新高考数学一轮复习课件 第8章 §8.11 圆锥曲线中范围与最值问题(含详解)
展开(1)求椭圆C的方程;
即2a=4,所以a=2,
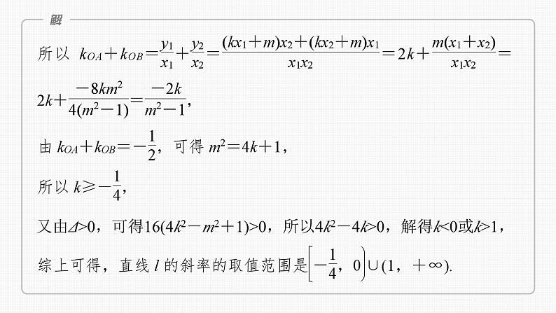
(2)若直线l与椭圆C相交于A,B两点,且kOA+kOB= (O为坐标原点),求直线l的斜率的取值范围.
当直线l的斜率不存在或斜率为0时,结合椭圆的对称性可知,kOA+kOB=0,不符合题意.故设直线l的方程为y=kx+m(k≠0),A(x1,y1),B(x2,y2),
可得(4k2+1)x2+8kmx+4(m2-1)=0,
又由Δ>0,可得16(4k2-m2+1)>0,所以4k2-4k>0,解得k<0或k>1,
圆锥曲线中取值范围问题的五种常用解法(1)利用圆锥曲线的几何性质或判别式构造不等关系,从而确定参数的取值范围.(2)利用已知参数的范围,求新参数的范围,解决这类问题的核心是建立两个参数之间的等量关系.(3)利用隐含的不等关系建立不等式,从而求出参数的取值范围.
(4)利用已知的不等关系构造不等式,从而求出参数的取值范围.(5)利用求函数值域的方法将待求量表示为其他变量的函数,求其值域,从而确定参数的取值范围.
跟踪训练1 (2022·济宁模拟)已知抛物线E:y2=2px(p>0)上一点C(1,y0)到其焦点F的距离为2.(1)求实数p的值;
因为点C(1,y0)到其焦点F的距离为2,
(2)若过焦点F的动直线l与抛物线交于A,B两点,过A,B分别作抛物线的切线l1,l2,且l1,l2的交点为Q,l1,l2与y轴的交点分别为M,N.求△QMN面积的取值范围.
由(1)可知,抛物线E:y2=4x,
判别式Δ=16t2+16>0,故t∈R,y1+y2=4t,y1y2=-4,
∴△QMN面积的取值范围是[1,+∞).
(1)求双曲线C的方程;
(2)设点A,B的中点为M,求点M到y轴的距离的最小值.
设点M的横坐标为xM>0,当直线l的斜率不存在时,则直线l:x=2,易知点M到y轴的距离为xM=2;当直线l的斜率存在时,
Δ=64k2m2-16(4k2-1)(m2+1)=0,
整理得4k2=m2+1,
即xM>2,此时点M到y轴的距离大于2.综上所述,点M到y轴的最小距离为2.
圆锥曲线中最值的求法(1)几何法:若题目的条件和结论能明显体现几何特征及意义,则考虑利用图形性质来解决.(2)代数法:若题目的条件和结论能体现一种明确的函数,则可首先建立目标函数,再求这个函数的最值,求函数最值的常用方法有配方法、判别式法、基本不等式法及函数的单调性法等.
∴椭圆的标准方程为x2+3y2=a2,
得AF2∥BF1,如图,
延长BF1,AF2交椭圆于C,D两点,根据椭圆的
对称性可知,四边形ABCD为平行四边形,且四边形ABF1F2的面积为四边形ABCD的面积的一半.由题知,BF1的斜率不为零,
设B(x1,y1),C(x2,y2),∵Δ>0,
1.已知双曲线C: =1(a>0,b>0)的左焦点为F,右顶点为A(1,0),离心率为2,(1)求双曲线C的标准方程;
(2)已知B(0, ),直线l:y=kx+m(km≠0)与双曲线C相交于不同的两点M,N,若|BM|=|BN|,求实数m的取值范围.
设M(x1,y1),N(x2,y2),线段MN的中点Q(x0,y0),
∵|BM|=|BN|,∴BQ⊥MN,
设A(x1,y1),B(x2,y2),当直线l的斜率存在时,设l:y=kx+t,
消去y得(1+3k2)x2+6ktx+3t2-9=0,Δ=12(3+9k2-t2)>0,
即3t2-9≠0,则t2≠3,又y1=kx1+t,y2=kx2+t,
当直线l的斜率不存在时,x2=x1,y2=-y1,
3.(2023·济宁模拟)已知抛物线E:y2=2px(p>0)的焦点为F,点M(4,m)在抛物线E上,且△OMF的面积为 p2(O为坐标原点).(1)求抛物线E的方程;
解得p=2.故抛物线E的方程为y2=4x.
(2)过焦点F的直线l与抛物线E交于A,B两点,过A,B分别作垂直于l的直线AC,BD,分别交抛物线于C,D两点,求|AC|+|BD|的最小值.
由题意知直线l的斜率一定存在且不为0,F(1,0),设直线l的方程为x=ty+1,t≠0,设A(x1,y1),B(x2,y2),C(x3,y3),易知x1=ty1+1>0,x2=ty2+1>0,
消去x得y2-4ty-4=0.所以y1+y2=4t,y1y2=-4.
由AC垂直于l,得直线AC的方程为y-y1=-t(x-x1),
所以当x∈(0,2)时,f′(x)<0,f(x)单调递减;当x∈(2,+∞)时,f′(x)>0,f(x)单调递增.所以当x=2时,f(x)取得最小值,
4.已知椭圆的两个焦点是F1(0,-2),F2(0,2),点P( ,2)在椭圆上.(1)求此椭圆的方程;
由题意知,c=2,因为焦点在y轴,
(2)过F2作两条互相垂直的直线,分别交椭圆于A,B,C,D四点,求四边形ACBD面积的取值范围.
如图,当过F2的两条互相垂直的直线的斜率都存在时,设直线AB的斜率为k,则直线AB的方程为y=kx+2,直线CD的方程为y= +2,设A(x1,y1),B(x2,y2),C(x3,y3),D(x4,y4),
所以四边形ACBD的面积
新高考数学一轮复习讲练测课件第8章§8.11圆锥曲线中范围与最值问题 (含解析): 这是一份新高考数学一轮复习讲练测课件第8章§8.11圆锥曲线中范围与最值问题 (含解析),共52页。PPT课件主要包含了题型一,范围问题,思维升华,解得p=2,题型二,最值问题,1求C的方程,即m=±1时取等号,课时精练,基础保分练等内容,欢迎下载使用。
新高考数学一轮复习课件 第8章 §8.11 圆锥曲线中定点与定值问题: 这是一份新高考数学一轮复习课件 第8章 §8.11 圆锥曲线中定点与定值问题,共60页。PPT课件主要包含了高考数学一轮复习策略,第八章,课时精练等内容,欢迎下载使用。
新高考数学一轮复习课件 第8章 §8.10 圆锥曲线中范围与最值问题: 这是一份新高考数学一轮复习课件 第8章 §8.10 圆锥曲线中范围与最值问题,共60页。PPT课件主要包含了第八章,课时精练等内容,欢迎下载使用。

