


还剩13页未读,
继续阅读
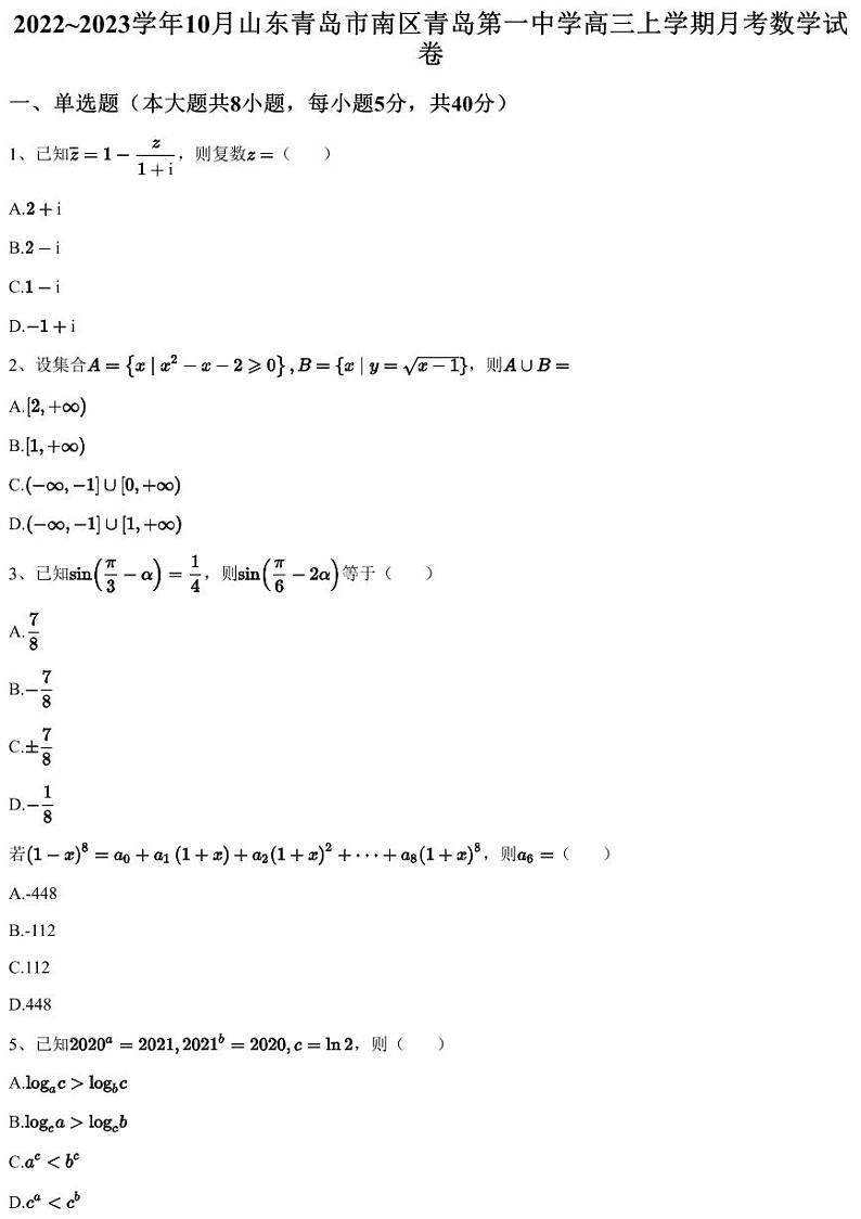
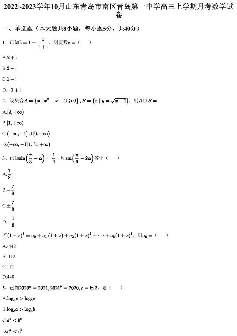
2022~2023学年10月山东青岛市南区青岛第一中学高三上学期月考数学试卷(含答案与解析)
展开
这是一份2022~2023学年10月山东青岛市南区青岛第一中学高三上学期月考数学试卷(含答案与解析),共16页。
相关试卷
2023~2024学年山东青岛李沧区青岛第五十八中学高二上学期期中数学试卷(含答案与解析):
这是一份2023~2024学年山东青岛李沧区青岛第五十八中学高二上学期期中数学试卷(含答案与解析),共17页。
2022-2023学年山东省青岛中学高二(下)期末数学试卷:
这是一份2022-2023学年山东省青岛中学高二(下)期末数学试卷,共16页。试卷主要包含了选择题,填空题,解答题等内容,欢迎下载使用。
2023_2024学年山东青岛市南区青岛第一中学高二下学期期中数学试卷(第一次模块):
这是一份2023_2024学年山东青岛市南区青岛第一中学高二下学期期中数学试卷(第一次模块),共5页。试卷主要包含了单选题,多选题,填空题,解答题等内容,欢迎下载使用。
