还剩31页未读,
继续阅读
所属成套资源:2024年高考数学二轮复习讲练测(新教材新高考)专题含解析答案
成套系列资料,整套一键下载
2024年高考数学二轮复习讲练测(新教材新高考)专题03指对幂等函数值比较大小问题含解析答案
展开
这是一份2024年高考数学二轮复习讲练测(新教材新高考)专题03指对幂等函数值比较大小问题含解析答案,共34页。试卷主要包含了单选题,填空题等内容,欢迎下载使用。
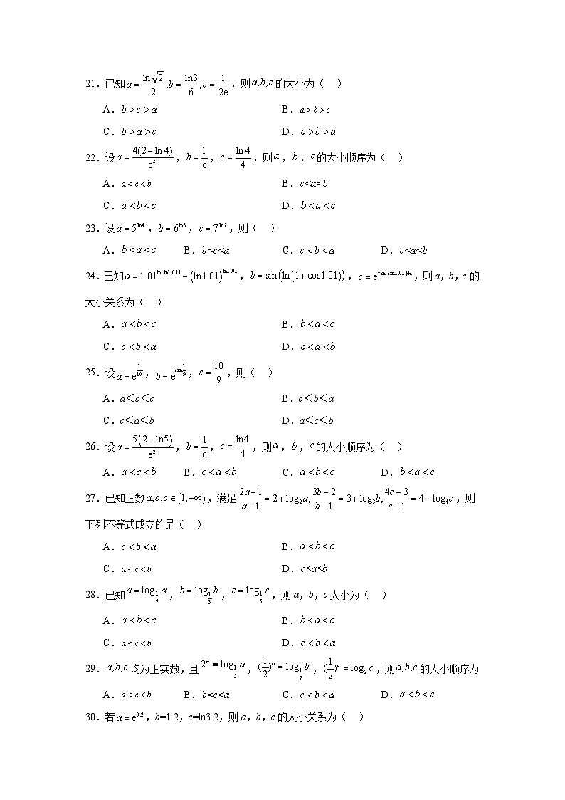
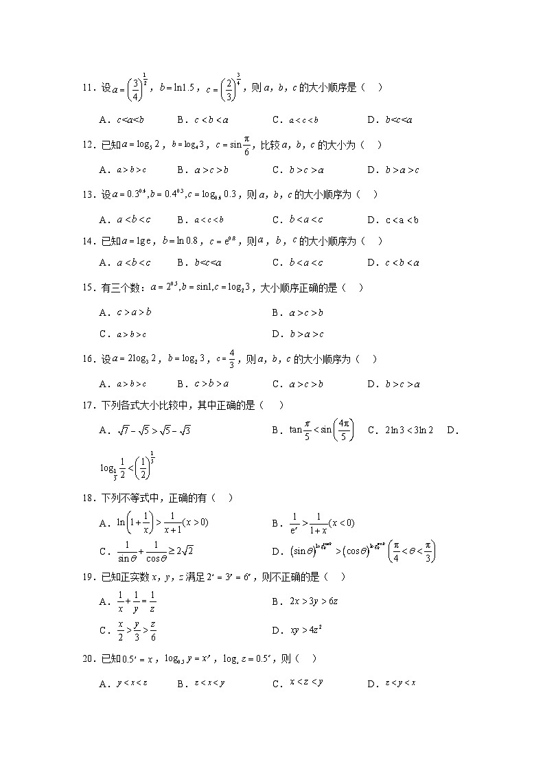
一、单选题
1.设,则( )
A.B.C.D.
2.已知,,,则( )
A.B.C.D.
3.已知,则( )
A.B.C.D.
4.已知,则以下四个数中最大的是( )
A.B.C.D.
5.已知,,,则下列判断正确的是( )
A.B.C.D.
6.设,则a,b,c的大小关系为( )
A.B.C.D.
7.设,,,则( )
A.B.C.D.
8.若,则( )
A.B.C.D.
9.已知55
相关试卷
高考数学二轮复习专题利用函数值解决比较大小问题归类(解析版):
这是一份高考数学二轮复习专题利用函数值解决比较大小问题归类(解析版),共12页。
【二轮复习】高考数学专题03 指对幂等函数值比较大小问题 (考点专练)(原卷版+解析版):
这是一份【二轮复习】高考数学专题03 指对幂等函数值比较大小问题 (考点专练)(原卷版+解析版),文件包含二轮复习高考数学专题03指对幂等函数值比较大小问题考点专练原卷版docx、二轮复习高考数学专题03指对幂等函数值比较大小问题考点专练解析版docx等2份试卷配套教学资源,其中试卷共49页, 欢迎下载使用。
【二轮复习】高考数学专题03 (考点精讲)指对幂等函数值比较大小问题 (考点精讲)(讲义)(原卷版+解析版):
这是一份【二轮复习】高考数学专题03 (考点精讲)指对幂等函数值比较大小问题 (考点精讲)(讲义)(原卷版+解析版),文件包含二轮复习高考数学专题03考点精讲指对幂等函数值比较大小问题考点精讲讲义原卷版docx、二轮复习高考数学专题03考点精讲指对幂等函数值比较大小问题考点精讲讲义解析版docx等2份试卷配套教学资源,其中试卷共41页, 欢迎下载使用。

