csA;
(2)若a,求△ABC的面积S的最大值.
4.已知△ABC中,角A,B,C的对边分别为a,b,c,满足sin2A+sin2B﹣sin2C.
(1)求角C的大小;
(2)若c=2,求的取值范围.
课后作业. 解三角形
1.下列命题中,正确的是( )
A.在△ABC中,A>B,则sinA>sinB
B.在锐角△ABC中,不等式sinA>csB恒成立
C.在△ABC中,若acsA=bcsB,则△ABC必是等腰直角三角形
D.在△ABC中,若B=60°,b2=ac,则△ABC必是等边三角形
2.△ABC中,a,b,c分别为内角A,B,C的对边,2asinA=(2b+c)sinB+(2c+b)sin C.且sinB+sinC=1,则△ABC是( )
A.等腰钝角三角形B.等腰直角三角形
C.钝角三角形D.直角三角形
3.△ABC的内角A,B,C的对边分别为a,b,c.已知asinA﹣bsinB=4csinC,csA,则( )
A.6B.5C.4D.3
4.△ABC的三个内角A,B,C所对的边分别为a,b,c,M在边AB上,且AMAB,b=2,CM,,则S△ABC=( )
A.B.C.2D.
5.在△ABC中,B=120°,AB,A的角平分线AD,则AC=( )
A.2B.C.D.
6.在△ABC中,角A,B,C所对的边分别为a,b,c,且acsC,bcsB,ccsA成等差数列,若a+c=4,则AC边上中线长的最小值 .
7.在△ABC中,角A,B,C的对边分别为a,b,c,且c.
(1)若a=2,求△ABC外接圆的半径;
(2)若b+c=10,S△ABC=4,求a的值.
8.已知△ABC的内角A,B,C的对边分别为a,b,c,(a﹣2b)csC+ccsA=0.
(1)求角C;
(2)若,求△ABC的周长的最大值.
9.△ABC中,角A、B、C所对的边分别为a,b,c且2sin21+cs2C
(Ⅰ)求角C的大小;
(Ⅱ)若c,求△ABC的面积S的取值范围.
相关试卷
这是一份新高考数学一轮复习题型归纳讲义专题02 集合(2份打包,原卷版+解析版),文件包含新高考数学一轮复习题型归纳讲义专题02集合原卷版doc、新高考数学一轮复习题型归纳讲义专题02集合解析版doc等2份试卷配套教学资源,其中试卷共14页, 欢迎下载使用。
这是一份新高考数学一轮复习题型归纳讲义专题01 复数(2份打包,原卷版+解析版),文件包含新高考数学一轮复习题型归纳讲义专题01复数原卷版doc、新高考数学一轮复习题型归纳讲义专题01复数解析版doc等2份试卷配套教学资源,其中试卷共15页, 欢迎下载使用。
这是一份高考数学一轮复习题型归纳讲义 专题08 解三角形 专项练习 (原卷版+解析版),文件包含专题08解三角形专项练习解析版docx、专题08解三角形专项练习原卷版docx等2份试卷配套教学资源,其中试卷共18页, 欢迎下载使用。