







青岛版八年级上册3.5 分式的加法与减法课文内容ppt课件
展开知识点3 分式的混合运算
1.(2024山东菏泽曹县期中)计算 ÷ 的结果是 ( )A. B.- C. D.-
2.(2022河北中考)若x和y互为倒数,则 的值是 ( )A.1 B.2 C.3 D.4
3.若代数式 · 的化简结果为2a-4,则整式A为 ( )A.a+1 B.a-1 C.-a-1 D.-a+1
4.(整体代入法)(2022山东菏泽中考)若a2-2a-15=0,则代数式 · 的值是 .
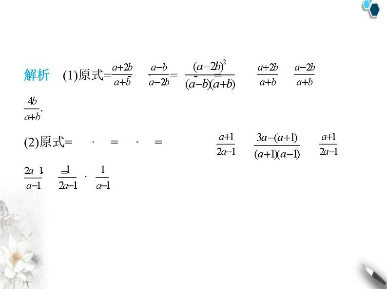
5.计算:(1)(2023甘肃金昌中考) - ÷ ;(2)(2023陕西中考A卷) ÷ .
解析 (1)原式= - · = - = .(2)原式= · = · = · = .
6.(2023湖南张家界中考)先化简 ÷ ,然后从-1,1,2这三个数中选一个合适的数代入求值.
7.(2022山东威海中考,7,★★☆)试卷上一个正确的式子 ÷ = 被小颖同学不小心滴上墨汁.被墨汁遮住部分的代数式为 ( )A. B. C. D.
8.(2021广东中山中考,15,★★☆)若x+ = 且0
解析 a1= = = ×1+ - × ,a2= = = × + - × ,a3= = = × + - × ,……an= = × + - × ,则S12=a1+a2+a3+…+a12,= × + - × =
10.(2021山东聊城中考,18,★★☆)先化简,再求值: + ÷ ,其中a=- .
解析 原式= + ÷ = + ÷ = + · = - = ,当a=- 时,原式= =6.
11.(2022四川凉山州中考,19,★★☆)先化简,再求值: · ,其中m为满足-1
12.(运算能力)已知a,b,c是正数,且满足a+b+c=9, + + = ,求 + + 的值.
解析 因为 + + = ,所以 + + =9× =10,因为a+b+c=9,所以a=9-(b+c),b=9-(a+c),c=9-(a+b),所以 + + = + + = -1+ -1+ -1=10-3=7.
13.(运算能力)求类似于 + + +…+ 的值,我们可以采取这样的思路:注意到 = - , = - ,……, = - ,然后再相加,我们就可以解决 + + +…+ 的问题.(1)求 + + +…+ 的值.(2)我们如何求 + + +…+
的值呢?由上面问题的解题思路,我们考虑是不是能将 写成和的形式,为此我们不妨假设 = + + ,再变形计算.①求A、B、C的值.②求 + + +…+ 的值.
解析 (1) + + +…+ = + + +…+ =1- + - + - +…+ - =1- = .(2)①由题意得 + + =
= = ,∴A+B+C=0,3A+2B+C=0,2A=1,∴A= ,B=-1,C= .②∵ = · - + · = ,
∴原式= × - = × = × = - =
青岛版八年级上册3.5 分式的加法与减法多媒体教学ppt课件: 这是一份青岛版八年级上册<a href="/sx/tb_c75252_t3/?tag_id=26" target="_blank">3.5 分式的加法与减法多媒体教学ppt课件</a>,共13页。PPT课件主要包含了分式运算法则等内容,欢迎下载使用。
青岛版八年级上册3.5 分式的加法与减法备课ppt课件: 这是一份青岛版八年级上册3.5 分式的加法与减法备课ppt课件,共15页。PPT课件主要包含了学习目标,问题导入,合作交流,分式混合运算的顺序,例题讲解,x-1,代入求值,课堂小结,课堂练习,3a+a等内容,欢迎下载使用。
数学八年级上册3.5 分式的加法与减法示范课课件ppt: 这是一份数学八年级上册3.5 分式的加法与减法示范课课件ppt,共17页。PPT课件主要包含了教学目标,问题导入,a≠0c≠0,依然成立,合作探究,用符号表示为,例题讲解,当堂检测等内容,欢迎下载使用。