还剩15页未读,
继续阅读
所属成套资源:全套人教A版普通高中数学一轮复习课时教学课件
成套系列资料,整套一键下载
人教A版普通高中数学一轮复习第8章第8节第2课时圆锥曲线中的求值与证明问题课件
展开
这是一份人教A版普通高中数学一轮复习第8章第8节第2课时圆锥曲线中的求值与证明问题课件,共23页。PPT课件主要包含了反思感悟等内容,欢迎下载使用。
·考试要求·考试要求:1.通过圆锥曲线与方程的学习,进一步体会数形结合的思想.2.了解椭圆、双曲线和抛物线的简单应用.
核心考点 提升“四能”
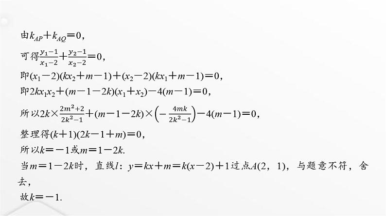
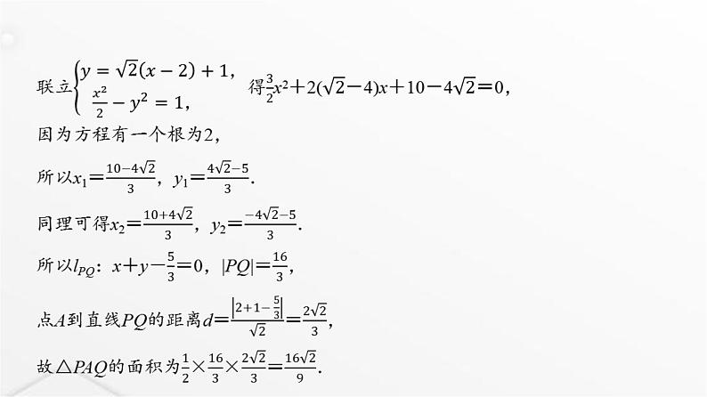
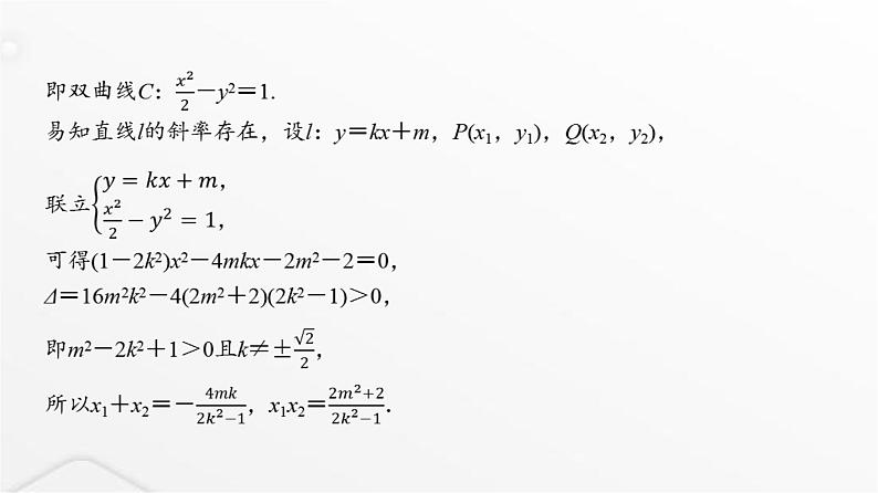
求值问题即是根据条件列出对应的方程,通过解方程求解.
圆锥曲线证明问题的类型及求解策略(1)圆锥曲线中的证明问题,主要有两类:一是证明点、直线、曲线等几何元素中的位置关系,常见有某点在某直线上、某直线经过某点、两条直线平行或垂直等;二是证明直线与圆锥曲线中的一些数量关系(相等或不等).(2)解决证明问题时,主要根据直线与圆锥曲线的性质、直线与圆锥曲线的位置关系等,通过相关性质的应用、代数式的恒等变换以及必要的数值计算等进行证明.
相关课件
人教A版普通高中数学一轮复习第3章第2节第3课时利用导数证明不等式--构造法证明不等式课件:
这是一份人教A版普通高中数学一轮复习第3章第2节第3课时利用导数证明不等式--构造法证明不等式课件,共21页。PPT课件主要包含了反思感悟,放缩构造法,构造双函数法等内容,欢迎下载使用。
2025版高考数学一轮总复习第8章平面解析几何第8讲圆锥曲线__求值证明问题课件:
这是一份2025版高考数学一轮总复习第8章平面解析几何第8讲圆锥曲线__求值证明问题课件,共32页。PPT课件主要包含了求值问题,证明问题等内容,欢迎下载使用。
新高考数学一轮复习讲练测课件第8章§8.10圆锥曲线中求值与证明问题 (含解析):
这是一份新高考数学一轮复习讲练测课件第8章§8.10圆锥曲线中求值与证明问题 (含解析),共60页。PPT课件主要包含了题型一,求值问题,思维升华,题型二,证明问题,课时精练,基础保分练,因为BE⊥BF,综合提升练,设Nx2y2等内容,欢迎下载使用。

