还剩5页未读,
继续阅读
2025高考数学一轮复习-21.1-三角函数的图象和性质-专项训练【含解析】
展开
这是一份2025高考数学一轮复习-21.1-三角函数的图象和性质-专项训练【含解析】,共8页。试卷主要包含了单项选择题,多项选择题,填空题等内容,欢迎下载使用。
1.已知α∈(0,π),若csπ6-α=-24,则csα+5π6的值为( )
A.-144B.24C.-24D.144
2.为了得到函数y=2sin 3x的图象,只要把函数y=2sin3x+π5图象上所有的点( )
A.向左平移π5个单位长度
B.向右平移π5个单位长度
C.向左平移π15个单位长度
D.向右平移π15个单位长度
3.若直线x=π2是函数f(x)=cs ωx(ω≠0)图象的对称轴,则f(x)的最小正周期的最大值是( )
A.πB.2πC.π2D.π4
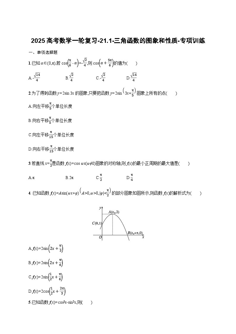
4. 已知函数f(x)=Asin(ωx+φ)A>0,ω>0,|φ|0,若该阻尼器模型在摆动过程中连续三次位移为s0(-20,-π0,0
相关试卷
2025高考数学一轮复习-8.6-双曲线-专项训练【含解析】:
这是一份2025高考数学一轮复习-8.6-双曲线-专项训练【含解析】,共13页。
2025高考数学一轮复习-6.4-数列求和-专项训练(含解析):
这是一份2025高考数学一轮复习-6.4-数列求和-专项训练(含解析),共6页。
2025高考数学一轮复习-5.4-复数-专项训练【含解析】:
这是一份2025高考数学一轮复习-5.4-复数-专项训练【含解析】,共6页。

