资料中包含下列文件,点击文件名可预览资料内容






还剩3页未读,
继续阅读
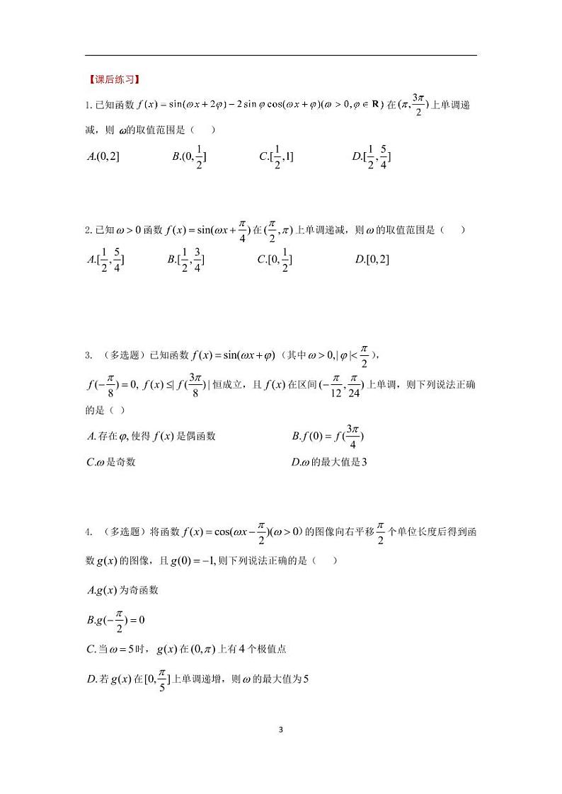
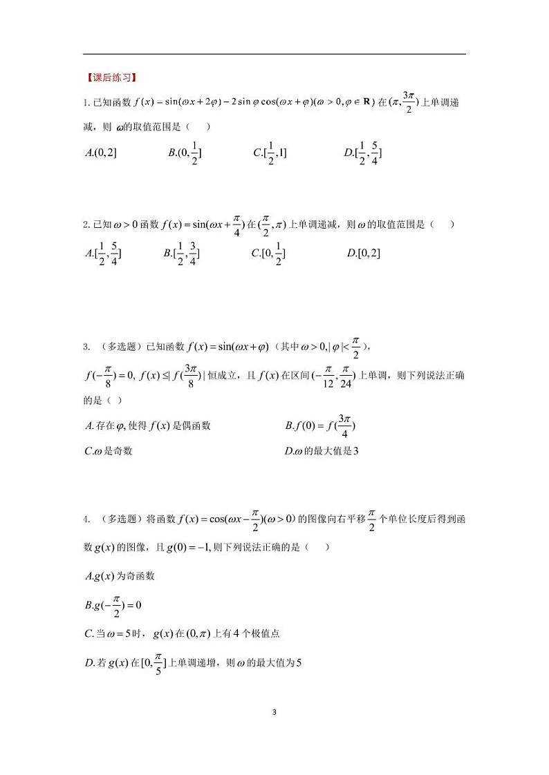
高考数学二轮专题——三角函数中w取值范围培优学生及教师版
展开
这是一份高考数学二轮专题——三角函数中w取值范围培优学生及教师版,文件包含三角压轴之W范围问题教师版pdf、三角函数中w取值范围培优学生版pdf等2份试卷配套教学资源,其中试卷共14页, 欢迎下载使用。
相关试卷
高考数学二轮复习专题 三角函数ω的取值范围及解三角形中的范围与最值问题:
这是一份高考数学二轮复习专题 三角函数ω的取值范围及解三角形中的范围与最值问题,共37页。
高考数学二轮专题复习——三角函数中ω的最值、取值范围及其它教师版:
这是一份高考数学二轮专题复习——三角函数中ω的最值、取值范围及其它教师版,共63页。
专题2 三角函数中“ω”的取值范围:
这是一份专题2 三角函数中“ω”的取值范围,文件包含专题2三角函数中“ω”的取值范围原卷版pdf、专题2三角函数中“ω”的取值范围解析版pdf等2份试卷配套教学资源,其中试卷共24页, 欢迎下载使用。
