新高考数学二轮复习08.选填题之平面向量(2份打包,原卷版+解析版)
展开
这是一份新高考数学二轮复习08.选填题之平面向量(2份打包,原卷版+解析版),文件包含新高考数学二轮复习08选填题之平面向量原卷版doc、新高考数学二轮复习08选填题之平面向量解析版doc等2份试卷配套教学资源,其中试卷共76页, 欢迎下载使用。
平面向量的基本定理及坐标表示是高考中的一个热点内容,尤其是用坐标表示的向量共线的条件是高考考查的重点内容,一般是通过向量的坐标表示,将几何问题转化为代数问题来解决,多以选择题或填空题的形式呈现,有时也作为解答题中的条件,应用向量的平行或垂直关系进行转换.
平面向量的数量积也一直是高考的一个热点,尤其是平面向量的数量积,主要考查平面向量的数量积的运算、向量的几何意义、模与夹角、两向量的垂直等问题.题型一般以选择题、填空题为主.
题型一、线性运算、平面向量基本定理
1.在△ABC中,AD为BC边上的中线,E为AD的中点,则( )
A.B.C.D.
【解答】解:在△ABC中,AD为BC边上的中线,E为AD的中点,
(),
故选:A.
2.如图,在四边形ABCD中,AB∥CD,AB⊥AD,AB=2AD=2DC,E为BC边上一点,且,F为AE的中点,则( )
A.B.
C.D.
【解答】解:由AB=2AD=2DC知:
∵,
∴,
故A选项正确.
又∵,
∴,
故B选项正确.
∵,
∴,
故C正确.
∵ ,
D不正确.
故选:ABC.
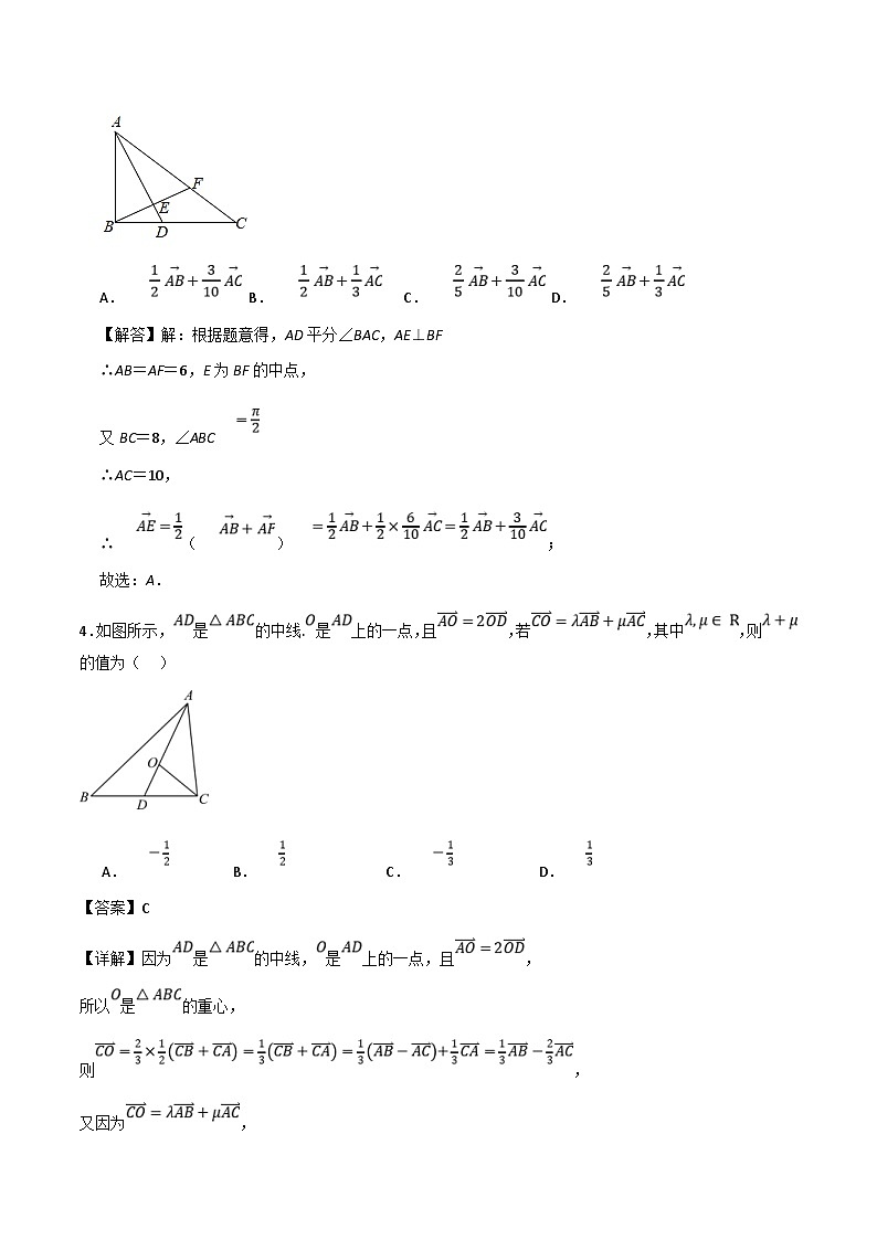
3.如图,△ABC中,∠ABC,AD平分∠BAC,过点B作AD的垂线,分别交AD,AC于E,F,若AF=6,BC=8,则( )
A.B.C.D.
【解答】解:根据题意得,AD平分∠BAC,AE⊥BF
∴AB=AF=6,E为BF的中点,
又BC=8,∠ABC
∴AC=10,
∴();
故选:A.
4.如图所示,是的中线.是上的一点,且,若,其中 ,则的值为( )
A.B.C.D.
【答案】C
【详解】因为是的中线,是上的一点,且,
所以是的重心,
则,
又因为,
所以,,可得,
故选:C.
题型二、向量共线定理
考点1.三点共线定理
1.在△ABC中,已知D是AB边上一点,若2,,则λ=( )
A.B.C.D.
【解答】解:在△ABC中,已知D是AB边上一点
∵2,,
∴,
∴λ,
故选:A.
2.如图,在△ABC中,,P是BN上的一点,若,则实数m的值为( )
A.B.C.D.
【解答】解:∵P是BN上的一点,
设,由,
则
∴m=1﹣λ,
解得λ,m
故选:D.
3.在平行四边形ABCD中,AC与BD交于点O,E是线段OD的中点,AE的延长线与CD交于点F.若,,则( )
A.B.C.D.
【解答】解:∵由题意可得△DEF∽△BEA,
∴,再由AB=CD可得 ,
∴.
作FG平行BD交AC于点G,
∴,
∴.
∵,
∴,
故选:B.
4.如图,在平行四边形中,,分别为边,的中点,连接,,交于点,若(,),则 .
【答案】
【详解】根据平行线分线段成比例可得 而
故
即答案为.
考点2.等和线
1.在△ABC中,点P满足,过点P的直线与AB,AC所在的直线分别交于点M,N,若,(λ>0,μ>0),则λ+μ的最小值为( )
A.B.C.D.
【解答】解:∵△ABC中,,
点P满足,∴∴
∵,(λ>0,μ>0),
∴
因为B,P,C三点共线,所以,,λ>0,μ>0
∴λ+μ=(λ+μ)()=11
当且仅当μλ时取“=”,则λ+μ的最小值为
故选:B.
2.给定两个长度为1的平面向量和,它们的夹角为120°.如图所示,点C在以O为圆心,以1半径的圆弧AB上变动.若xy,其中x,y∈R,则x+y的最大值是 2 .
【解答】解:【方法一】建立如图所示的坐标系,
则A(1,0),B(cs120°,sin120°),
即B(,).
设∠AOC=α,则(csα,sinα).
∵xy(x,0)+(,y)=(csα,sinα);
则,
解得,
∴x+ysinα+csα=2sin(α+30°).
∵0°≤α≤120°.∴30°≤α+30°≤150°.
∴x+y有最大值2,当α=60°时取最大值2.
【解法二】xy,
∴x2+y2+2xy•x2+y2+2xycs120°=x2+y2﹣xy,
∴x2+y2﹣xy=1,
∴(x+y)2﹣3xy=1,
∴(x+y)2﹣1=3xy≤3•,
∴•(x+y)2≤1,
解得x+y≤2.
故答案为:2.
3.在矩形ABCD中,AB=1,AD=2,动点P在以点C为圆心且与BD相切的圆上.若λμ,则λ+μ的最大值为( )
A.3B.2C.D.2
【分析】如图:以A为原点,以AB,AD所在的直线为x,y轴建立如图所示的坐标系,先求出圆的标准方程,再设点P的坐标为(csθ+1,sinθ+2),根据λμ,求出λ,μ,根据三角函数的性质即可求出最值.
【解答】解:如图:以A为原点,以AB,AD所在的直线为x,y轴建立如图所示的坐标系,
则A(0,0),B(1,0),D(0,2),C(1,2),
∵动点P在以点C为圆心且与BD相切的圆上,
设圆的半径为r,
∵BC=2,CD=1,
∴BD
∴BC•CDBD•r,
∴r,
∴圆的方程为(x﹣1)2+(y﹣2)2,
设点P的坐标为(csθ+1,sinθ+2),
∵λμ,
∴(csθ+1,sinθ+2)=λ(1,0)+μ(0,2)=(λ,2μ),
∴csθ+1=λ,sinθ+2=2μ,
∴λ+μcsθsinθ+2=sin(θ+φ)+2,其中tanφ=2,
∵﹣1≤sin(θ+φ)≤1,
∴1≤λ+μ≤3,
故λ+μ的最大值为3,
故选:A.
4.如图,在直角梯形ABCD中,,,,,动点P在边BC上,且满足(m,n均为正数),则的最小值为( )
A.1B.C.D.
【答案】D
【详解】如图,以A为原点,AB所在直线为x轴,AD所在直线为y轴建立平面直角坐标系,
则,,,,则,,,
设,
则.
因为,
所以,消去,得,
因为,,所以,
当且仅当,结合,即时等号成立.
故的最小值为.
故选:D
题型三、数量积
考点1.利用数量积求角
1.已知向量 ,满足, ,,则( )
A.B.C.D.
【答案】D
【详解】,,,.
,
因此,.
故选:D.
2.下列说法中错误的为( )
A.已知,且与夹角为锐角,则λ的取值范围是
B.已知,不能作为平面内所有向量的一组基底
C.若与平行,则在方向上的投影数量为
D.若非零,满足,则与的夹角是60°
【答案】ACD
【详解】对于A,
因为与的夹角为锐角,
所以
若与同向,则(),
所以解得
所以当与的夹角为锐角时,的取值范围为, 故A错误.
对于B, 因为,所以向量, 即共线,
故不能作为平面内所有向量的一组基底,故B正确.
对于C, 与平行,则与的夹角为或,则在方向上的投影数量为或,即在方向上的投影数量为,故C错误
对于D, 因为, 两边平方得,
故
而向量的夹角范围为, 得与的夹角为, 故D错误.
故选: ACD
考点2.平方处理绝对值问题
1.已知平面向量,的夹角为,且则 1
【解答】解:由(,1),得||2,
又平面向量,的夹角为,且,
所以2•4﹣2×2×||×cs3,
化简得21=0,
解得1.
故答案为:1.
2.已知,点C在线段AB上,且的最小值为1,则(t∈R)的最小值为( )
A.B.C.2D.
【解答】解:由于||,则△OAB时等腰三角形,
当OC⊥AB时,取最小值,此时||=|cs∠AOC=2cs∠AOC=1,
所以,,,
所以,|t,
因此,当时,|的最小值为,
故选:B.
3.已知平面向量、、满足||=2,||=1,,,则||的最大值为 2 .
【解答】解:∵∥,
∴设,则,且,,
∴,
∴,
∴时,取最大值12,取最大值.
故答案为:.
考点3.几何意义——投影
1.如图,在平行四边形ABCD中,AP⊥BD,垂足为P,且AP=3,则 18 .
【分析】设AC与BD交于O,则AC=2AO,在RtAPO中,由三角函数可得AO与AP的关系,代入向量的数量积||||cs∠PAO可求
【解答】解:设AC与BD交于点O,则AC=2AO
∵AP⊥BD,AP=3,
在Rt△APO中,AOcs∠OAP=AP=3
∴||cs∠OAP=2||×cs∠OAP=2||=6,
由向量的数量积的定义可知,||||cs∠PAO=3×6=18
故答案为:18
2.已知两个不相等的非零向量,满足,且与的夹角为45°,则的取值范围是( )
A.B.C.(0,2]D.
【解答】解:如图所示,设,,∠CAB=45°,由图可知,当BC⊥AC时,||的取值最小,此时,则||,
而||没有最大值,
故则的取值范围为[,+∞),
故选:D.
3.如图,A是半径为5的圆O上的一个定点,单位向量在A点处与圆O相切,点P是圆O上的一个动点,且点P与点A不重合,则•的取值范围是 [﹣5,5] .
【解答】解:如图所示:设∠PAB=θ,作OM⊥AP,则∠AOM=θ,
∴sinθ,AM=5sinθ,AP=2AM=10sinθ.
∴10sinθ×1×csθ=5sin2θ∈[﹣5,5],
故答案为:[﹣5,5].
考点4.转换基底
1.在平行四边形ABCD中,AD=1,,∠BAD=60°,E为CD的中点,则( )
A.﹣2B.﹣1C.1D.2
【解答】解:如图,∵,
又,,
∴.
故选:C.
2.已知向量与的夹角为120°,且||=3,||=2.若λ,且⊥,则实数λ的值为 .
【解答】解:由题意可知:,
因为,
所以,
所以
=﹣12λ+7=0
解得λ.
故答案为:.
3.如图,P为△AOB所在平面内一点,向量,,且点P在线段AB的垂直平分线上,向量.若||=3,||=2,则的值为 .
【解答】解:设线段AB的垂直平分线为PH,H为垂足,
则,
则()•()() (32﹣22)+0.
故答案为:.
考点5.建系解决数量积问题
1.在△ABC中BC=6,BC边上的高AD=2,点D在线段BC上,则的取值范围是( )
A.[﹣5,4)B.[﹣5,4]C.[﹣4,5]D.[﹣4,5)
【解答】解:△ABC中BC=6,BC边上的高AD=2,点D在线段BC上,
利用垂直关系,建立平面直角坐标系,如图所示
所以D(0,0),A(0,2),B(x﹣6,0),C(x,0 )
由于点D为内分点,所以,解得0<x≤6.
所以,,所以x2﹣6x+4=(x﹣3)2﹣5,
当x=3时,最小值为﹣5,当x=6时,最大值为4.
则的取值范围是[﹣5,4].
故选:B.
2.在直角三角形ABC中,∠A=90°,AB=3,AC=4,P在△ABC斜边BC的中线AD上,则的最大值为( )
A.B.C.D.
【解答】解:以A为坐标原点,以AB,AC方向分别为x轴,y轴正方向建立平面直角坐标系,
则B(3,0),C(0,4),
设,所以,,,
.故最大值为.
故选:B.
3.已知单位向量的夹角为60°,若向量满足,则的最大值为( )
A.B.C.D.
【解答】解:由题意,设单位向量(1,0),(cs60°,sin60°)=(,),且(x,y);
则23(3x,3y),
由,
∴3,
化简得x21,
它表示圆心为C(0,),半径为1的圆及其内部,如图所示;
由图形知,的最大值为1.
故选:A.
题型四、极化恒等式
1.如图,在中,是的中点,、是上的两个三等分点,,,则的值是( )
A.4B.8C.D.
【答案】C
【详解】因为是的中点,,是上的两个三等分点,
所以,,
,,
所以,
,
可得,,
又因为,
所以,
故选:C.
2.如图所示,正方形ABCD的边长为1,A,D分别在x轴,y轴的正半轴(含原点)上滑动,则的最大值是 .
【答案】2
【详解】如图,取BC的中点M,AD的中点N,连接MN,ON,
则,
又OMON+NM=AD+AB=,
当且仅当O,N,M三点共线时取等号.
所以的最大值为2.
故答案为:2.
3.已知AB是圆O的直径,AB长为2,C是圆O上异于A,B的一点,P是圆O所在平面上任意一点,则(+)的最小值为( )
A.B.C.D.
【答案】C
【详解】
取OC中点D,由极化恒等式得
又,∴的最小值为.
故选:C.
4.如图,在四边形中,,,且,则实数的值为 ,若是线段上的动点,且,则的最小值为 .
【答案】
【详解】,,,
,
解得,
以点为坐标原点,所在直线为轴建立如下图所示的平面直角坐标系,
,
∵,∴的坐标为,
∵又∵,则,设,则(其中),
,,
,
所以,当时,取得最小值.
故答案为:;.
题型五、奔驰定理
1.已知点O为△ABC内一点,满足,若,则λ=( )
A.﹣2B.C.D.2
【解答】解:如图,设,作平行四边形OAME,其中对角线OM与底边AB相交于点F,
则,
易知△OBF∽△MFA,故,则,
又,故,则,
∴,
∵,
∴λ=﹣2.
故选:A.
2.设 P、Q为△ABC内的两点,且,,则△ABP的面积与△ABQ的面积之比为( )
A.B.C.D.
【解答】解:设,,则
∵,∴
由平行四边形法则知NP∥AB
∴△ABP的面积与△ABC的面积之比
同理△ABQ的面积与△ABC的面积之比为
∴△ABP的面积与△ABQ的面积之比为
故选:D.
3.点为内一点,若,设,则实数和的值分别为( )
A.,B.,C.,D.,
【答案】A
【详解】如图所示,延长交于,
显然,
由面积关系可得,所以,
而,
所以,
所以,即,
又由题可知,所以,
所以,整理得,
所以,
故选:A
4.在平面四边形ABCD中,已知△ABC的面积是△ACD的面积的3倍.若存在正实数x,y使得(2)(1)成立,则x+y的最小值为 .
【解答】解:根据题意,如图,连接AC、BD,设AC与BD交于点O,过点B做BE⊥AC交AC于点E,过点D做DF⊥AC交AC于点F.
△ABC的面积是△ACD的面积的3倍.所以BE=3DF,
根据相似三角形的性质可知,3,
∴,
∴,
设,
∵(2)(1),
∴3(2)=1,
∴,
∴x+y2,
当且仅当,即x,y时取等号.
故答案为:.
题型六、三角形四心
考点1.重心
1.已知O是平面上一定点,A、B、C是平面上不共线的三个点,动点P满足λ()λ∈[0,+∞),则点P的轨迹一定通过△ABC的( )
A.外心B.内心C.重心D.垂心
【解答】解:∵设它们等于t,
∴λ()
而2
λ()表示与共线的向量
而点D是BC的中点,所以即P的轨迹一定通过三角形的重心.
故选:C.
2.已知在△ABC和点M满足,若存在实数m使得成立,则m= 3 .
【解答】解:由点M满足,知点M为△ABC的重心,
设点D为底边BC的中点,则
∴
∴m=3
故答案为:3
3.设△ABC的内角A,B,C的对边分别为a,b,c,点G为△ABC的重心且满足向量⊥,若atanA=λcsinB,则实数λ= .
【解答】解:如图,连接AG延长交BC于点D,
由于G为重心,故D为中点,
因为CG⊥BG,
所以DGBC
由重心的性质得:
AD=3DG,
所以ADBC,
由余弦定理得:
AC2=AD2+CD2﹣2AD•CD•cs∠ADC,
AB2=AD2+BD2﹣2AD•BDcs∠ADB,
因为∠ADC+∠BDC=π,
又BD=CD,
所以AC2+AB2=2(BD2+AD2),
所以AC2+AB2BC25BC2,
所以b2+c2=5a2,
可得csA,
由因为atanA=λcsinB,
所以λ,
故答案为:.
考点2.内心
1.O是平面上一定点,A,B,C是平面上不共线的三个点,动点P满足,则P的轨迹一定通过△ABC的 内 心.
【解答】解:由于O是平面上一定点,A,B,C是平面上不共线的三个点,
动点P满足,
即P在∠BAC的平分线上,所以P的轨迹一定通过△ABC的内心.
故答案为:内
2.已知O是△ABC所在平面上的一点,A、B、C所对的边的分别为a,b,c,若,则O是△ABC的( )
A.重心B.垂心C.外心D.内心
【解答】解:∵,
∴ab()+c()=bc(a+b+c)
而 ,
∴(a+b+c)bc
即
记c,b,其中、分别表示、方向上的单位向量
则 ()
由该式可以看出AO位于∠BAC的角平分线上,故知O只能为内心,即角平分线交点.
故选:D.
3.在△ABC中,AB=AC=5,BC=6,I是△ABC的内心,若m(m,n∈R),则( )
A.B.C.2D.
【解答】解:设BC中点为D,以BC为x轴,DA为y轴建立平面直角坐标系如图所示:
∵AB=5,BDBC=3,∴AD=4.
∵△ABC是等腰三角形,
∴内心I在线段AD上,设内切圆的半径为r,则tan∠IBD,
∴tan∠ABC,
又tan∠ABC,
∴,解得r或r=﹣6(舍).
∴I(0,),又B(﹣3,0),A(0,4),C(3,0),
∴(3,),(3,4),(6,0),
∵m,
∴,解得,
∴.
故选:B.
考点3.外心
1.已知O是△ABC所在平面上一点,若()•()•()•0,则O点是三角形的 外 心.
【解答】解:由()•0,
即()•()=0,
即0,即有||=||,
由()•0,
即()•()=0,
即有0,即有||=||.
则有||=||=||.
则O为三角形ABC的外心.
故答案为:外
2.已知O是锐角△ABC的外接圆的圆心,且,若,则m= .
【解答】解:取AB中点D,则有,代入已知式子可得,
由,可得,∴两边同乘,化简得:
m,即,
由正弦定理化简可得,
由sinC≠0,两边同时除以sinC得:csB+csAcsC=msinC,
∴m =sinA=sin
故答案为:
3.在△ABC中,CA=2CB=2,•1,O是△ABC的外心,若xy,则x+y= .
【解答】解:如图所示,
分别取CA,CB的中点D,E.连接OD,OE,
则OD⊥CA,OE⊥CB;
∴•OC•AC•cs∠OCA=CD•CA=2,
同理可得:•CE•CB;
又•(xy)•4x﹣y,
•(xy)•x+y,
∴,
解得x,y,
∴x+y.
故答案为:.
日期:2021/4/5 22:57:36;用户:15942715433;邮箱:15942715433;学号:32355067
考点4.垂心
1.已知O为△ABC所在平面上一点,且222222,则O一定为△ABC的( )
A.外心B.内心C.重心D.垂心
【解答】解:∵2222,
∴2+()22+()2,
即222﹣2•222﹣2•,
即••,即•()•0,
即OC⊥AB,
同理,OB⊥AC,OA⊥BC.
∴O是△ABC的垂心.
故选:D.
2.O是平面上一定点,A,B,C平面上不共线的三个点,动点P满足,λ∈R,则P的轨迹一定通过△ABC的( )
A.外心B.内心C.重心D.垂心
【解答】解:如图所示,过点A作AD⊥BC,垂足为D点.
则•,
同理,
∵动点P满足,λ∈R.
∴,λ∈R.
∴0,
∴,
因此P的轨迹一定通过△ABC的垂心.
故选:D.
3.点O在△ABC所在平面上,若,则点O是△ABC的( )
A.三条中线交点B.三条高线交点
C.三条边的中垂线交点D.三条角分线交点
【解答】解:∵,∴,∴,
同理,.
因此点O是△ABC的三条高线的交点.
故选:B.
一、单选题
1.如图所示的中,点是线段上靠近的三等分点,点是线段的中点,则( )
A.B.
C.D.
【答案】B
【详解】.
故选:B
2.已知两个单位向量满足,则向量的夹角为( )
A.B.C.D.
【答案】A
【详解】由,平方可得,又
所以,
所以,
因为,
所以向量的夹角为.
故选:A.
3.在平行四边形中,为的重心,满足,则( )
A.B.C.0D.
【答案】A
【详解】如图,设与相交于点,为的重心,
可得为的中点,,
所以,
因为,
所以,则.
故选:A.
4.在矩形中,,,,则向量在向量方向上的投影数量为( )
A.B.C.D.
【答案】C
【详解】(解法一)以,为基底,
为矩形,且,
,,
,, ,
,
向量在向量方向上的投影数量为.
(解法二)以为原点,,分别为轴、轴建立如图所示的平面直角坐标系,
则,,,,则,,
,
向量在向量方向上的投影数量为.
故选:C.
5.正方形边长为,则( )
A.2B.4C.5D.
【答案】B
【分析】根据平面向量的数量积运算求得正确答案.
【详解】 .
故选:B
6.如图,正方形的边长为4,E为的中点,为边上一点,若,则( )
A.B.C.D.5
【答案】D
【详解】如图,建立平面直角坐标系,设,
则,可得,
因为,即,解得,
即,所以.
故选:D.
7.已知圆的半径为1,过圆外一点作一条切线与圆相切于点,,为圆上一个动点,则的取值范围为( )
A.B.C.D.
【答案】B
【详解】方法一:不妨设圆心,,,,
所以,
因为,
所以.
方法二:如图,过圆心作,且与圆交于点M,N,连接,,
过M,N分别作,,垂足分别为G,H,过作,垂足为,
则在方向上的投影向量为,
则,,
又,所以.
故选:B.
8.已知点A,B,C在圆上运动,且,若点P的坐标为,则的最大值为( )
A.7B.12C.14D.11
【答案】D
【详解】解:如图所示:
因为,所以AC为圆的直径,
又,则,
设,则,
所以,
所以,
当时,等号成立,
故选:D
9.美术课对于陶冶人的情操、发展学生的艺术兴趣和爱好、培养学生的艺术特长、提高学生的审美素养具有积极作用.如图,这是某学生关于“杯子”的联想创意图,它是由一个正方形和三个半圆组成的,其中,是正方形的两个顶点,是三段圆弧上的动点,若,则的取值范围是( )
A.B.
C.D.
【答案】B
【详解】如图,作,垂足分别为,且与左半圆相切,
切点为与右半圆相切,切点为.
,其中为在上的投影,
因为,所以.
当与重合时,最大,最大值为,
此时取得最大值,最大值为;
当与重合时,最小,最小值为,
此时取得最小值,最小值为;
故的取值范围是,
故选:B
10.如图,在四边形中,已知,,,点在边上,则的最小值为( )
A.B.C.D.
【答案】A
【详解】解法一 由,,,
得,,
所以,,
.
设,则,所以
,
当且仅当时,取得最小值.
解法二: 由,,,
得,,
所以,,
,,
连接,交于点,则易知,
建立如图所示的平面直角坐标系,
则,,,,
所以.
设,
则,
所以,
,,
则,
当且仅当时,取得最小值.
解法三 由,,,
得,,
所以,,
,,
如图,
分别以所在的直线为轴、轴建立平面直角坐标系,
所以,.
因为点在边上,
所以设,
所以,,
所以
,
当且仅当时,取得最小值.
故选:A.
11.设向量、、满足,,,,则的最大值等于( )
A.B.C.D.
【答案】A
【详解】向量、、满足,,,
不妨设,,,则,
因为,整理可得,
的几何意义是圆上的点到原点的距离,
而原点也在圆上,
所以,的最大值为圆的直径长,故.
故选:A.
12.在中,,且,则( )
A.B.C.D.
【答案】D
【详解】因为,所以的角平分线与垂直,所以,
因为,,所以,
则.
故选:D
二、多选题
13.已知,,则下列结论正确的是( )
A.B.C.与的夹角为D.在方向上的投影向量是
【答案】AC
【详解】解:因为,,
所以,则,所以,故A正确;
,所以,故B错误;
,因为,所以,故C正确;
在方向上的投影向量是,故D错误;
故选:AC
14.已知是坐标原点,平面向量,,,且是单位向量,,,则下列结论正确的是( )
A.
B.若A,B,C三点共线,则
C.若向量与垂直,则的最小值为1
D.向量与的夹角正切值的最大值为
【答案】AD
【详解】在平面直角坐标系中,令,
由,,得,,则,
对于A,,因此,A正确;
对于B,由三点共线,得,即,
于是,解得,即,B错误;
对于C,,由向量与垂直,得,
而,则,
当且仅当时取等号,C错误;
对于D,令向量与的夹角为,,当时,,,
当时,不妨令,,则,,显然,
,
当且仅当时取等号,D正确.
故选:AD
15.点,分别是的外心、垂心,则下列选项正确的是( )
A.若且,则
B.若,且,则
C.若,,则的取值范围为
D.若,则
【答案】BCD
【详解】A.由,可知,点共线,
又可知,点在的角平分线上,
所以为的角平分线,与不一定相等,故A错误;
B.若,则点是的中点,点又是的外心,
所以,,故B正确;
C. 因为,所以,如图,建立平面直角坐标系,
设,,,
因为,所以,
得,,
,,
,,则,故C正确;
D.因为,所以,
即,则,
同理,,所以,
设,
因为,所以,
即,则,
,即,
则,
,,故D正确.
故选:BCD
16.(多选)已知,是两个单位向量,且,则下列说法正确的是( )
A.
B.对于平面内的任意向量,有且只有一对实数m,n,使
C.已知,,设,,,则
D.若向量满足,则
【答案】AC
【详解】已知,是两个单位向量,且,
则,
则,
对于选项A,∵,∴,即选项A正确;
对于选项B,∵,∴与共线,
∴与不能作为平面向量的一组基底,即选项B错误;
对于选项C,,即选项C正确;
对于选项D,设与的夹角为,向量满足,
则,
又,
则,
则,即,即选项D错误.
故选:AC.
17.如图所示,在边长为3的等边三角形中,,且点在以的中点为圆心,为半径的半圆上,若,则( )
A.B.
C.存在最小值D.的最大值为
【答案】ABC
【详解】对于A,因为,且点在以的中点为圆心,为半径的半圆上,
所以,
则,故A正确;
对于B,,
则,故B正确;
对于C,如图,以点为原点建立平面直角坐标系,
则,
因为点在以的中点为圆心,为半径的半圆上,
所以点的轨迹方程为,且在轴的下半部分,
设,
则,
所以,
因为,所以,
所以当时,取得最小值,故C正确;
对于D,因为,
所以,
即,
所以,
所以,
因为,所以当时,取得最大值,故D错误.
故选:ABC.
18.“奔驰定理”因其几何表示酷似奔驰的标志得来,是平面向量中一个非常优美的结论.奔驰定理与三角形四心(重心、内心、外心、垂心)有着神秘的关联.它的具体内容是:已知是内一点,的面积分别为,且.以下命题正确的有( )
A.若,则为的重心
B.若为的内心,则
C.若,为的外心,则
D.若为的垂心,,则
【答案】ABD
【详解】对于A,取的中点D,连接,
由,则,
所以,
所以A,M,D三点共线,且,
设E,F分别为AB,AC的中点,同理可得,,所以为的重心,故A正确;
对于B,由为的内心,则可设内切圆半径为,
则有,
所以,
即,故B正确;
对于C,由为的外心,则可设的外接圆半径为,
又,
则有,
所以,
,
,
所以,故C错误;
对于D,如图,延长交于点D,延长交于点F,延长交于点E,
由为的垂心,,则,
又,则,,
设,则,
所以,即,
所以,所以,故D正确.
故选:ABD.
三、填空题
19.向量在向量上的投影向量为,则 .
【答案】
【详解】因为,
所以向量在向量上的投影向量为,
所以,所以,
所以.
故答案为:
20.如图,在中,,P为CD上一点,且满足 ,则m的值为 .
【答案】
【详解】因为,即,
所以,
又
所以,解得.
故答案为:.
21.已知向量,,满足,,,则的最大值是 .
【答案】/
【详解】
设,,
,点是的重心,
,
.∴是直角三角形,
又∵,即,
以A为原点,AB所在直线为轴建立平面直角坐标系,
设,,则且,
,,
故
,
当且仅当,即时等号成立.
故答案为:.
22.在中,是边上一点,且,是的中点,过点的直线与两边分别交于两点(点与点不重合),设,,则的最小值为 .
【答案】/
【详解】因为,所以,得.
又是的中点,,,
所以.
因为三点共线,所以,即,且,
所以,
当且仅当,即时,等号成立.
故答案为:
23.已知点在同一平面,且三点不共线,且满足,其中,,,则的值为 ,则的面积为 .
【答案】
【详解】因为,
所以,所以,
故,解得.
又因为,所以,
所以;
故答案为:;.
24.在平行四边形中,,向量在方向上的投影为1,且,点在线段上,则的取值范围为 .
【答案】
【详解】因为,所以,
以为原点,为x轴,y轴的正方向建立平面直角坐标系,
因为,向量在方向上的投影为1,
所以,,
所以,
设,则,
所以,
由二次函数性质可知,当时取得最小值1,当时取得最大值3,
所以的取值范围为.
故答案为:
25.如图,在菱形中,,E、F分别为、上的点.,,点M在线段上,且满足, ;若点N为线段上一动点,则的取值范围为 .
【答案】 ,.
【详解】由可得,
所以,
设,,,
,
所以,
,
所以
,
因为,,所以,,
故答案为:;,.
相关试卷
这是一份新高考数学二轮复习06选填题之三角函数(2份打包,原卷版+解析版),文件包含新高考数学二轮复习06选填题之三角函数原卷版doc、新高考数学二轮复习06选填题之三角函数解析版doc等2份试卷配套教学资源,其中试卷共69页, 欢迎下载使用。
这是一份新高考数学二轮复习02选填题之函数的图像与性质(2份打包,原卷版+解析版),文件包含新高考数学二轮复习02选填题之函数的图像与性质原卷版doc、新高考数学二轮复习02选填题之函数的图像与性质解析版doc等2份试卷配套教学资源,其中试卷共28页, 欢迎下载使用。
这是一份新高考数学二轮复习04选填题之导数的简单应用(2份打包,原卷版+解析版),文件包含新高考数学二轮复习04选填题之导数的简单应用原卷版doc、新高考数学二轮复习04选填题之导数的简单应用解析版doc等2份试卷配套教学资源,其中试卷共38页, 欢迎下载使用。

