- 培优点04隐零点与极值点偏移问题(2种核心题型)(含答案) 2025年高考数学大一轮复习讲义(新高考版) 学案 0 次下载
- 培优点05三角函数中有关ω的范围问题(4种核心题型)(含答案) 2025年高考数学大一轮复习讲义(新高考版) 学案 0 次下载
- 培优点07数列中的构造问题(3种核心题型)(含答案) 2025年高考数学大一轮复习讲义(新高考版) 学案 0 次下载
- 易错02不等式(4个易错点错因分析与分类讲解+7个易错核心题型60题强化训练)(含答案) 2025年高考数学大一轮复习讲义(新高考版) 试卷 0 次下载
- 考点01集合(4种核心题型)(含答案) 2025年高考数学大一轮复习讲义(新高考版) 试卷 0 次下载
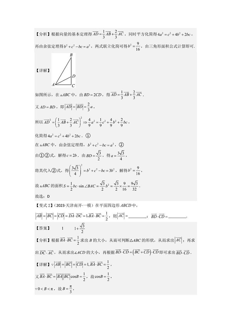
培优点06平面向量的综合应用(2种核心题型)(含答案) 2025年高考数学大一轮复习讲义(新高考版)
展开专题02 函数的综合应用-新高考数学大一轮复习讲义之方法技巧与题型全归纳(新高考专用): 这是一份专题02 函数的综合应用-新高考数学大一轮复习讲义之方法技巧与题型全归纳(新高考专用),文件包含专题02函数的综合应用解析版docx、专题02函数的综合应用原卷版docx等2份试卷配套教学资源,其中试卷共47页, 欢迎下载使用。
专题42 概率与统计的综合应用-新高考数学大一轮复习讲义之方法技巧与题型全归纳(新高考专用): 这是一份专题42 概率与统计的综合应用-新高考数学大一轮复习讲义之方法技巧与题型全归纳(新高考专用),文件包含专题42概率与统计的综合应用解析版docx、专题42概率与统计的综合应用原卷版docx等2份试卷配套教学资源,其中试卷共122页, 欢迎下载使用。
专题19 数列的综合应用-新高考数学大一轮复习讲义之方法技巧与题型全归纳(新高考专用): 这是一份专题19 数列的综合应用-新高考数学大一轮复习讲义之方法技巧与题型全归纳(新高考专用),文件包含专题19数列的综合应用解析版docx、专题19数列的综合应用原卷版docx等2份试卷配套教学资源,其中试卷共99页, 欢迎下载使用。

