人教版高中数学必修第一册第一章 第四章 指数函数与对数函数 小结与复习【课件】
展开
这是一份人教版高中数学必修第一册第一章 第四章 指数函数与对数函数 小结与复习【课件】,共43页。
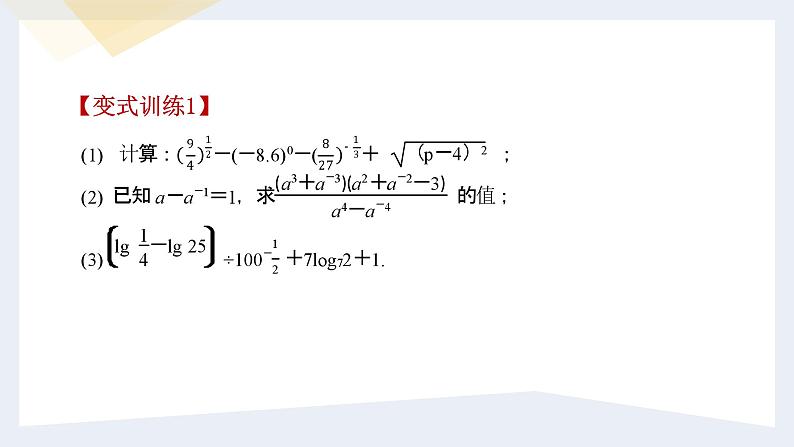
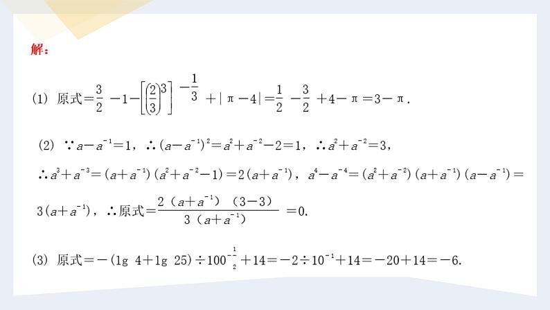
第四章 小结与复习知识网络∙体系构建【主题1】 指数、对数的运算以及转化与化归思想的应用主题归纳∙综合提升思路点拨:(1) 利用指数幂的运算法则求解即可.(2) 利用对数的运算法则求解即可.【变式训练1】【点评总结】指数与对数的运算应遵循的原则:指数的运算要注意化简顺序,一般负指数先转化成正指数,根式化为分数指数幂.另外,若出现分式,则要注意对分子、分母因式分解以达到约分的目的.对数的运算要注意公式应用过程中范围的变化,前后要等价,一般本着真数化简的原则进行.底数相同的对数式化简的两种基本方法:①“收”:将同底的两对数的和(差)化成积(商)的对数;②“拆”:将积(商)的对数拆成对数的和(差).与指、对数有关的求值问题,常涉及指、对数的运算以及同底对数式的化简等方面的知识,着重发展数学运算素养. D67【点评总结】求与指数、对数的运算有关的问题,要充分利用指数、对数的定义、运算性质、换底公式和对数基本恒等式等,建立已知条件和所求式子间的联系,实现问题的转化与化归,使问题获解. 【主题2】指数、对数函数的图象与性质及分类讨论思想的应用思路点拨:根据指数函数与对数函数的性质,即可求得结果AB【点评总结】比较函数值大小的一般步骤:① 根据函数值的特征构造适当的函数;② 根据所构造函数的单调性,确定两个函数值的大小;③ 当两个函数值不能直接比较时,常构造两个对应函数,再进行比较;④ 必要时,可先将函数值与特殊值0和1进行比较,最后确定它们的大小关系.与指、对数有关的比较大小问题,常涉及指数式和对数式的互化及指数函数和对数函数的单调性等性质. (-∞,4] (0,4]【解】【点评总结】(1) 指数函数的图象和单调性与底数的大小有关,在应用指数函数的图象和单调性解题时,要注意观察底数a是0

