





所属成套资源:新高考数学一轮复习 函数专项重难点突破专题 (2份打包,原卷版+解析版)
新高考数学一轮复习 函数专项重难点突破专题05 分段函数(2份打包,原卷版+解析版)
展开
这是一份新高考数学一轮复习 函数专项重难点突破专题05 分段函数(2份打包,原卷版+解析版),文件包含新高考数学一轮复习函数专项重难点突破专题05分段函数原卷版doc、新高考数学一轮复习函数专项重难点突破专题05分段函数解析版doc等2份试卷配套教学资源,其中试卷共35页, 欢迎下载使用。
1.(2023·北京·统考高考真题)设 SKIPIF 1 < 0 ,函数 SKIPIF 1 < 0 ,给出下列四个结论:
① SKIPIF 1 < 0 在区间 SKIPIF 1 < 0 上单调递减;
②当 SKIPIF 1 < 0 时, SKIPIF 1 < 0 存在最大值;
③设 SKIPIF 1 < 0 ,则 SKIPIF 1 < 0 ;
④设 SKIPIF 1 < 0 .若 SKIPIF 1 < 0 存在最小值,则a的取值范围是 SKIPIF 1 < 0 .
其中所有正确结论的序号是____________.
【解析】依题意, SKIPIF 1 < 0 ,
当 SKIPIF 1 < 0 时, SKIPIF 1 < 0 ,易知其图像为一条端点取不到值的单调递增的射线;
当 SKIPIF 1 < 0 时, SKIPIF 1 < 0 ,易知其图像是,圆心为 SKIPIF 1 < 0 ,半径为 SKIPIF 1 < 0 的圆在 SKIPIF 1 < 0 轴上方的图像(即半圆);
当 SKIPIF 1 < 0 时, SKIPIF 1 < 0 ,易知其图像是一条端点取不到值的单调递减的曲线;
对于①,取 SKIPIF 1 < 0 ,则 SKIPIF 1 < 0 的图像如下,
显然,当 SKIPIF 1 < 0 ,即 SKIPIF 1 < 0 时, SKIPIF 1 < 0 在 SKIPIF 1 < 0 上单调递增,故①错误;
对于②,当 SKIPIF 1 < 0 时,
当 SKIPIF 1 < 0 时, SKIPIF 1 < 0 ;
当 SKIPIF 1 < 0 时, SKIPIF 1 < 0 显然取得最大值 SKIPIF 1 < 0 ;
当 SKIPIF 1 < 0 时, SKIPIF 1 < 0 ,
综上: SKIPIF 1 < 0 取得最大值 SKIPIF 1 < 0 ,故②正确;
对于③,结合图像,易知在 SKIPIF 1 < 0 , SKIPIF 1 < 0 且接近于 SKIPIF 1 < 0 处, SKIPIF 1 < 0 的距离最小,
当 SKIPIF 1 < 0 时, SKIPIF 1 < 0 ,当 SKIPIF 1 < 0 且接近于 SKIPIF 1 < 0 处, SKIPIF 1 < 0 ,
此时, SKIPIF 1 < 0 ,故③正确;
对于④,取 SKIPIF 1 < 0 ,则 SKIPIF 1 < 0 的图像如下,
因为 SKIPIF 1 < 0 ,
结合图像可知,要使 SKIPIF 1 < 0 取得最小值,则点 SKIPIF 1 < 0 在 SKIPIF 1 < 0 上,点 SKIPIF 1 < 0 在 SKIPIF 1 < 0 ,
同时 SKIPIF 1 < 0 的最小值为点 SKIPIF 1 < 0 到 SKIPIF 1 < 0 的距离减去半圆的半径 SKIPIF 1 < 0 ,
此时,因为 SKIPIF 1 < 0 的斜率为 SKIPIF 1 < 0 ,则 SKIPIF 1 < 0 ,故直线 SKIPIF 1 < 0 的方程为 SKIPIF 1 < 0 ,
联立 SKIPIF 1 < 0 ,解得 SKIPIF 1 < 0 ,则 SKIPIF 1 < 0 ,
显然 SKIPIF 1 < 0 在 SKIPIF 1 < 0 上,满足 SKIPIF 1 < 0 取得最小值,
即 SKIPIF 1 < 0 也满足 SKIPIF 1 < 0 存在最小值,故 SKIPIF 1 < 0 的取值范围不仅仅是 SKIPIF 1 < 0 ,故④错误.
故答案为:②③.
2.(2022·浙江·统考高考真题)已知函数 SKIPIF 1 < 0 则 SKIPIF 1 < 0 ________;若当 SKIPIF 1 < 0 时, SKIPIF 1 < 0 ,则 SKIPIF 1 < 0 的最大值是_________.
【解析】由已知 SKIPIF 1 < 0 , SKIPIF 1 < 0 ,所以 SKIPIF 1 < 0 SKIPIF 1 < 0 ,
当 SKIPIF 1 < 0 时,由 SKIPIF 1 < 0 可得 SKIPIF 1 < 0 ,所以 SKIPIF 1 < 0 ,
当 SKIPIF 1 < 0 时,由 SKIPIF 1 < 0 可得 SKIPIF 1 < 0 ,所以 SKIPIF 1 < 0 ,
SKIPIF 1 < 0 等价于 SKIPIF 1 < 0 ,所以 SKIPIF 1 < 0 ,所以 SKIPIF 1 < 0 的最大值为 SKIPIF 1 < 0 .
故答案为: SKIPIF 1 < 0 , SKIPIF 1 < 0 .
3.(2022·北京·统考高考真题)设函数 SKIPIF 1 < 0 若 SKIPIF 1 < 0 存在最小值,则a的一个取值为________;a的最大值为___________.
【解析】若 SKIPIF 1 < 0 时, SKIPIF 1 < 0 ,∴ SKIPIF 1 < 0 ;
若 SKIPIF 1 < 0 时,当 SKIPIF 1 < 0 时, SKIPIF 1 < 0 单调递增,当 SKIPIF 1 < 0 时, SKIPIF 1 < 0 ,故 SKIPIF 1 < 0 没有最小值,不符合题目要求;
若 SKIPIF 1 < 0 时,当 SKIPIF 1 < 0 时, SKIPIF 1 < 0 单调递减, SKIPIF 1 < 0 ,
当 SKIPIF 1 < 0 时, SKIPIF 1 < 0
∴ SKIPIF 1 < 0 或 SKIPIF 1 < 0 ,解得 SKIPIF 1 < 0 ,
综上可得 SKIPIF 1 < 0 ;故答案为:0(答案不唯一),1
4.(2021·浙江·统考高考真题)已知 SKIPIF 1 < 0 ,函数 SKIPIF 1 < 0 若 SKIPIF 1 < 0 ,则 SKIPIF 1 < 0 ___________.
【解析】 SKIPIF 1 < 0 ,故 SKIPIF 1 < 0 ,故答案为:2.
考点一 分段函数函数值 (解析式)
一、单选题
1.已知函数 SKIPIF 1 < 0 ,则 SKIPIF 1 < 0 ( )
A.5 B.3 C.2 D.1
【解析】因为 SKIPIF 1 < 0 ,所以 SKIPIF 1 < 0 ,所以 SKIPIF 1 < 0 .故选:B
2.已知函数 SKIPIF 1 < 0 ,则 SKIPIF 1 < 0 ( )
A. SKIPIF 1 < 0 B.1 C.-1 D.2
【解析】由条件可得 SKIPIF 1 < 0 ,则 SKIPIF 1 < 0 .故选:C.
3.已知函数 SKIPIF 1 < 0 ,则 SKIPIF 1 < 0 ( )
A.4 B.8 C.16 D.32
【解析】 SKIPIF 1 < 0 ,故选:C.
4.已知函数 SKIPIF 1 < 0 ,若 SKIPIF 1 < 0 ,则 SKIPIF 1 < 0 ( ).
A. SKIPIF 1 < 0 1 B. SKIPIF 1 < 0 2 C. SKIPIF 1 < 0 3 D. SKIPIF 1 < 0 4
【解析】由函数 SKIPIF 1 < 0 ,可作图如下:
由方程 SKIPIF 1 < 0 ,则 SKIPIF 1 < 0 ,即 SKIPIF 1 < 0 ,解得 SKIPIF 1 < 0 .
SKIPIF 1 < 0 .故选:B.
5.已知函数 SKIPIF 1 < 0 ,则 SKIPIF 1 < 0 的值为( )
A. SKIPIF 1 < 0 B. SKIPIF 1 < 0 C. SKIPIF 1 < 0 D. SKIPIF 1 < 0
【解析】当 SKIPIF 1 < 0 时,由 SKIPIF 1 < 0 ①,得 SKIPIF 1 < 0 ②,
①②联立,可得 SKIPIF 1 < 0 ,得 SKIPIF 1 < 0 ③
把①代入③可得 SKIPIF 1 < 0 ,即 SKIPIF 1 < 0 ,
故 SKIPIF 1 < 0 ,故选:C.
6.已知函数 SKIPIF 1 < 0 ,则 SKIPIF 1 < 0 ( )
A.4 B.5 C.6 D.7
【解析】由题意可得 SKIPIF 1 < 0 SKIPIF 1 < 0 SKIPIF 1 < 0 ,
故选:D.
7.已知函数 SKIPIF 1 < 0 ,则 SKIPIF 1 < 0 ( )
A.1 B.e C. SKIPIF 1 < 0 D. SKIPIF 1 < 0
【解析】因为 SKIPIF 1 < 0 ,所以 SKIPIF 1 < 0 ,因为 SKIPIF 1 < 0 ,
所以 SKIPIF 1 < 0 .故选:D
8.若函数 SKIPIF 1 < 0 ,则 SKIPIF 1 < 0 ( )
A. SKIPIF 1 < 0 B. SKIPIF 1 < 0 C. SKIPIF 1 < 0 D. SKIPIF 1 < 0
【解析】由于 SKIPIF 1 < 0 ,所以 SKIPIF 1 < 0 ,故 SKIPIF 1 < 0 ,
故选C.
二、多选题
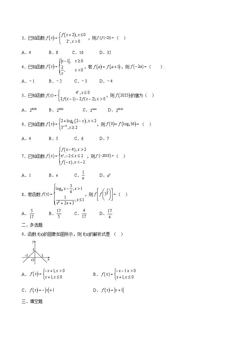
9.函数f(x)的图象如图所示,则f(x)的解析式是 ( )
A. SKIPIF 1 < 0 B. SKIPIF 1 < 0
C. SKIPIF 1 < 0 D. SKIPIF 1 < 0
【解析】结合图象可知,当x≤0时,设 SKIPIF 1 < 0 ,将 SKIPIF 1 < 0 代入函数,
得 SKIPIF 1 < 0 , SKIPIF 1 < 0 ,同理,当x>0时, SKIPIF 1 < 0 ,
所以 SKIPIF 1 < 0 ,即 SKIPIF 1 < 0 .故选:AC
三、填空题
10.已知函数 SKIPIF 1 < 0 ,则 SKIPIF 1 < 0 ___________.
【解析】由 SKIPIF 1 < 0 ,可得 SKIPIF 1 < 0 ,故 SKIPIF 1 < 0
11.已知函数 SKIPIF 1 < 0 ,则 SKIPIF 1 < 0 ___________.
【解析】因为 SKIPIF 1 < 0 ,且 SKIPIF 1 < 0 ,
则 SKIPIF 1 < 0 .
12.已知函数 SKIPIF 1 < 0 ,则 SKIPIF 1 < 0 _________.
【解析】 SKIPIF 1 < 0 ,
所以 SKIPIF 1 < 0
13.设函数 SKIPIF 1 < 0 ,且 SKIPIF 1 < 0 , SKIPIF 1 < 0 ,则 SKIPIF 1 < 0 的解析式为____________.
【解析】因为函数解析式为 SKIPIF 1 < 0 ,则 SKIPIF 1 < 0 ,则 SKIPIF 1 < 0 ,
由 SKIPIF 1 < 0 可得, SKIPIF 1 < 0 ,解得 SKIPIF 1 < 0 ,所以 SKIPIF 1 < 0 .
14.设 SKIPIF 1 < 0 定义在 SKIPIF 1 < 0 上且 SKIPIF 1 < 0 ,则 SKIPIF 1 < 0 ______.
【解析】因为 SKIPIF 1 < 0 ,
所以 SKIPIF 1 < 0 ,
SKIPIF 1 < 0 ,同理可得 SKIPIF 1 < 0 .
考点二 分段函数定义域和值域
一、单选题
1.设函数 SKIPIF 1 < 0 , SKIPIF 1 < 0 则 SKIPIF 1 < 0 的值域是( )
A. SKIPIF 1 < 0 B. SKIPIF 1 < 0
C. SKIPIF 1 < 0 D. SKIPIF 1 < 0
【解析】当 SKIPIF 1 < 0 ,即 SKIPIF 1 < 0 , SKIPIF 1 < 0 时, SKIPIF 1 < 0 或 SKIPIF 1 < 0 ,
SKIPIF 1 < 0 ,因为 SKIPIF 1 < 0 ,所以 SKIPIF 1 < 0 ,
因此这个区间的值域为 SKIPIF 1 < 0 .
当 SKIPIF 1 < 0 时,即 SKIPIF 1 < 0 ,得 SKIPIF 1 < 0 , SKIPIF 1 < 0
其最小值为 SKIPIF 1 < 0 ,其最大值为 SKIPIF 1 < 0 ,因此这区间的值域为 SKIPIF 1 < 0 .
综上,函数值域为: SKIPIF 1 < 0 .故选:D
2.若定义运算 SKIPIF 1 < 0 ,则函数 SKIPIF 1 < 0 的值域是( )
A. SKIPIF 1 < 0 B. SKIPIF 1 < 0 C. SKIPIF 1 < 0 D. SKIPIF 1 < 0
【解析】若 SKIPIF 1 < 0 ,即 SKIPIF 1 < 0 时 SKIPIF 1 < 0 ;
若 SKIPIF 1 < 0 ,即 SKIPIF 1 < 0 时 SKIPIF 1 < 0 ;综上, SKIPIF 1 < 0 值域为 SKIPIF 1 < 0 .故选:A
二、多选题
3.已知函数 SKIPIF 1 < 0 ,关于函数 SKIPIF 1 < 0 的结论正确的是( )
A. SKIPIF 1 < 0 的定义域是RB. SKIPIF 1 < 0 的值域是 SKIPIF 1 < 0
C.若 SKIPIF 1 < 0 ,则x的值为 SKIPIF 1 < 0 D. SKIPIF 1 < 0
【解析】A:函数的定义域为 SKIPIF 1 < 0 ,所以本选项不正确;
B:当 SKIPIF 1 < 0 时, SKIPIF 1 < 0 ,
当 SKIPIF 1 < 0 时, SKIPIF 1 < 0 , SKIPIF 1 < 0 ,所以有 SKIPIF 1 < 0 ,
综上所述: SKIPIF 1 < 0 的值域是 SKIPIF 1 < 0 ,所以本选项正确;
C:当 SKIPIF 1 < 0 时, SKIPIF 1 < 0 ,不符合 SKIPIF 1 < 0 ;
当 SKIPIF 1 < 0 时, SKIPIF 1 < 0 ,或 SKIPIF 1 < 0 不符合 SKIPIF 1 < 0 ,
综上所述:当 SKIPIF 1 < 0 时,x的值为 SKIPIF 1 < 0 ,所以本选项正确;
D: SKIPIF 1 < 0 ,所以本选项正确,
故选:BCD
三、填空题
4.函数 SKIPIF 1 < 0 的定义域是________.
【解析】解:因为 SKIPIF 1 < 0 ,所以 SKIPIF 1 < 0 定义域为[0,1]∪(1,2)∪[2,+∞)=[0,+∞).
5.已知 SKIPIF 1 < 0 ,则 SKIPIF 1 < 0 的值域是______;
【解析】当 SKIPIF 1 < 0 时, 根据指数函数的图象与性质知 SKIPIF 1 < 0 ,当 SKIPIF 1 < 0 时, SKIPIF 1 < 0 .
综上: SKIPIF 1 < 0 的值域为 SKIPIF 1 < 0 .
6.函数 SKIPIF 1 < 0 的值域是______.
【解析】当 SKIPIF 1 < 0 时,满足 SKIPIF 1 < 0 ;当 SKIPIF 1 < 0 时,由 SKIPIF 1 < 0 ,
所以函数 SKIPIF 1 < 0 的值域为 SKIPIF 1 < 0 .
7.已知函数 SKIPIF 1 < 0 SKIPIF 1 < 0 的最大值为m, SKIPIF 1 < 0 的最小值为n,则 SKIPIF 1 < 0 ______.
【解析】当 SKIPIF 1 < 0 时, SKIPIF 1 < 0 ,所以此时 SKIPIF 1 < 0 ,
当 SKIPIF 1 < 0 时, SKIPIF 1 < 0 ,
所以此时 SKIPIF 1 < 0 ,
综上所述, SKIPIF 1 < 0 ,即 SKIPIF 1 < 0 ,所以 SKIPIF 1 < 0 .
8.已知函数 SKIPIF 1 < 0 ,则 SKIPIF 1 < 0 的最小值为_________.
【解析】 SKIPIF 1 < 0 的图象如图所示,
故 SKIPIF 1 < 0 的最小值为1,故答案为:1.
四、双空题
9.函数y= SKIPIF 1 < 0 的定义域为________,值域为________.
【解析】定义域为各段的并集,即(-∞,0)∪(0,+∞).
因为x>0,所以x2>0,由于值域为各段的并集,所以函数的值域为{-2}∪(0,+∞).
10.如图为一分段函数的图象,则该函数的定义域为________,值域为________.
【解析】由图象可知,第一段的定义域为[-1,0),值域为[0,1);
第二段的定义域为[0,2],值域为[-1,0].
所以该分段函数的定义域为[-1,2],值域为[-1,1).故答案为:[-1,2];[-1,1)
五、解答题
11.已知函数 SKIPIF 1 < 0 的图象如图所示,其中 SKIPIF 1 < 0 轴的左侧为一条线段,右侧为某抛物线的一段.
(1)写出函数 SKIPIF 1 < 0 的定义域和值域;(2)求 SKIPIF 1 < 0 的值.
【解析】(1)由图可知,函数 SKIPIF 1 < 0 的定义域为 SKIPIF 1 < 0 ,值域为 SKIPIF 1 < 0 .
(2)当 SKIPIF 1 < 0 时,设 SKIPIF 1 < 0 ,则 SKIPIF 1 < 0 ,解得 SKIPIF 1 < 0 ,
当 SKIPIF 1 < 0 时,可设 SKIPIF 1 < 0 ,则 SKIPIF 1 < 0 ,解得 SKIPIF 1 < 0 ,
所以, SKIPIF 1 < 0 ,
则 SKIPIF 1 < 0 ,因此, SKIPIF 1 < 0 .
考点三 分段函数单调性
一、单选题
1.定义运算: SKIPIF 1 < 0 ,例如: SKIPIF 1 < 0 , SKIPIF 1 < 0 ,则函数 SKIPIF 1 < 0 的单调递增区间为( )
A. SKIPIF 1 < 0 B. SKIPIF 1 < 0 C. SKIPIF 1 < 0 D. SKIPIF 1 < 0
【解析】 SKIPIF 1 < 0
当 SKIPIF 1 < 0 时, SKIPIF 1 < 0 的单调递减,当 SKIPIF 1 < 0 的递增区间为 SKIPIF 1 < 0 ,故选:A
2.函数 SKIPIF 1 < 0 的单调递减区间是( )
A. SKIPIF 1 < 0 B. SKIPIF 1 < 0 和 SKIPIF 1 < 0 C. SKIPIF 1 < 0 D. SKIPIF 1 < 0 和 SKIPIF 1 < 0
【解析】 SKIPIF 1 < 0 ,
则由二次函数的性质知,当 SKIPIF 1 < 0 时, SKIPIF 1 < 0 的单调递减区间为 SKIPIF 1 < 0 ;
当 SKIPIF 1 < 0 , SKIPIF 1 < 0 的单调递减区间为 SKIPIF 1 < 0 ,
故 SKIPIF 1 < 0 的单调递减区间是 SKIPIF 1 < 0 和 SKIPIF 1 < 0 .故选:B
3.若函数 SKIPIF 1 < 0 是 SKIPIF 1 < 0 上的单调函数,则实数 SKIPIF 1 < 0 的取值范围为( )
A. SKIPIF 1 < 0 B. SKIPIF 1 < 0 C. SKIPIF 1 < 0 D. SKIPIF 1 < 0
【解析】函数 SKIPIF 1 < 0 ,
当 SKIPIF 1 < 0 时, SKIPIF 1 < 0 ,
当 SKIPIF 1 < 0 时, SKIPIF 1 < 0 ,函数图像的对称轴为 SKIPIF 1 < 0 ,函数不是单调函数,不满足题意,排除B、C;
当 SKIPIF 1 < 0 时, SKIPIF 1 < 0 ,
当 SKIPIF 1 < 0 时, SKIPIF 1 < 0 ,函数图像的对称轴为 SKIPIF 1 < 0 ,函数不是单调函数,排除D.
故选:A.
二、多选题
4.已知函数 SKIPIF 1 < 0 在R上单调递增,则实数a的取值可以是( )
A.0 B.1 C.2 D.3
【解析】由题意可知, SKIPIF 1 < 0 在 SKIPIF 1 < 0 上递增,则 SKIPIF 1 < 0 ,即 SKIPIF 1 < 0 .
SKIPIF 1 < 0 在 SKIPIF 1 < 0 上递增,则 SKIPIF 1 < 0 .又 SKIPIF 1 < 0 ,则 SKIPIF 1 < 0 .
综上, SKIPIF 1 < 0 ,根据选项只有CD符合.故选:CD
三、填空题
5.设函数 SKIPIF 1 < 0 , SKIPIF 1 < 0 ,则函数 SKIPIF 1 < 0 的递增区间为________.
【解析】由题知 SKIPIF 1 < 0 ,作出函数 SKIPIF 1 < 0 的图象如图所示.
∴函数 SKIPIF 1 < 0 的递增区间为 SKIPIF 1 < 0 , SKIPIF 1 < 0 .
6.函数 SKIPIF 1 < 0 的单调增区间为__________.
【解析】由函数 SKIPIF 1 < 0 ,根据一次函数的性质,可得 SKIPIF 1 < 0 时, SKIPIF 1 < 0 单调递增,
则函数 SKIPIF 1 < 0 的单调增区间为 SKIPIF 1 < 0 .
7.己知函数 SKIPIF 1 < 0 满足对任意 SKIPIF 1 < 0 ,且 SKIPIF 1 < 0 ,都有 SKIPIF 1 < 0 成立,则实数a的取值范围是__________.
【解析】因为对任意 SKIPIF 1 < 0 ,且 SKIPIF 1 < 0 ,都有 SKIPIF 1 < 0 成立,所以 SKIPIF 1 < 0 在 SKIPIF 1 < 0 上单调递减.
所以 SKIPIF 1 < 0 ,解得 SKIPIF 1 < 0 .
8.已知函数 SKIPIF 1 < 0 ,设 SKIPIF 1 < 0 ,若 SKIPIF 1 < 0 ,则 SKIPIF 1 < 0 的取值范围是____________.
【解析】因为函数f(x)在区间 SKIPIF 1 < 0 , SKIPIF 1 < 0 上都是单调递增函数,
若 SKIPIF 1 < 0 , SKIPIF 1 < 0 , SKIPIF 1 < 0 ,满足 SKIPIF 1 < 0 ,
必有 SKIPIF 1 < 0 ,则 SKIPIF 1 < 0 ,得 SKIPIF 1 < 0 ,
所以 SKIPIF 1 < 0 , SKIPIF 1 < 0 ,令 SKIPIF 1 < 0 ,
令 SKIPIF 1 < 0 ,在 SKIPIF 1 < 0 上递增, SKIPIF 1 < 0 , SKIPIF 1 < 0 ,
所以 SKIPIF 1 < 0 .
四、双空题
9.函数 SKIPIF 1 < 0 的单调性为______;奇偶性为______.
【解析】 SKIPIF 1 < 0 在 SKIPIF 1 < 0 时严格单调递增,
SKIPIF 1 < 0 在 SKIPIF 1 < 0 时,严格单调递增,且 SKIPIF 1 < 0 ,而 SKIPIF 1 < 0 在 SKIPIF 1 < 0 是严格单调递增,
所以 SKIPIF 1 < 0 在 SKIPIF 1 < 0 时严格单调递增,又 SKIPIF 1 < 0 时, SKIPIF 1 < 0 ,
所以函数 SKIPIF 1 < 0 在 SKIPIF 1 < 0 上是严格增函数,易知 SKIPIF 1 < 0 ,
SKIPIF 1 < 0 时, SKIPIF 1 < 0 , SKIPIF 1 < 0 ,
SKIPIF 1 < 0 时, SKIPIF 1 < 0 , SKIPIF 1 < 0 ,
所以对定义域内任意的 SKIPIF 1 < 0 都有 SKIPIF 1 < 0 ,因此 SKIPIF 1 < 0 是奇函数,
故答案为:严格增;奇函数.
五、解答题
10.已知函数 SKIPIF 1 < 0
(1)求 SKIPIF 1 < 0 , SKIPIF 1 < 0 的值;
(2)若 SKIPIF 1 < 0 ,求实数a的值;
(3)直接写出 SKIPIF 1 < 0 的单调区间.
【解析】(1)根据分段函数解析式可得 SKIPIF 1 < 0 ,
易知 SKIPIF 1 < 0 ;所以 SKIPIF 1 < 0 ,即 SKIPIF 1 < 0 .
(2)①当 SKIPIF 1 < 0 时, SKIPIF 1 < 0 ,解得 SKIPIF 1 < 0 ,或 SKIPIF 1 < 0 (舍).
②当 SKIPIF 1 < 0 时, SKIPIF 1 < 0 ,解得 SKIPIF 1 < 0 (舍).
综上可得 SKIPIF 1 < 0 .即实数a的值为 SKIPIF 1 < 0
(3)画出函数图象如下所示:
所以,单调递增区间 SKIPIF 1 < 0 ,单调递减区间 SKIPIF 1 < 0 , SKIPIF 1 < 0
考点四 分段函数求参
一、单选题
1.已知函数 SKIPIF 1 < 0 ,若 SKIPIF 1 < 0 ,则 SKIPIF 1 < 0 ( )
A. SKIPIF 1 < 0 B.0 C.1 D.2
【解析】由 SKIPIF 1 < 0 得 SKIPIF 1 < 0 ,由 SKIPIF 1 < 0 得 SKIPIF 1 < 0 ,
若 SKIPIF 1 < 0 ,则 SKIPIF 1 < 0 ,解得 SKIPIF 1 < 0 ,舍去;
若 SKIPIF 1 < 0 ,则 SKIPIF 1 < 0 ,解得 SKIPIF 1 < 0 ,符合题意;
故选:C.
2.设 SKIPIF 1 < 0 ,若 SKIPIF 1 < 0 ,则 SKIPIF 1 < 0 ( )
A. SKIPIF 1 < 0 B.0 C.1 D.2
【解析】依题意, SKIPIF 1 < 0 ,则 SKIPIF 1 < 0 ,解得 SKIPIF 1 < 0 ,故选:C
3.已知函数 SKIPIF 1 < 0 SKIPIF 1 < 0 的值域为 SKIPIF 1 < 0 ,则实数 SKIPIF 1 < 0 的取值范围是( )
A. SKIPIF 1 < 0 B. SKIPIF 1 < 0 C. SKIPIF 1 < 0 D. SKIPIF 1 < 0
【解析】由题意知当 SKIPIF 1 < 0 时, SKIPIF 1 < 0 ,
由于函数 SKIPIF 1 < 0 的值域为 SKIPIF 1 < 0 ,
故 SKIPIF 1 < 0 时, SKIPIF 1 < 0 的取值范围应包含 SKIPIF 1 < 0 ,
故此时 SKIPIF 1 < 0 ,且 SKIPIF 1 < 0 ,故 SKIPIF 1 < 0 ,故选:C.
4.已知函数 SKIPIF 1 < 0 的最大值为0,则实数a的取值范围为( )
A. SKIPIF 1 < 0 B. SKIPIF 1 < 0 C. SKIPIF 1 < 0 D. SKIPIF 1 < 0
【解析】若 SKIPIF 1 < 0 , SKIPIF 1 < 0 即当 SKIPIF 1 < 0 时 SKIPIF 1 < 0 ,∴ SKIPIF 1 < 0 的最大值为0,满足题意;
若 SKIPIF 1 < 0 ,当 SKIPIF 1 < 0 时, SKIPIF 1 < 0 ,不满足题意;
若 SKIPIF 1 < 0 ,当 SKIPIF 1 < 0 时 SKIPIF 1 < 0 ,当 SKIPIF 1 < 0 时 SKIPIF 1 < 0 ,当 SKIPIF 1 < 0 时等号成立,满足题意;
若 SKIPIF 1 < 0 ,当 SKIPIF 1 < 0 时, SKIPIF 1 < 0 ,当 SKIPIF 1 < 0 时, SKIPIF 1 < 0 ,当 SKIPIF 1 < 0 时等号成立,满足题意;
若 SKIPIF 1 < 0 ,当 SKIPIF 1 < 0 时, SKIPIF 1 < 0 ,当 SKIPIF 1 < 0 时, SKIPIF 1 < 0 ,不满足题意;
所以 SKIPIF 1 < 0 ;故选:A.
5.若函数 SKIPIF 1 < 0 ,在R上单调递增,则实数a的取值范围是( )
A. SKIPIF 1 < 0 B. SKIPIF 1 < 0 C. SKIPIF 1 < 0 D. SKIPIF 1 < 0
【解析】当 SKIPIF 1 < 0 时,函数 SKIPIF 1 < 0 单调递增,所以 SKIPIF 1 < 0
当 SKIPIF 1 < 0 时, SKIPIF 1 < 0 是单调递增函数,所以 SKIPIF 1 < 0 ,所以 SKIPIF 1 < 0
当 SKIPIF 1 < 0 时,对勾函数取值要大于或等于指数式的值,所以 SKIPIF 1 < 0 ,解之得: SKIPIF 1 < 0 ,
综上所述:实数a的取值范围是 SKIPIF 1 < 0 ,故选:B
6.已知函数 SKIPIF 1 < 0 ,满足对任意的实数 SKIPIF 1 < 0 , SKIPIF 1 < 0 且 SKIPIF 1 < 0 ,都有 SKIPIF 1 < 0 ,则实数a的取值范围为( )
A. SKIPIF 1 < 0 B. SKIPIF 1 < 0 C. SKIPIF 1 < 0 D. SKIPIF 1 < 0
【解析】对任意的实数 SKIPIF 1 < 0 ,都有 SKIPIF 1 < 0 ,即 SKIPIF 1 < 0 成立,
可得函数图像上任意两点连线的斜率小于0,说明函数是减函数;
可得: SKIPIF 1 < 0 ,解得 SKIPIF 1 < 0 ,故选:C
7.已知函数 SKIPIF 1 < 0 在 SKIPIF 1 < 0 是减函数,则实数 SKIPIF 1 < 0 的取值范围是( )
A. SKIPIF 1 < 0 B. SKIPIF 1 < 0 C. SKIPIF 1 < 0 D. SKIPIF 1 < 0
【解析】当 SKIPIF 1 < 0 时, SKIPIF 1 < 0 ,所以, SKIPIF 1 < 0 在 SKIPIF 1 < 0 上为减函数,
因为 SKIPIF 1 < 0 在 SKIPIF 1 < 0 是减函数,且函数 SKIPIF 1 < 0 在 SKIPIF 1 < 0 上为减函数,
只需 SKIPIF 1 < 0 ,解得 SKIPIF 1 < 0 .故选:B.
8.函数 SKIPIF 1 < 0 ,若 SKIPIF 1 < 0 互不相等,且 SKIPIF 1 < 0 ,则 SKIPIF 1 < 0 的取值范围是( )
A. SKIPIF 1 < 0 B. SKIPIF 1 < 0 C. SKIPIF 1 < 0 D. SKIPIF 1 < 0
【解析】函数 SKIPIF 1 < 0 的图像如图所示:
设 SKIPIF 1 < 0 ,由函数图像数形结合可知: SKIPIF 1 < 0 , SKIPIF 1 < 0 , SKIPIF 1 < 0
SKIPIF 1 < 0 .故选:C.
二、填空题
9.已知 SKIPIF 1 < 0 ,函数 SKIPIF 1 < 0 , SKIPIF 1 < 0 ,则 SKIPIF 1 < 0 ________.
【解析】因为 SKIPIF 1 < 0 ,所以 SKIPIF 1 < 0 ,所以 SKIPIF 1 < 0 ,解得 SKIPIF 1 < 0 .
10.已知函数 SKIPIF 1 < 0 .若 SKIPIF 1 < 0 ,则实数m的取值范围是______.
【解析】作出函数 SKIPIF 1 < 0 的图象,如图所示,
如 SKIPIF 1 < 0 ,则 SKIPIF 1 < 0 ,又因为 SKIPIF 1 < 0 ,结合图象可知: SKIPIF 1 < 0 ,
所以实数m的取值范围是 SKIPIF 1 < 0 ,
11.设函数 SKIPIF 1 < 0 ,若 SKIPIF 1 < 0 ,则实数a=_____.
【解析】当 SKIPIF 1 < 0 时,则 SKIPIF 1 < 0 ;当 SKIPIF 1 < 0 时,则 SKIPIF 1 < 0 ;
综上所述: SKIPIF 1 < 0 在定义域内恒成立,
令 SKIPIF 1 < 0 ,则 SKIPIF 1 < 0 ,解得 SKIPIF 1 < 0 ,即 SKIPIF 1 < 0 ,
当 SKIPIF 1 < 0 时,则 SKIPIF 1 < 0 ,解得 SKIPIF 1 < 0 ;当 SKIPIF 1 < 0 时,则 SKIPIF 1 < 0 ,解得 SKIPIF 1 < 0 或 SKIPIF 1 < 0 (舍去);
综上所述: SKIPIF 1 < 0 或 SKIPIF 1 < 0 .
12.已知函数 SKIPIF 1 < 0 且 SKIPIF 1 < 0 ,则正数 SKIPIF 1 < 0 的值为______ .
【解析】当 SKIPIF 1 < 0 时,函数 SKIPIF 1 < 0 单调递增,有 SKIPIF 1 < 0 ,
当 SKIPIF 1 < 0 时,函数 SKIPIF 1 < 0 单调递增,有 SKIPIF 1 < 0 ,因为 SKIPIF 1 < 0 ,
所以有 SKIPIF 1 < 0 ,故答案为: SKIPIF 1 < 0
13.设函数 SKIPIF 1 < 0 存在最小值,则 SKIPIF 1 < 0 的取值范围是________.
【解析】①当 SKIPIF 1 < 0 时, SKIPIF 1 < 0 ,故函数 SKIPIF 1 < 0 在 SKIPIF 1 < 0 上单调递增,因此 SKIPIF 1 < 0 不存在最小值;
②当 SKIPIF 1 < 0 时, SKIPIF 1 < 0 .
当 SKIPIF 1 < 0 时, SKIPIF 1 < 0 ,故函数 SKIPIF 1 < 0 存在最小值;
③当 SKIPIF 1 < 0 时, SKIPIF 1 < 0 ,故函数 SKIPIF 1 < 0 在 SKIPIF 1 < 0 上单调递减,
当 SKIPIF 1 < 0 时, SKIPIF 1 < 0 ;当 SKIPIF 1 < 0 时, SKIPIF 1 < 0 .
若 SKIPIF 1 < 0 ,则 SKIPIF 1 < 0 不存在最小值,故 SKIPIF 1 < 0 ,解得 SKIPIF 1 < 0 .
此时 SKIPIF 1 < 0 满足题设;
④当 SKIPIF 1 < 0 时, SKIPIF 1 < 0 ,故函数 SKIPIF 1 < 0 在 SKIPIF 1 < 0 上单调递减,
当 SKIPIF 1 < 0 时, SKIPIF 1 < 0 ;当 SKIPIF 1 < 0 时, SKIPIF 1 < 0 .
因为 SKIPIF 1 < 0 ,所以 SKIPIF 1 < 0 ,
因此 SKIPIF 1 < 0 不存在最小值.
综上, SKIPIF 1 < 0 的取值范围是 SKIPIF 1 < 0 .
14.已知 SKIPIF 1 < 0 ,若存在三个不同实数 SKIPIF 1 < 0 使得 SKIPIF 1 < 0 ,则 SKIPIF 1 < 0 的取值范围是______.
【解析】作出函数 SKIPIF 1 < 0 的图像如下图所示:
设 SKIPIF 1 < 0 ,由图像可知 SKIPIF 1 < 0 ,则 SKIPIF 1 < 0 ,解得 SKIPIF 1 < 0 ,
由 SKIPIF 1 < 0 可得 SKIPIF 1 < 0 ,即 SKIPIF 1 < 0 ,可得 SKIPIF 1 < 0 . SKIPIF 1 < 0 .
15.设 SKIPIF 1 < 0 且 SKIPIF 1 < 0 ,已知数列 SKIPIF 1 < 0 满足 SKIPIF 1 < 0 ,且 SKIPIF 1 < 0 是递增数列,则a的取值范围是____.
【解析】因为 SKIPIF 1 < 0 是递增数列,所以 SKIPIF 1 < 0 解得 SKIPIF 1 < 0 ,故答案为: SKIPIF 1 < 0 .
16.已知 SKIPIF 1 < 0 ,其中 SKIPIF 1 < 0 且 SKIPIF 1 < 0 ,若 SKIPIF 1 < 0 , SKIPIF 1 < 0 ,则 SKIPIF 1 < 0 ___________.
【解析】因为 SKIPIF 1 < 0 , SKIPIF 1 < 0 ,所以 SKIPIF 1 < 0 ,所以 SKIPIF 1 < 0 ,
所以 SKIPIF 1 < 0 ,所以 SKIPIF 1 < 0 ,所以 SKIPIF 1 < 0
考点五 解分段函数不等式
一、单选题
1.已知 SKIPIF 1 < 0 ,则使 SKIPIF 1 < 0 成立的 SKIPIF 1 < 0 的取值范围是( )
A. SKIPIF 1 < 0 B. SKIPIF 1 < 0 C. SKIPIF 1 < 0 D. SKIPIF 1 < 0
【解析】(方法1)当 SKIPIF 1 < 0 时 SKIPIF 1 < 0 ,不等式 SKIPIF 1 < 0 可化为 SKIPIF 1 < 0 ,
解得 SKIPIF 1 < 0 ,又 SKIPIF 1 < 0 ,所以 SKIPIF 1 < 0 ;
当 SKIPIF 1 < 0 时, SKIPIF 1 < 0 ,不等式 SKIPIF 1 < 0 可化为 SKIPIF 1 < 0 ,解得 SKIPIF 1 < 0 ,
又 SKIPIF 1 < 0 ,所以 SKIPIF 1 < 0 .
综上,使不等式 SKIPIF 1 < 0 成立的 SKIPIF 1 < 0 的取值范围是 SKIPIF 1 < 0 .故选: A.
(方法2)函数 SKIPIF 1 < 0 的图象如图所示,虚线表示 SKIPIF 1 < 0 ,函数 SKIPIF 1 < 0 图象在虚线 SKIPIF 1 < 0 及以上的部分中 SKIPIF 1 < 0 的取值范围即不等式 SKIPIF 1 < 0 的解集.
由图可知, SKIPIF 1 < 0 的取值范围就是点的横坐标与点 SKIPIF 1 < 0 的横坐标之间的范围.
在 SKIPIF 1 < 0 中,令 SKIPIF 1 < 0 ,得 SKIPIF 1 < 0 ,所以点 SKIPIF 1 < 0 的横坐标为 SKIPIF 1 < 0 .
在 SKIPIF 1 < 0 中,令 SKIPIF 1 < 0 ,得 SKIPIF 1 < 0 (舍去)或 SKIPIF 1 < 0 ,
所以点 SKIPIF 1 < 0 的横坐标为 SKIPIF 1 < 0 ,所以使不等式 SKIPIF 1 < 0 成立的 SKIPIF 1 < 0 的取值范围是 SKIPIF 1 < 0 .故选:A.
2.已知函数 SKIPIF 1 < 0 ,则满足不等式 SKIPIF 1 < 0 的x的取值范围是( )
A. SKIPIF 1 < 0 B. SKIPIF 1 < 0 C. SKIPIF 1 < 0 D. SKIPIF 1 < 0
【解析】画出 SKIPIF 1 < 0 的图象,如下:
显然要满足 SKIPIF 1 < 0 ,则要 SKIPIF 1 < 0 ,且 SKIPIF 1 < 0 ,解得: SKIPIF 1 < 0 .故选:C
3.已知函数 SKIPIF 1 < 0 ,若 SKIPIF 1 < 0 ,则实数a的取值范围是( )
A. SKIPIF 1 < 0 B. SKIPIF 1 < 0 C. SKIPIF 1 < 0 D. SKIPIF 1 < 0
【解析】因为 SKIPIF 1 < 0 .
①当 SKIPIF 1 < 0 时, SKIPIF 1 < 0 .
②当 SKIPIF 1 < 0 时, SKIPIF 1 < 0 .
③当 SKIPIF 1 < 0 时, SKIPIF 1 < 0 .
综上所述: SKIPIF 1 < 0 .故选:D.
4.已知函数 SKIPIF 1 < 0 ,则不等式 SKIPIF 1 < 0 的解集是( )
A. SKIPIF 1 < 0 B. SKIPIF 1 < 0 C. SKIPIF 1 < 0 D. SKIPIF 1 < 0
【解析】令 SKIPIF 1 < 0 ,则 SKIPIF 1 < 0 即为 SKIPIF 1 < 0 ,
当 SKIPIF 1 < 0 时, SKIPIF 1 < 0 ,故 SKIPIF 1 < 0 无解,
当 SKIPIF 1 < 0 时, SKIPIF 1 < 0 即为 SKIPIF 1 < 0 ,
在同一平面直角坐标系下画出 SKIPIF 1 < 0 和 SKIPIF 1 < 0 的大致图像如图,
由图可得当且仅当 SKIPIF 1 < 0 时, SKIPIF 1 < 0 ,
综上所述, SKIPIF 1 < 0 的解为 SKIPIF 1 < 0 ,又 SKIPIF 1 < 0 ,所以 SKIPIF 1 < 0 ,
当 SKIPIF 1 < 0 时, SKIPIF 1 < 0 ,故 SKIPIF 1 < 0 ,解得: SKIPIF 1 < 0 ,所以 SKIPIF 1 < 0 ,
当 SKIPIF 1 < 0 时, SKIPIF 1 < 0 ,故 SKIPIF 1 < 0 ,解得: SKIPIF 1 < 0 ,所以 SKIPIF 1 < 0 ,
综上所述,不等式 SKIPIF 1 < 0 的解集是 SKIPIF 1 < 0 .故选:D.
5.若 SKIPIF 1 < 0 ,且 SKIPIF 1 < 0 的解集为 SKIPIF 1 < 0 ,则 SKIPIF 1 < 0 的取值范围是( )
A. SKIPIF 1 < 0 B. SKIPIF 1 < 0 C. SKIPIF 1 < 0 D. SKIPIF 1 < 0
【解析】当 SKIPIF 1 < 0 时, SKIPIF 1 < 0 ,由 SKIPIF 1 < 0 ,可得 SKIPIF 1 < 0 ,
设 SKIPIF 1 < 0 ,则 SKIPIF 1 < 0 ,则 SKIPIF 1 < 0 在 SKIPIF 1 < 0 递增,所以 SKIPIF 1 < 0 ,即 SKIPIF 1 < 0 ,
当 SKIPIF 1 < 0 时, SKIPIF 1 < 0 ,
可得当 SKIPIF 1 < 0 时, SKIPIF 1 < 0 的解集为 SKIPIF 1 < 0
当 SKIPIF 1 < 0 时, SKIPIF 1 < 0 的解集为 SKIPIF 1 < 0 ,不满足题意,舍去
因为关于 SKIPIF 1 < 0 的不等式 SKIPIF 1 < 0 的解集为 SKIPIF 1 < 0
当 SKIPIF 1 < 0 时, SKIPIF 1 < 0 ,满足 SKIPIF 1 < 0
当 SKIPIF 1 < 0 时, SKIPIF 1 < 0 ,不满足 SKIPIF 1 < 0
综上可得: SKIPIF 1 < 0 的取值范围是 SKIPIF 1 < 0 故选:B.
6.已知函数 SKIPIF 1 < 0 ,若 SKIPIF 1 < 0 ,则实数 SKIPIF 1 < 0 的取值范围是( )
A. SKIPIF 1 < 0 B. SKIPIF 1 < 0
C. SKIPIF 1 < 0 D. SKIPIF 1 < 0
【解析】作出函数 SKIPIF 1 < 0 的图象如图,
因为 SKIPIF 1 < 0 ,若 SKIPIF 1 < 0 ,由 SKIPIF 1 < 0 在 SKIPIF 1 < 0 上单调递增,且 SKIPIF 1 < 0 ,
则 SKIPIF 1 < 0 ,解得 SKIPIF 1 < 0 ;
若 SKIPIF 1 < 0 ,则 SKIPIF 1 < 0 ,解得 SKIPIF 1 < 0 ;
综上, SKIPIF 1 < 0 ,解得 SKIPIF 1 < 0 或 SKIPIF 1 < 0 .
所以实数 SKIPIF 1 < 0 的取值范围是 SKIPIF 1 < 0 .故选:A.
二、多选题
7.已知 SKIPIF 1 < 0 是定义在 SKIPIF 1 < 0 的奇函数,且 SKIPIF 1 < 0 时, SKIPIF 1 < 0 ,则下列结论正确的是( )
A. SKIPIF 1 < 0 时, SKIPIF 1 < 0
B. SKIPIF 1 < 0 有3个零点
C. SKIPIF 1 < 0 增区间为 SKIPIF 1 < 0
D. SKIPIF 1 < 0 的解集为 SKIPIF 1 < 0
【解析】由 SKIPIF 1 < 0 是定义在 SKIPIF 1 < 0 的奇函数知 SKIPIF 1 < 0 ,
当 SKIPIF 1 < 0 时, SKIPIF 1 < 0 ,所以 SKIPIF 1 < 0 ,A错误;
由上可知 SKIPIF 1 < 0 ,由 SKIPIF 1 < 0 可得 SKIPIF 1 < 0 或 SKIPIF 1 < 0 或 SKIPIF 1 < 0 ,故B正确;
由 SKIPIF 1 < 0 的解析式知 SKIPIF 1 < 0 在 SKIPIF 1 < 0 和 SKIPIF 1 < 0 上均单调递增,但在 SKIPIF 1 < 0 上不具有单调性,
如 SKIPIF 1 < 0 ,但 SKIPIF 1 < 0 ,故C错误;
由 SKIPIF 1 < 0 ,可得 SKIPIF 1 < 0 或 SKIPIF 1 < 0 ,解得 SKIPIF 1 < 0 或 SKIPIF 1 < 0 ,故D正确.
故选:BD.
三、填空题
8.已知函数 SKIPIF 1 < 0 ,则不等式 SKIPIF 1 < 0 的解集为______.
【解析】由题意,得 SKIPIF 1 < 0 或 SKIPIF 1 < 0 ,解得 SKIPIF 1 < 0 或 SKIPIF 1 < 0 ,
所以不等式 SKIPIF 1 < 0 的解集为 SKIPIF 1 < 0
9.已知函数 SKIPIF 1 < 0 ,若 SKIPIF 1 < 0 ,则实数 SKIPIF 1 < 0 的范围为__________.
【解析】因为 SKIPIF 1 < 0 ,
所以由 SKIPIF 1 < 0
10.已知函数 SKIPIF 1 < 0 ,则 SKIPIF 1 < 0 的解集为________.
【解析】因为当 SKIPIF 1 < 0 时, SKIPIF 1 < 0 ,当 SKIPIF 1 < 0 时, SKIPIF 1 < 0 ,
所以 SKIPIF 1 < 0 等价于 SKIPIF 1 < 0 ,此时 SKIPIF 1 < 0 ,即 SKIPIF 1 < 0 ,解得 SKIPIF 1 < 0 ,
所以 SKIPIF 1 < 0 的解集为 SKIPIF 1 < 0
11.设函数 SKIPIF 1 < 0 则满足 SKIPIF 1 < 0 的x的取值范围是______.
【解析】函数 SKIPIF 1 < 0 的图象如图所示,
满足 SKIPIF 1 < 0 可得 SKIPIF 1 < 0 或 SKIPIF 1 < 0 .解得 SKIPIF 1 < 0 .
12.已知函数 SKIPIF 1 < 0 ,则不等式 SKIPIF 1 < 0 的解集为__________.
【解析】函数 SKIPIF 1 < 0
当 SKIPIF 1 < 0 ,函数 SKIPIF 1 < 0 单调递增,则 SKIPIF 1 < 0 化为 SKIPIF 1 < 0 解得 SKIPIF 1 < 0 ,
故答案为: SKIPIF 1 < 0 .
13.已知函数 SKIPIF 1 < 0 ,若 SKIPIF 1 < 0 ,则实数a的取值范围为______.
【解析】当 SKIPIF 1 < 0 时,显然不成立;
当 SKIPIF 1 < 0 时,不等式 SKIPIF 1 < 0 可化为 SKIPIF 1 < 0 ,解得 SKIPIF 1 < 0 ;
当 SKIPIF 1 < 0 时,不等式 SKIPIF 1 < 0 可化为 SKIPIF 1 < 0 ,解得 SKIPIF 1 < 0 .
综上所述,a的取值范围为 SKIPIF 1 < 0 或 SKIPIF 1 < 0 ,故答案为: SKIPIF 1 < 0
14.设函数 SKIPIF 1 < 0 ,则满足 SKIPIF 1 < 0 的 SKIPIF 1 < 0 的取值范围是__________.
【解析】当 SKIPIF 1 < 0 时, SKIPIF 1 < 0 ,
则 SKIPIF 1 < 0 在 SKIPIF 1 < 0 时无解;
当 SKIPIF 1 < 0 时, SKIPIF 1 < 0 ,在 SKIPIF 1 < 0 单调递增, SKIPIF 1 < 0 时 SKIPIF 1 < 0 ,
则 SKIPIF 1 < 0 的解集为 SKIPIF 1 < 0 ;
当 SKIPIF 1 < 0 时, SKIPIF 1 < 0 ,则 SKIPIF 1 < 0 在 SKIPIF 1 < 0 时恒成立;
综上, SKIPIF 1 < 0 的解集为 SKIPIF 1 < 0 .
四、解答题
15.函数 SKIPIF 1 < 0 是定义在 SKIPIF 1 < 0 的奇函数,且对任意的 SKIPIF 1 < 0 ,都有 SKIPIF 1 < 0 成立, SKIPIF 1 < 0 时, SKIPIF 1 < 0
(1)当 SKIPIF 1 < 0 时,求函数 SKIPIF 1 < 0 的解析式:
(2)求不等式 SKIPIF 1 < 0 在区间 SKIPIF 1 < 0 上的解集.
【解析】(1)因为函数 SKIPIF 1 < 0 是定义在 SKIPIF 1 < 0 的奇函数,所以 SKIPIF 1 < 0 ,所以 SKIPIF 1 < 0 ,
当 SKIPIF 1 < 0 时, SKIPIF 1 < 0 ,所以 SKIPIF 1 < 0 ,
又对任意的 SKIPIF 1 < 0 ,都有 SKIPIF 1 < 0 成立,
当 SKIPIF 1 < 0 时, SKIPIF 1 < 0 ,
当 SKIPIF 1 < 0 时, SKIPIF 1 < 0 ,
当 SKIPIF 1 < 0 时, SKIPIF 1 < 0 ,
所以 SKIPIF 1 < 0 ;
(2)当 SKIPIF 1 < 0 时,不等式 SKIPIF 1 < 0 可化为 SKIPIF 1 < 0 ,所以 SKIPIF 1 < 0 ,
当 SKIPIF 1 < 0 时, SKIPIF 1 < 0 ,所以 SKIPIF 1 < 0 为不等式 SKIPIF 1 < 0 的解,
当 SKIPIF 1 < 0 时,不等式 SKIPIF 1 < 0 可化为 SKIPIF 1 < 0 ,所以 SKIPIF 1 < 0 ,解得 SKIPIF 1 < 0 ,
所以不等式 SKIPIF 1 < 0 在区间 SKIPIF 1 < 0 上的解集为 SKIPIF 1 < 0 .
相关试卷
这是一份新高考数学二轮复习专题培优练习专题03 分段函数(2份打包,原卷版+解析版),文件包含新高考数学二轮复习专题培优练习专题03分段函数原卷版doc、新高考数学二轮复习专题培优练习专题03分段函数解析版doc等2份试卷配套教学资源,其中试卷共20页, 欢迎下载使用。
这是一份新高考数学之函数专项重点突破 专题05 分段函数,文件包含专题05分段函数原卷版docx、专题05分段函数解析版docx等2份试卷配套教学资源,其中试卷共26页, 欢迎下载使用。
这是一份高考数学一轮复习题型归纳讲义 专题05 函数 专项练习 (原卷版+解析版),文件包含专题05函数专项练习解析版docx、专题05函数专项练习原卷版docx等2份试卷配套教学资源,其中试卷共17页, 欢迎下载使用。