2025年高考数学一轮复习-第五板块-解析几何-微专题(五)解析几何中的最值与范围、探索性问题【课件】
展开
这是一份2025年高考数学一轮复习-第五板块-解析几何-微专题(五)解析几何中的最值与范围、探索性问题【课件】,共31页。
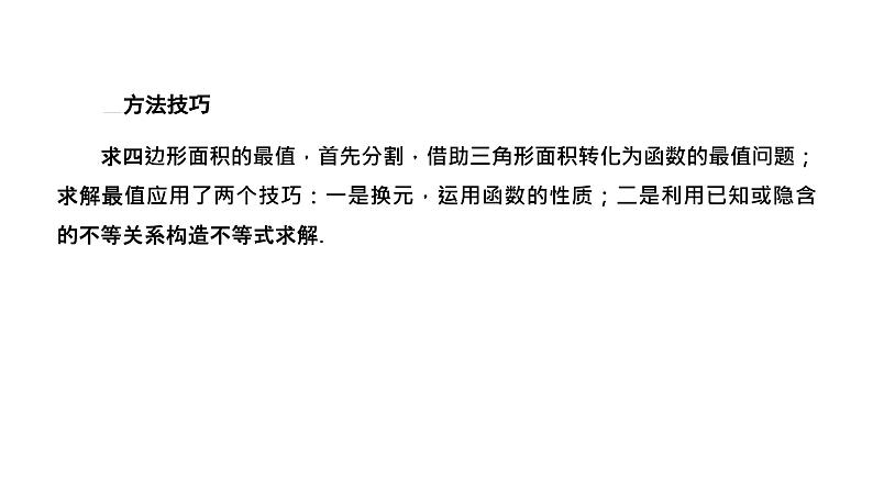
求四边形面积的最值,首先分割,借助三角形面积转化为函数的最值问题;求解最值应用了两个技巧:一是换元,运用函数的性质;二是利用已知或隐含的不等关系构造不等式求解.
圆锥曲线中求解含双变量的式子的取值范围的方法:几何条件定代换,目标关系式求范围.一般分三步完成:第一步,消参,将直线l的方程与圆锥曲线的方程联立,得两个变量的等量关系 (此时需要检验判别式Δ>0);第二步,将等量关系代入目标关系式;第三步,利用函数的性质求取值范围.
命题点(二) 探索性问题 解决探索性问题,先假设存在,推证满足条件的结论,若结论正确则存在,若结论不正确则不存在.(1)当条件和结论不唯一时要分类讨论.(2)当给出结论而要推导出存在的条件时,先假设成立,再推出条件.(3)当要讨论的量能够确定时,可先确定,再证明结论符合题意.
探索性问题的求解步骤:假设满足条件的元素(点、直线、曲线或参数)存在,用待定系数法设出,列出关于待定系数的方程组,若方程组有实数解,则元素(点、直线、曲线或参数)存在,否则,元素(点、直线、曲线或参数)不存在.
“课时验收评价”见“课时验收评价(六)” (单击进入电子文档)
相关课件
这是一份2025年高考数学一轮复习-第五板块-解析几何-微专题(三)圆锥曲线中常用结论的应用 【课件】,共30页。
这是一份2025年高考数学一轮复习-第五板块-解析几何-微专题(二)圆锥曲线的定义与性质【课件】,共33页。PPT课件主要包含了关键点拨等内容,欢迎下载使用。
这是一份2025年高考数学一轮复习-第五板块-解析几何-层级(二) 微专题(一)圆的综合问题【课件】,共22页。

