







所属成套资源:全套人教A版普通高中数学一轮复习课时教学课件
人教A版普通高中数学一轮复习第6章第5节空间向量及其运算课件
展开
这是一份人教A版普通高中数学一轮复习第6章第5节空间向量及其运算课件,共47页。PPT课件主要包含了同一个平面,a=λb,p=xa+yb,p=xa+yb+zc,a·b=0,空间向量的线性运算等内容,欢迎下载使用。
·考试要求·1.了解空间向量的概念,了解空间向量的基本定理及意义,掌握空间向量的正交分解及其坐标表示.2.掌握空间向量的线性运算及其坐标表示.3.掌握空间向量的数量积及其坐标表示,能用向量的数量积判断向量的共线和垂直.
知识点一 空间向量的有关概念、定理1.判断下列说法的正误,正确的打“√”,错误的打“×”.(1)空间中模相等的两个向量方向相同或相反.( )(2)空间中所有的单位向量的模都相等.( )(3)空间任意三个向量都可构成空间的一个基底.( )(4)空间向量a,b,c,若a∥b,b∥c,则a∥c.( )(5)空间中任意两个非零向量都共面.( )
必备知识 落实“四基”
1.空间向量的有关概念
2.空间向量的有关定理及推论
|a||b|cs 〈a,b〉
注意点:(1)a·b=b·c a=c;(2)(a·b)·c不一定等于a·(b·c).
设a=(a1,a2,a3),b=(b1,b2,b3).
a1b1+a2b2+a3b3
a1b1+a2b2+a3b3=0
核心考点 提升“四能”
3.(2024·滨州模拟)已知空间向量a=(1,2,3),b=(3,-1,2),c=(-1,0,1),则a-b+2c=__________.(-4,3,3) 解析:因为a=(1,2,3),b=(3,-1,2),c=(-1,0,1),所以a-b+2c=(1,2,3)-(3,-1,2)+2(-1,0,1)=(-4,3,3).
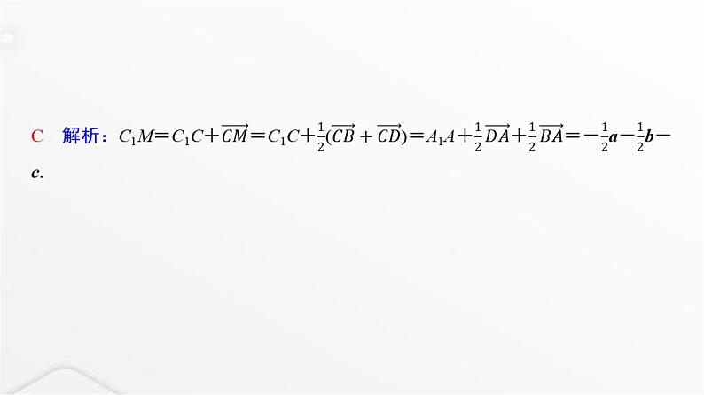
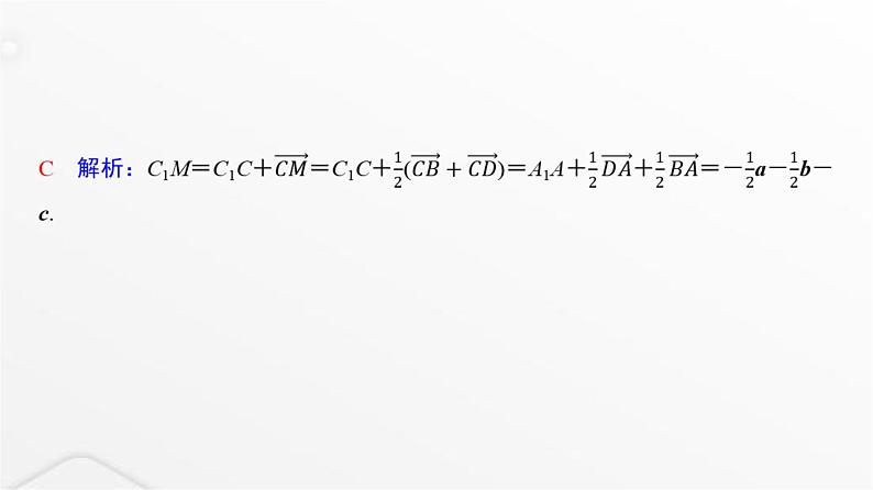
反思感悟空间向量线性运算的解题策略(1)用已知向量来表示未知向量,结合图形,以图形为指导是解题的关键.(2)将已知向量与所求向量转化到三角形或平行四边形中,利用三角形法则、平行四边形法则、多边形法则把所求向量用已知向量表示出来.(3)空间向量的坐标运算类似平面向量的坐标运算.
共线向量定理、共面向量定理及其应用
空间向量的数量积及其应用
反思感悟空间向量的数量积运算有两条途径,一是根据数量积的定义,利用模与夹角直接计算;二是利用坐标运算.
反思感悟空间向量数量积的应用
1.(2024·青岛模拟)已知向量a=(1,1,x),b=(-2,2,3).若(2a-b)·b=1,则x=( )A.-3B.3C.-1D.6B 解析:2a-b=(2,2,2x)-(-2,2,3)=(4,0,2x-3).因为(2a-b)·b=1,所以-8+3(2x-3)=1,解得x=3.
相关课件
这是一份人教A版普通高中数学一轮复习第2章第8节函数与方程课件,共31页。PPT课件主要包含了实数x,连续不断,反思感悟,确定函数零点的个数,函数零点的应用等内容,欢迎下载使用。
这是一份人教A版普通高中数学一轮复习第2章第6节对数与对数函数课件,共38页。PPT课件主要包含了logaN,nlogaM,log32,y<0,y>0,减函数,增函数,y=x,对数的运算,反思感悟等内容,欢迎下载使用。
这是一份人教A版普通高中数学一轮复习第2章第1节函数及其表示课件,共30页。PPT课件主要包含了2+∞,函数的概念,实数集,唯一确定,fxx∈A,函数的表示方法,对应关系等内容,欢迎下载使用。
