 
 
 
2023.9.1哈尔滨49中学九年级(上)开学测英语试卷及答案
展开2023.8.28哈尔滨17中学九年级(上)开学测英语试卷及答案: 这是一份2023.8.28哈尔滨17中学九年级(上)开学测英语试卷及答案,共12页。
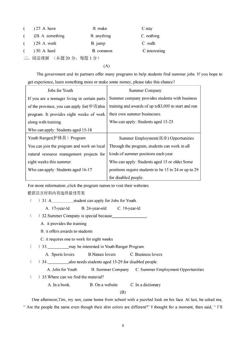
黑龙江省哈尔滨市第49中学校2023-2024学年下学期九年级英语2月开学测试题: 这是一份黑龙江省哈尔滨市第49中学校2023-2024学年下学期九年级英语2月开学测试题,共12页。试卷主要包含了单项选择,完形填空,阅读理解,语法填空,交际应用,任务性阅读,书面表达等内容,欢迎下载使用。
黑龙江省哈尔滨市第49中学校2023-2024学年下学期九年级英语2月开学测试题(1): 这是一份黑龙江省哈尔滨市第49中学校2023-2024学年下学期九年级英语2月开学测试题(1),共1页。试卷主要包含了sadness 62, T read the bks,UK 77等内容,欢迎下载使用。
 
 
 
 
 
 
 
 
 
 
 
 


