还剩17页未读,
继续阅读
2025年高考数学一轮复习-第六板块-函数与导数-层级(二) 微专题(一)函数的图象与性质【课件】
展开
这是一份2025年高考数学一轮复习-第六板块-函数与导数-层级(二) 微专题(一)函数的图象与性质【课件】,共25页。PPT课件主要包含了答案C,关键点拨等内容,欢迎下载使用。
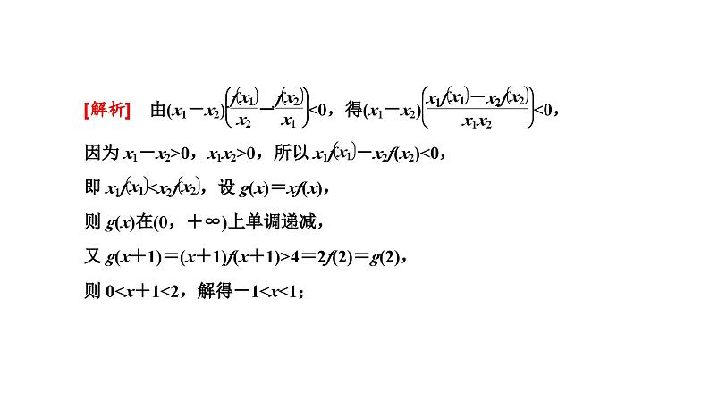
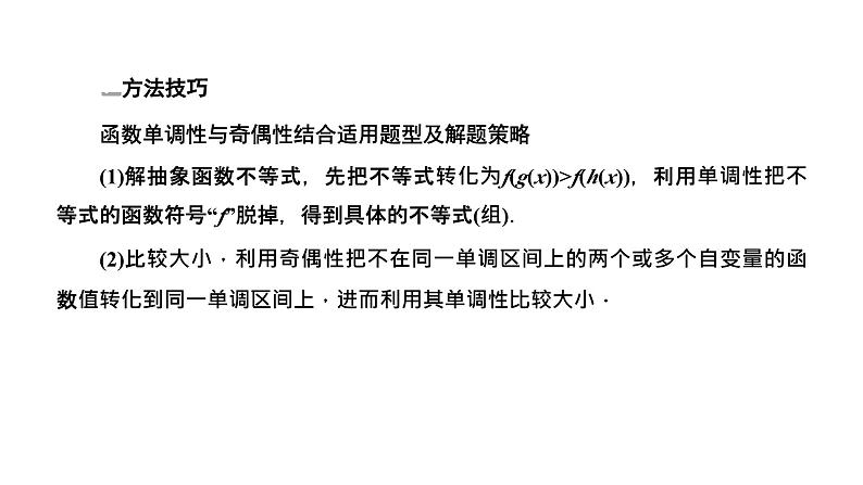
因为f(x)为R上的奇函数,所以g(-x)=-xf(-x)=xf(x)=g(x),则g(x)为R上的偶函数,故g(x)在(-∞,0)上单调递增,g(x+1)=(x+1)f(x+1)>4=g(-2),则-2
相关课件
2025年高考数学一轮复习-第六板块-函数与导数-微专题(四)导数与函数的零点问题【课件】:
这是一份2025年高考数学一轮复习-第六板块-函数与导数-微专题(四)导数与函数的零点问题【课件】,共34页。
2024届高考数学二轮专题复习与测试第一部分专题六函数与导数微专题1函数的图象与性质课件:
这是一份2024届高考数学二轮专题复习与测试第一部分专题六函数与导数微专题1函数的图象与性质课件,共60页。PPT课件主要包含了专题六函数与导数等内容,欢迎下载使用。
高中数学高考20第一部分 板块二 专题六 函数与导数 第1讲 函数的图象与性质(小题)课件PPT:
这是一份高中数学高考20第一部分 板块二 专题六 函数与导数 第1讲 函数的图象与性质(小题)课件PPT,共33页。PPT课件主要包含了内容索引,热点分类突破,真题押题精练,押题预测,真题体验等内容,欢迎下载使用。

