







人教A版普通高中数学一轮复习第2章第3节第1课时函数的奇偶性、周期性、对称性课件
展开·考试要求·1 .结合具体函数,了解奇函数、偶函数的概念和几何意义.2.结合具体函数,了解函数周期性的概念和几何意义.
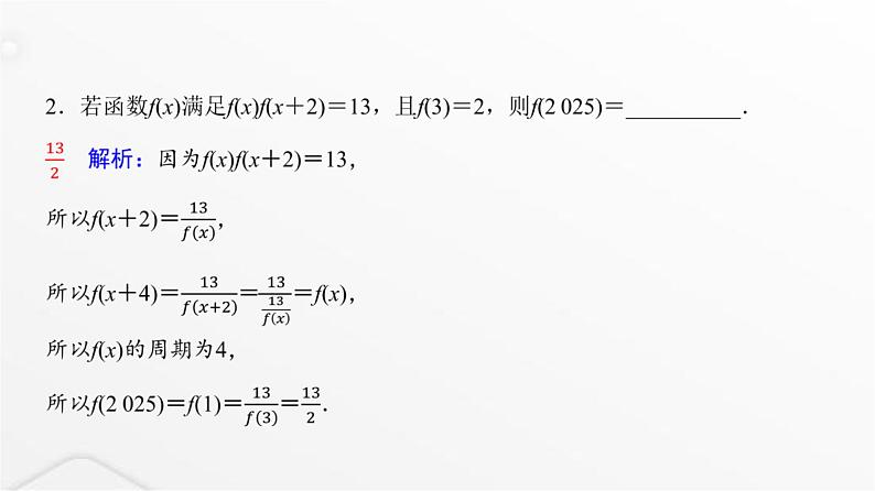
知识点一 函数的奇偶性1.判断下列说法的正误,正确的打“√”,错误的打“×”.(1)函数y=x2在x∈(0,+∞)时是偶函数.( )(2)若函数f(x)是奇函数,则一定有f(0)=0.( )(3)若函数y=f(x+2)是奇函数,则函数y=f(x)的图象关于点(2,0)中心对称.( )
必备知识 落实“四基”
f(-x)=-f(x)
f(x+T)=f(x)
知识点三 函数的对称性1.函数y=lg0.5x与y=lg2x的图象( )A.关于x轴对称B.关于y轴对称C.关于原点对称D.关于直线y=x对称A 解析:由y=lg0.5x,得y=-lg2x,所以函数y=lg0.5x与y=lg2x的图象关于x轴对称.
2.若函数y=f(x)的定义域为R,则函数y=f(x-1)与y=f(1-x)的图象关于( )A.直线x=0对称 B.直线y=0对称C.直线x=1对称 D.直线y=1对称C 解析:函数f(x-1)的图象是f(x)的图象向右平移1个单位长度得到的,f(1-x)=f(-(x-1))的图象是f(-x)的图象向右平移1个单位长度得到的.因为f(x)与f(-x)的图象关于y轴(直线x=0)对称,所以函数y= f(x-1)与y=f(1-x)的图象关于直线x=1对称.故选C.
1.(1)若函数y=f(x)的图象关于直线x=a对称,则f(a-x)=f(a+x);(2)若函数y=f(x)满足f(a-x)=-f(a+x),则函数y=f(x)的图象关于点(a,0)对称.2.两个函数图象的对称(1)函数y=f(x)与y=f(-x)的图象关于y轴对称;(2)函数y=f(x)与y=-f(x) 的图象关于x轴对称;(3)函数y=f(x)与y=-f(-x) 的图象关于原点对称.
3.函数对称性的3个常用结论(1)若函数y=f(x+a)是偶函数,则函数y=f(x)的图象关于直线x=a对称.(2)若函数y=f(x+b)是奇函数,则函数y=f(x)的图象关于点(b,0)中心对称.(3)若对于R上的任意x都有f(2a-x)=f(x)或f(-x)=f(2a+x)或f(a+x)=f(a-x)或f(3a-x)=f(x-a),则y=f(x)的图象关于直线x=a对称.
应用1 已知函数f(x)=x3+x+m是定义在区间[-2-n,2n]上的奇函数,则m+n=( )A.0B.1C.2D.4C 解析:由已知得-2-n+2n=0且f(0)=0,所以n=2,m=0,此时f(x)=x3+x,x∈[-4,4]是奇函数,满足题意.故m+n=2.
核心考点 提升“四能”
反思感悟判断函数奇偶性的常用方法(1)定义法,即根据奇函数、偶函数的定义来判断.(2)图象法,即利用奇函数、偶函数图象的对称性来判断.(3)性质法,即利用在公共定义域内奇函数、偶函数的和、差、积的奇偶性来判断.
(2)已知函数f(x)是偶函数,g(x)是奇函数,f(x)+g(x)=x2+x-2,则f(-2)=( )A.4B.3C.2D.1C 解析:由f(x)+g(x)=x2+x-2,得f(-x)+g(-x)=x2-x-2.由函数的奇偶性得f(x)-g(x)=x2-x-2,联立得f(x)=x2-2,所以f(-2)=2.
(4)(2024·哈尔滨模拟)若函数f(x)=x(ex+e-x)+1在区间[-2,2]上的最大值与最小值分别为M,N,则M+N的值为__________.2 解析:依题意,令g(x)=x(ex+e-x),显然函数g(x)的定义域为R,则g(-x)=-x(e-x+ex)=-g(x),即函数g(x)是奇函数,因此,函数g(x)在区间[-2,2]上的最大值与最小值的和为0.而f(x)=g(x)+1,则有M=g(x)max+1,N=g(x)min+1,于是得M+N=g(x)max+1+g(x)min+1=2,所以M+N的值为2.
反思感悟应用函数奇偶性可解决的问题及解题方法(1)求函数值,将待求值利用奇偶性转化为已知区间上的函数值求解.(2)求解析式,先将待求区间上的自变量转化到已知区间上,再利用奇偶性求解,或利用奇偶性构造关于f(x)的方程(组),从而得到f(x)的解析式.(3)求函数解析式中参数的值,利用待定系数法求解,根据f(x)±f(-x)=0得到关于待求参数的恒等式,由系数的对等性得到关于参数的方程(组),进而得出参数的值.
反思感悟函数周期性问题的求解策略(1)只需证明f(x+T)=f(x)(T≠0)便可证明函数是周期函数,且周期为T,函数的周期性常与函数的其他性质综合命题.(2)根据函数的周期性,可以由函数局部的性质得到函数的整体性质,在解决具体问题时,若T是函数的周期,则kT(k∈Z且k≠0)也是函数的周期.
1.奇函数f(x)的定义域为R,若f(x+1)为偶函数,且f(1)=2,则f(4)+f(5)的值为( )A.2B.1C.-1D.-2A 解析:因为f(x+1)为偶函数,所以f(-x+1)=f(x+1),则f(-x)=f(x+2).又f(x)为奇函数,则f(-x)=-f(x)=f(x+2),且f(0)=0,故f(x+4)=f(x+2+2)=-f(x+2)=f(x),所以函数f(x)的周期为4.所以f(4)+f(5)=f(0)+f(1)=0+2=2.故选A.
2.已知f(x)是R上最小正周期为2的周期函数,且当0≤x<2时,f(x)=x3-x,则函数y=f(x)的图象在区间[0,4]上与x轴的交点的个数为__________.5 解析:当0≤x<2时,令f(x)=x3-x=x(x2-1)=x(x+1)(x-1)=0,所以函数y=f(x)的图象与x轴交点的横坐标分别为x1=0,x2=1,则f(0)=0.当2≤x<4时,0≤x-2<2,又f(x)的最小正周期为2,所以f(x-2)=f(x),所以f(x)=(x-2)(x-1)(x-3),所以当2≤x<4时,函数y=f(x)的图象与x轴交点的横坐标分别为x3=2,x4=3.当x5=4时,f(4)=f(0)=0,也符合要求.
函数图象的对称性【例4】(2024·日照期末)定义在R上的函数f(x)满足f(2-x)=2-f(x).若f(x)的图象关于直线x=3对称,则下列选项中一定成立的是( )A.f(-3)=1B.f(0)=0C.f(3)=2D.f(5)=-1A 解析:因为函数f(x)的图象关于直线x=3对称,所以f(3-x)=f(x+3),所以f(0)=f(6),f(1)=f(5),f(2)=f(4).又因为f(x)满足f(2-x)=2-f(x).取x=1,得f(1)=2-f(1),所以f(1)=1,则f(1)=f(5)=1.取x=5,则f(-3)=2-f(5)=1.故选A.
反思感悟求解与函数图象的对称性有关的问题时,应根据题目特征和对称性的定义,求出函数图象的对称轴或对称中心,大多是结合图象利用对称性解决求值或参数问题.
1.下列函数中,其图象与函数y=ln x的图象关于直线x=1对称的是( )A . y=ln (1-x) B.y=ln (2-x)C.y=ln (1+x) D.y=ln (2+x)B 解析:函数y=ln x的图象过定点(1,0),(1,0)关于直线x=1对称的点还是(1,0),只有y=ln (2-x)的图象过此点.
2024届人教A版高考数学一轮复习第2章函数第3节函数的奇偶性与周期性课件: 这是一份2024届人教A版高考数学一轮复习第2章函数第3节函数的奇偶性与周期性课件,共46页。PPT课件主要包含了-fx等内容,欢迎下载使用。
2024全国一轮数学(基础版)第8讲 函数的奇偶性与周期性、对称性课件PPT: 这是一份2024全国一轮数学(基础版)第8讲 函数的奇偶性与周期性、对称性课件PPT,共33页。PPT课件主要包含了链教材·夯基固本,激活思维,基础回归,f-x=fx,存在一个最小,研题型·融会贯通,举题说法,ACD,随堂内化等内容,欢迎下载使用。
高考复习 2.3 函数的奇偶性、周期性与对称性课件PPT: 这是一份高考复习 2.3 函数的奇偶性、周期性与对称性课件PPT,共59页。PPT课件主要包含了f-x=fx,最小的正数,最小正数,答案BC,答案D,答案BD,答案C,答案A,答案B,答案ABC等内容,欢迎下载使用。