所属成套资源:全套高考数学一轮复习课时教学课件
- 高考数学一轮复习第七章第三讲圆的方程课件 课件 0 次下载
- 高考数学一轮复习第七章第四讲直线与圆、圆与圆的位置关系课件 课件 0 次下载
- 高考数学一轮复习第七章第六讲双曲线课件 课件 0 次下载
- 高考数学一轮复习第七章第七讲抛物线课件 课件 0 次下载
- 高考数学一轮复习第七章第八讲直线与圆锥曲线课件 课件 0 次下载
高考数学一轮复习第七章第五讲椭圆课件
展开
这是一份高考数学一轮复习第七章第五讲椭圆课件,共54页。PPT课件主要包含了答案A,F1P的中点,轨迹是否为椭圆,a实现等量转换,答案-5,答案3,答案D,图7-5-1,故选BC,答案BC等内容,欢迎下载使用。
1.了解圆锥曲线的实际背景,感受圆锥曲线在刻画现实世界和
解决实际问题中的作用.
2.经历从具体情境中抽象出椭圆的过程,掌握椭圆的定义、标
准方程及简单几何性质.
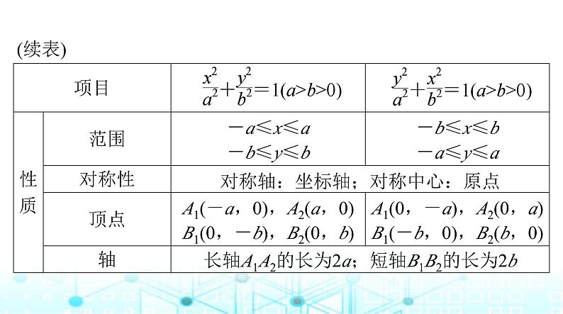
把平面内与两个定点 F1,F2 的距离的和等于常数2a(大于|F1F2|)的点的轨迹叫做椭圆.这两个定点叫做椭圆的焦点,两焦点间的距离叫做椭圆的焦距.
集合P={M||MF1|+|MF2|=2a},|F1F2|=2c,其中a>0,c>0,
(1)若 a>c,则集合 P 为椭圆;(2)若 a=c,则集合 P 为线段;(3)若 a2,∴点 A 的
(2)(2023 年东坡区校级期中)设 F1,F2 分别是椭圆
的左、右焦点,P 为椭圆上一点,M 是 F1P 的中点,|OM|=3,则
∴OM 是三角形 PF1F2 的中位线,∵|OM|=3,∴|PF2|=6,
又∵|PF1|+|PF2|=2a=10,∴|PF1|=4,故选 A.
【题后反思】椭圆定义的应用技巧
(1)探求轨迹:通过动点与两定点的距离之间的关系判断动点
(2)应用定义转化:涉及焦半径的问题,常利用|PF1|+|PF2|=
(3)焦点三角形:常把正、余弦定理同椭圆定义相结合,用于
求焦点三角形的面积等问题.
任意一点,点 M 的坐标为(6,4),则|PM|-|PF1|的最小值为_____.
考点二 椭圆的标准方程[例2] (1)已知两圆C1:(x-4)2+y2=169,C2:(x+4)2+y2=9,动圆在圆 C1 内部且和圆 C1 相内切,和圆 C2 相外切,则动圆圆心
解析:设圆 M 的半径为 r,则|MC1|+|MC2|=(13-r)+(3+r)=16>8=|C1C2|,所以 M 的轨迹是以 C1,C2 为焦点的椭圆,
解析:如图 7-5-1 所示,∵M1F 的中点为 B(0,1),∴OB是△MF1F2的中位线.
则MF2=2OB=2,且MF2⊥F1F2.
∵MF2=2,∴MF1=2a-2,∵(MF1)2-(MF2)2=4c2,∴(2a-2)2-4=4c2.
(3)(2023 年安徽省期中)(多选题)已知椭圆 C 以坐标轴为对称轴,经过点(4,0),且长轴的长度是短轴的长度的 2 倍,则椭圆 C
解析:当椭圆 C 的焦点在 x 轴上时,已知椭圆 C 过点(4,0),故 a=4.因为长轴的长度是短轴的长度的 2 倍,即 2a=2×2b,即b=2,
当椭圆 C 的焦点在 y 轴上时,已知椭圆 C 过点(4,0),
故 b=4.因为长轴的长度是短轴的长度的 2 倍,所以 2a=2×2b,即 a=8,
(1)利用定义法求椭圆方程,要注意条件 2a>|F1F2|;利用待定系数法要先定形(焦点位置),再定量,也可把椭圆方程设为 mx2+ny2=1(m>0,n>0,m≠n)的形式.
(2)椭圆的标准方程的两个应用
1.(2023 年江西省模拟)已知椭圆的中心在原点,焦点在 y 轴上,
解析:由于椭圆的中心在原点,焦点在 y 轴上,所以设椭圆
解析:不妨设点 A 在第一象限,如图 D76 所示.
∵AF2⊥F1F2,∴A(c,b2)(其中c2=1-b2,0<b<1,c>0).又∵|AF1|=3|F1B|,
考点三 椭圆的几何性质考向 1 椭圆的长轴、短轴、焦距、离心率
所以 c2=m-2-10+m=4,解得 m=8.答案:A
(2)若椭圆上存在三点,使得这三点与椭圆中心恰好是一个正
方形的四个顶点,则该椭圆的离心率为(
的对称性,可画出满足题意的图形,如图 7-5-2 所示,
考向 2 与椭圆性质有关的最值或范围问题
(1)求椭圆离心率的方法
①直接求出 a,c 的值,利用离心率公式直接求解;②列出含有 a,b,c 的齐次方程(或不等式),借助于 b2=
(2)在求与椭圆有关的一些量的范围或者最值时,经常用到椭
圆标准方程中 x,y 的范围、离心率的范围等不等关系.
(3)与椭圆有关的最值或范围问题的求解方法
①利用数形结合、几何意义,尤其是椭圆的性质,求最值或
②利用函数,尤其是二次函数求最值或取值范围;③利用不等式,尤其是基本不等式求最值或取值范围.
【考法全练】1.(考向1)(2023年恩施州期末)法国数学家加斯帕尔·蒙日发现,与椭圆相切的两条垂直切线的交点的轨迹是以椭圆中心为圆心的圆.我
的蒙日圆上的一个动点,过点 M 作椭圆 C 的两条切线,与该蒙日圆分别交于 P,Q 两点.若△MPQ 的面积的最大值为 28,则椭圆 C 的长轴
解析:由题意可知椭圆 C 的蒙日圆的半径为
又S△MPQ的最大值为28,所以a2=16,a=4.故椭圆的长轴的长度为 2a=8.故选 B.
⊙椭圆离心率的范围问题
求椭圆的离心率或其范围时,一般是依据题设得出一个关于a,b,c 的等式或不等式,即可得离心率或离心率的范围.
【题后反思】求椭圆离心率范围的两种方法
相关课件
这是一份高考数学一轮复习第七章专题八椭圆、双曲线的斜率性质与准线性质课件,共34页。PPT课件主要包含了题后反思,1椭圆的斜率性质,推导得到,答案B,图D80,答案y=±x,图8-4,答案13等内容,欢迎下载使用。
这是一份2024届高考数学一轮总复习第七章平面解析几何第五讲椭圆课件,共52页。PPT课件主要包含了答案A,F1P的中点,长和面积问题,答案D,答案B,题后反思,图7-5-2,取值范围,答案4,图7-5-4等内容,欢迎下载使用。
这是一份2024年高考数学一轮复习第七章第五讲椭圆课件,共52页。PPT课件主要包含了答案A,F1P的中点,长和面积问题,答案D,答案B,题后反思,图7-5-2,取值范围,答案4,图7-5-4等内容,欢迎下载使用。

