2025年高考数学一轮复习-第六板块-函数与导数-层级(四) 创新性考法【课件】
展开
这是一份2025年高考数学一轮复习-第六板块-函数与导数-层级(四) 创新性考法【课件】,共17页。PPT课件主要包含了新新点拨等内容,欢迎下载使用。
(2022·辽南协作校三模)函数y=f(2x-1)是R上的奇函数,函数y=f(x)的图象与函数y=g(x)的图象关于y=-x对称,则g(x)+g(-x)=( )A.0 B.-1 C.2 D.1解析:函数y=f(2x-1)是R上的奇函数,则-f(-2x-1)=f(2x-1).设2x-1=t,则f(t)=-f(-2-t),则函数y=f(x)的图象关于点(-1,0)对称,又由题意,函数y=f(x)的图象与函数y=g(x)的图象关于y=-x对称,所以函数y=g(x)的图象关于点(0,1)对称,所以g(x)+g(-x)=2.答案:C
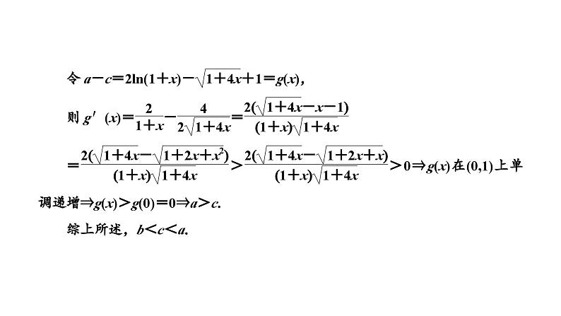
(2022·华大新高考联盟押题卷)已知实数a,b,c∈(0,1),e为自然对数的底数,且ae2=2ea,be3=3eb,2c=ecln 2,则( )A.b
相关课件
这是一份2025年高考数学一轮复习-第二板块-数列-层级(二)创新性考法【课件】,共18页。PPT课件主要包含了新新点拨等内容,欢迎下载使用。
这是一份§3.2 导数与函数的单调性 课件-2025高考数学一轮复习,共60页。PPT课件主要包含了落实主干知识,单调递增,单调递减,-∞5,探究核心题型,0e2,则f0=0,所以C正确D错误,1+∞,课时精练等内容,欢迎下载使用。
这是一份2024届高考数学一轮总复习第二章函数导数及其应用第六讲对数与对数函数课件,共51页。PPT课件主要包含了答案C,答案1,答案AD,图2-6-2,图2-6-3,答案B,答案A,答案1+∞,图D5,Aa<b<c等内容,欢迎下载使用。

