人教A版 (2019)选择性必修 第一册2.4 圆的方程集体备课课件ppt
展开我们知道,圆是平面上到定点的距离等于定长的点的集合.在平面直角坐标系中,如果一个圆的圆心坐标和半径确定了,圆就唯一确定了.由此,我们可以建立圆上点的坐标应满足的关系式,进而得到圆的方程.
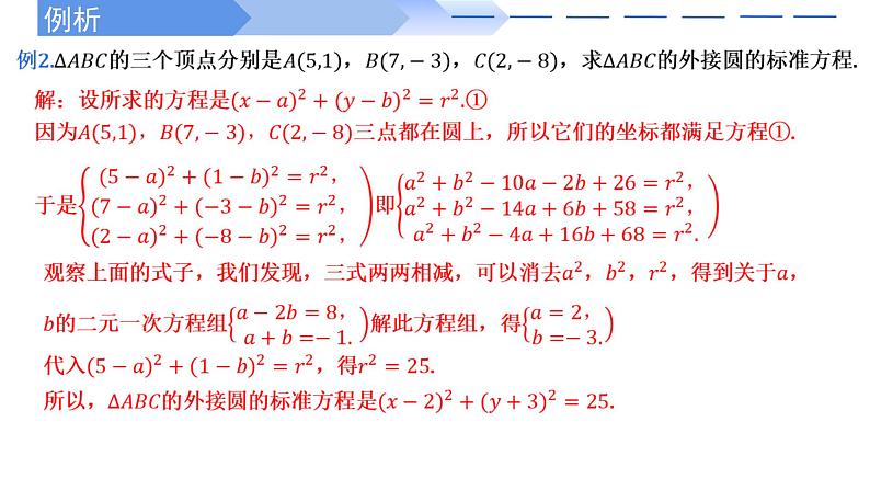
方法技巧:用直接法求圆的标准方程的策略(1)首先求出圆心坐标和半径,然后直接写出圆的标准方程.(2)确定圆心和半径时,常用到中点坐标公式、两点间距离公式,有时还用到平面几何知识,如“弦的中垂线必过圆心”“过切点与切线垂直的直线必过圆心”等.
方法技巧:判断点与圆位置关系的两种方法几何法:主要利用点到圆心的距离与半径比较大小.代数法:主要是把点的坐标代入圆的标准方程来判断.
高中数学人教A版 (2019)选择性必修 第一册3.1 椭圆一等奖课件ppt: 这是一份高中数学人教A版 (2019)选择性必修 第一册<a href="/sx/tb_c4000333_t3/?tag_id=26" target="_blank">3.1 椭圆一等奖课件ppt</a>,共1页。
人教A版 (2019)选择性必修 第一册2.4 圆的方程教学ppt课件: 这是一份人教A版 (2019)选择性必修 第一册<a href="/sx/tb_c4000329_t3/?tag_id=26" target="_blank">2.4 圆的方程教学ppt课件</a>,共21页。PPT课件主要包含了答案√×√,答案D等内容,欢迎下载使用。
人教A版 (2019)选择性必修 第一册2.2 直线的方程背景图课件ppt: 这是一份人教A版 (2019)选择性必修 第一册<a href="/sx/tb_c4000327_t3/?tag_id=26" target="_blank">2.2 直线的方程背景图课件ppt</a>,共1页。

