







2025版高考数学全程一轮复习第三章一元函数的导数及其应用第一节导数的概念及其几何意义导数的运算课件
展开(3)导函数:对于函数y=f(x),当x=x0时,f′(x0)是一个唯一确定的数,当x变化时,f′(x)就是x的函数,我们称它为函数y=f(x)的导函数(简称导数),即f′(x)=y′=__________________.
2.导数的几何意义函数y=f(x)在x=x0处的导数f′(x0),就是曲线y=f(x)在x=x0处的切线的斜率k0,即k0=_______.相应的切线方程为__________________.即在点(x0,f(x0))处
y-f(x0)=f′(x0)(x-x0)
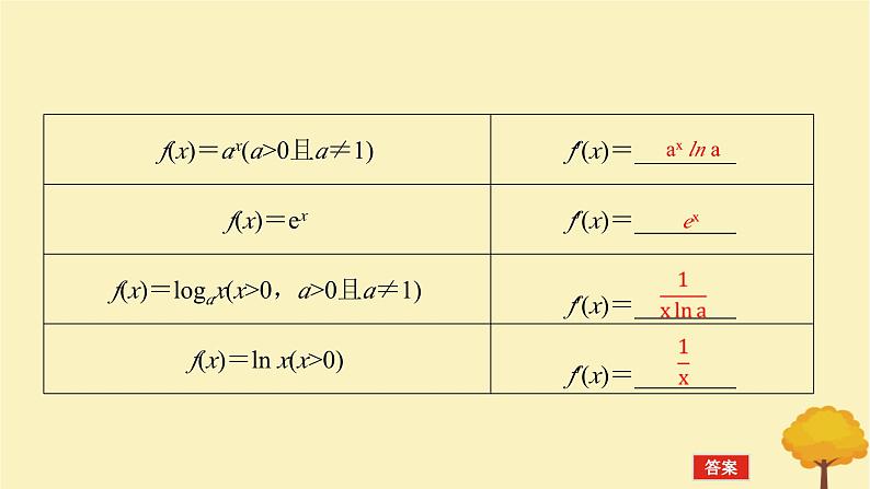
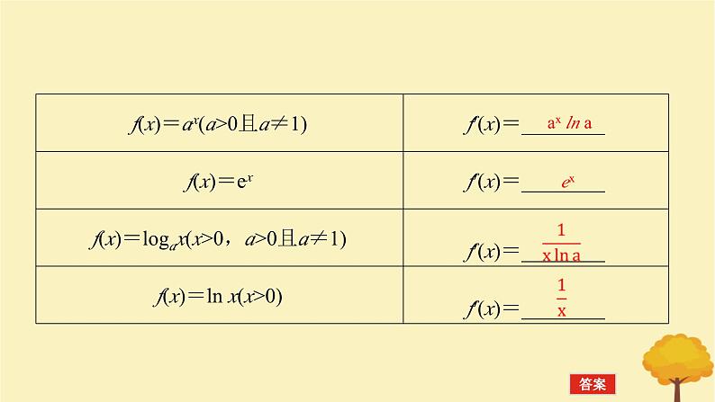
3.基本初等函数的导数公式
f′(x)±g′(x)
f′(x)g(x)+f(x)g′(x)
5.复合函数的导数复合函数y=f(g(x))的导数与函数y=f(u),u=g(x)的导数间的关系为y′x=_________,即y对x的导数等于y对u的导数与u对x的导数的乘积.
【常用结论】1.曲线的切线与曲线的公共点不一定只有一个,而直线与二次曲线相切时只有一个公共点.2.奇函数的导数是偶函数,偶函数的导数是奇函数,周期函数的导数还是周期函数.
夯 实 基 础1.思考辨析(正确的打“√”,错误的打“×”)(1)导函数f′(x)的定义域与函数f(x)的定义域相同.( )(2)f′(x0)与[f(x0)]′表示的意义相同.( )(3)曲线的切线不一定与曲线只有一个公共点.( )(4)与曲线只有一个公共点的直线一定是曲线的切线.( )
2.(教材改编)某跳水运动员离开跳板后,他达到的高度与时间的函数关系式是h(t)=10-4.9t2+8t(距离单位:米,时间单位:秒),则他在0.5秒时的瞬时速度为( )A.9.1米/秒 B.6.75米/秒C.3.1米/秒 D.2.75米/秒
解析:因为函数关系式是h(t)=10-4.9t2+8t,所以h′(t)=-9.8t+8,所以在t=0.5秒时的瞬时速度为-9.8×0.5+8=3.1(米/秒).故选C.
5.(易错)过原点与曲线y=(x-1)3相切的切线方程为________________.
y=0或27x-4y=0
1.了解导数的概念、掌握基本初等函数的导数.2.通过函数图象,理解导数的几何意义.3.能够用导数公式和导数的运算法则求简单函数的导数,能求简单的复合函数(形如f(ax+b))的导数.
ex[f(x)+f′(x)]
【问题2】 “曲线在点P处的切线”与“曲线过点P的切线”有何区别?
答案:“曲线在点P处的切线”与“曲线过点P的切线”含义是不同的.“曲线在点P处的切线”即点P是曲线上的点,且点P就是切点;而“曲线过点P的切线”,点P不一定在曲线上,点P不一定是切点.
(2)[2024·广东深圳模拟]已知函数f(x)=x3-2x+2f′(2),其中f′(x)是f(x)的导函数,则f(2)=( )A.12 B.20C.10 D.24
解析:由题意得f′(x)=3x2-2,故f′(2)=3×4-2=10,则f(x)=x3-2x+20,故f(2)=8-4+20=24.故选D.
角度二 求切线方程例3 (1)[2024·河南郑州模拟]已知函数f(x)=ex-2x+1,则曲线y=f(x)在x=0处的切线方程为____________.(2)曲线y=(x-4)ex过坐标原点的切线方程为__________.
题后师说(1)处理与切线有关的问题,关键是根据曲线、切线、切点的三个关系列出参数的方程:①切点处的导数是切线的斜率;②切点在切线上;②切点在曲线上.(2)注意区分“在点P处的切线”与“过点P的切线”.
巩固训练2(1)函数f(x)的图象如图所示,下列数值排序正确的是( )A.0
(e-1)x-y+1=0
(2)[2021·新高考Ⅰ卷]若过点(a,b)可以作曲线y=ex的两条切线,则( )A.eb题后师说(1)设切点列方程.(2)切线条数的判断,实质是切点横坐标为变量(方程)零点个数的判断.
巩固训练3 [2022·新高考Ⅰ卷]若曲线y=(x+a)ex有两条过坐标原点的切线,则a的取值范围是____________________.
1.已知函数f(x)=x2·f′(0)+x·f(1)-2,则f(2)=( )A.12 B.10C.8 D.6
2.[2024·江西宜春模拟]已知函数f(x)=a ln x+x2在x=1处的切线与直线x+y+1=0垂直,则a=( )A.2 B.-2C.1 D.-1
4.[2022·新高考Ⅱ卷]曲线y=ln |x|过坐标原点的两条切线的方程为____________,____________.
状元笔记 两曲线的公切线问题1.求两条曲线的公切线,如果同时考虑两条曲线与直线相切,头绪会比较乱,为了使思路更清晰,一般是把两条曲线分开考虑,先分析其中一条曲线与直线相切,再分析另一条曲线与直线相切,直线与抛物线相切可用判别式法.2.公切线条数的判断问题可转化为方程根的个数求解问题.
二、不同切点的公切线问题【典例2】 [2024·江苏南京模拟]若直线y=x+m与曲线y=ax2和y=ln x均相切,则a=__________.
新教材(广西专版)高考数学一轮复习第四章一元函数的导数及其应用第一节导数的概念、几何意义及运算课件: 这是一份新教材(广西专版)高考数学一轮复习第四章一元函数的导数及其应用第一节导数的概念、几何意义及运算课件,共45页。PPT课件主要包含了内容索引,强基础增分策略,增素能精准突破,fx0,切线的斜率k0,αxα-1,cosx,-sinx,axlna,cfx等内容,欢迎下载使用。
2024届高考数学一轮复习(新教材人教A版强基版)第三章一元函数的导数及其应用3.1导数的概念及其意义、导数的运算课件: 这是一份2024届高考数学一轮复习(新教材人教A版强基版)第三章一元函数的导数及其应用3.1导数的概念及其意义、导数的运算课件,共60页。PPT课件主要包含了落实主干知识,探究核心题型,课时精练,f′x0,αxα-1,cosx,-sinx,axlna,cf′x,yu′·ux′等内容,欢迎下载使用。
2024版新教材高考数学全程一轮总复习第三章导数及其应用第一节导数的概念及其意义导数的运算课件: 这是一份2024版新教材高考数学全程一轮总复习第三章导数及其应用第一节导数的概念及其意义导数的运算课件,共44页。PPT课件主要包含了必备知识·夯实双基,关键能力·题型突破,f′x0,切线的斜率,nxn-1,cosx,-sinx,axlna,cf′x,答案C等内容,欢迎下载使用。