还剩6页未读,
继续阅读
所属成套资源:全套人教A版普通高中数学一轮复习课时课件+学案
成套系列资料,整套一键下载
人教A版普通高中数学一轮复习第7章微专题构造法求数列的通项课件
展开
这是一份人教A版普通高中数学一轮复习第7章微专题构造法求数列的通项课件,共12页。PPT课件主要包含了思维建模等内容,欢迎下载使用。
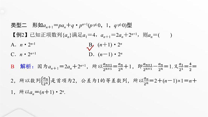
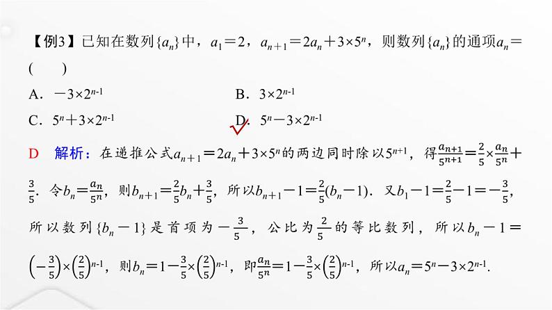
求数列的通项公式,除了我们已经学习的方法以外,根据所给递推公式的特点,还可以通过构造法转化为等差或等比数列,利用等差或等比数列的通项公式求得原数列的通项公式,体现转化与化归思想的灵活应用.
类型一 形如an+1=can+d(c≠0,其中a1≠0)型【例1】在数列{an}中,若a1=1,an+1=3an+2,则通项an=__________.2·3n-1-1 解析:因为an+1=3an+2,所以an+1+1=3(an+1).又a1=1,所以a1+1=2,故数列{an+1}是首项为2,公比为3的等比数列,所以an+1=2·3n-1,所以an=2·3n-1-1.
an+1=pan+qan-1可化为an+1-x1an=x2(an-x1an-1),其中x1,x2是方程x2-px-q=0的两根.
相关课件
人教A版普通高中数学一轮复习第3章第2节微专题构造法解f(x)与f′(x)共存问题课件:
这是一份人教A版普通高中数学一轮复习第3章第2节微专题构造法解f(x)与f′(x)共存问题课件,共9页。PPT课件主要包含了思维建模等内容,欢迎下载使用。
人教A版普通高中数学一轮复习第3章微专题公切线问题课件:
这是一份人教A版普通高中数学一轮复习第3章微专题公切线问题课件,共6页。PPT课件主要包含了思维建模等内容,欢迎下载使用。
利用构造法求数列的通项公式课件-2024届高三数学二轮专题复习:
这是一份利用构造法求数列的通项公式课件-2024届高三数学二轮专题复习,共14页。PPT课件主要包含了解构造等内容,欢迎下载使用。

